Study of Membrane-Immobilized Oxidoreductases in Wastewater Treatment for Micropollutants Removal
Abstract
1. Introduction
2. Results
2.1. Enzyme Immobilization
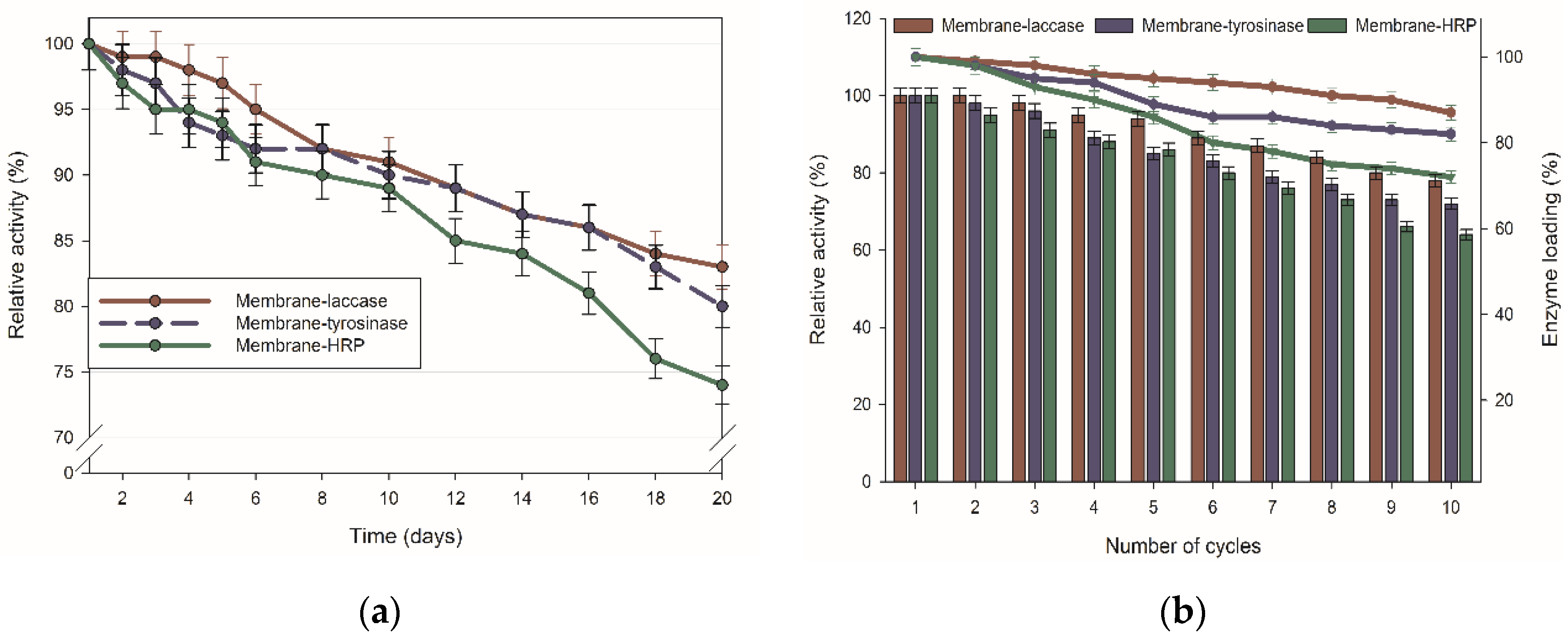
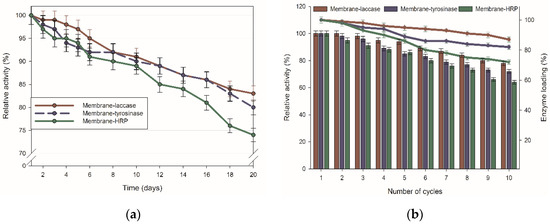
2.2. Characterization of Biocatalytic Membranes Produced
2.3. Removal of Micropollutants from Wastewater
3. Discussion
3.1. Enzyme Immobilization and Characterization of Biocatalytic Systems Produced
3.2. Removal of Micropollutants from Wastewater
4. Materials and Methods
4.1. Chemicals and Materials
4.2. Composition of Sewage from the Wastewater Treatment Plant
4.3. Fabrication of Biocatalytic Membranes
4.4. Determination of Water Permeability and Flux
4.5. Characterization of Biocatalytic Membranes
4.6. Enzymatic Treatment of Wastewater in EMR
4.7. Analytical Techniques
4.8. Statistical Analysis
5. Conclusions
Supplementary Materials
Author Contributions
Funding
Institutional Review Board Statement
Informed Consent Statement
Data Availability Statement
Acknowledgments
Conflicts of Interest
References
- European Commission. Pollutants in Urban Waste Water and Sewage Sludge. 2001. Available online: https://ec.europa.eu/environment/archives/waste/sludge/pdf/sludge_pollutants_xsum.pdf (accessed on 8 September 2022).
- Zdarta, J.; Meyer, A.S.; Jesionowski, T.; Pinelo, M. Multi-faceted strategy based on enzyme immobilization with reactant adsorption and membrane technology for biocatalytic removal of pollutants: A critical review. Biotechnol. Adv. 2019, 37, 107401. [Google Scholar] [CrossRef] [PubMed]
- Ezugbe, E.O.; Rathilal, S. Membrane Technologies in Wastewater Treatment: A Review. Membranes 2020, 10, 89. [Google Scholar] [CrossRef] [PubMed]
- Pereira, C.S.; Kelbert, M.; Daronch, N.A.; Michels, C.; de Oliveira, D.; Soares, H.M. Potential of enzymatic process as an innovative technology to remove anticancer drugs in wastewater. Appl. Microbiol. Biotechnol. 2020, 104, 23–31. [Google Scholar] [CrossRef] [PubMed]
- Sun, H.; Jin, X.; Long, N.; Zhang, R. Improved biodegradation of synthetic azo dye by horseradish peroxidase cross-linked on nano-composite support. Int. J. Biol. Macromol. 2017, 95, 1049–1055. [Google Scholar] [CrossRef] [PubMed]
- Zdarta, J.; Antecka, K.; Frankowski, R.; Zgoła-Grześkowiak, A.; Ehrlich, H.; Jesionowski, T. The effect of operational parameters on the biodegradation of bisphenols by Trametes versicolor laccase immobilized on Hippospongia communis spongin scaffolds. Sci. Total Environ. 2018, 615, 784–795. [Google Scholar] [CrossRef]
- Nguyen, L.N.; Hai, F.I.; Dosseto, A.; Richardson, C.; Price, W.E.; Nghiem, L.D. Continuous adsorption and biotransformation of micropollutants by granular activated carbon-bound laccase in a packed-bed enzyme reactor. Bioresour. Technol. 2016, 210, 108–116. [Google Scholar] [CrossRef]
- Ippolitov, V.; Anugwom, I.; van Deun, R.; Mänttäri, M.; Kallioinen-Mänttäri, M. Cellulose Membranes in the Treatment of Spent Deep Eutectic Solvent Used in the Recovery of Lignin from Lignocellulosic Biomass. Membranes 2022, 12, 86. [Google Scholar] [CrossRef]
- Luo, J.; Marpani, F.; Brites, R.; Frederiksen, L.; Meyer, A.S.; Jonsson, G.; Pinelo, M. Directing filtration to optimize enzyme immobilization in reactive membranes. J. Membr. Sci. 2014, 459, 1–11. [Google Scholar]
- Zdarta, J.; Jankowska, K.; Bachosz, K.; Kijeńska-Gawrońska, E.; Zgoła-Grześkowiak, A.; Kaczorek, E.; Jesionowski, T. A promising laccase immobilization using electrospun materials for biocatalytic degradation of tetracycline: Effect of process conditions and catalytic pathways. Catal. Today 2020, 348, 127–136. [Google Scholar] [CrossRef]
- Zdarta, J.; Jankowska, K.; Strybel, U.; Marczak, Ł.; Nguyen, L.N.; Oleskowicz-Popiel, P.; Jesionowski, T. Bioremoval of estrogens by laccase immobilized onto polyacrylonitrile/polyethersulfone material: Effect of inhibitors and mediators, process characterization and catalytic pathways determination. J. Hazard. Mater. 2022, 432, 128688. [Google Scholar]
- Zdarta, J.; Sigurdardottir, S.B.; Jankowska, K.; Pinelo, M. Laccase immobilization in polyelectrolyte multilayer membranes for 17α-ethynylestradiol removal: Biocatalytic approach for pharmaceuticals degradation. Chemosphere 2022, 304, 135374. [Google Scholar] [CrossRef] [PubMed]
- Wang, Z.; Ren, D.; Jiang, S.; Yu, H.; Cheng, Y.; Zhang, S.; Zhang, X.; Chen, W. The study of laccase immobilization optimization and stability improvement on CTAB-KOH modified biochar. BMC Biotechnol. 2021, 21, 47. [Google Scholar]
- Thiyagarajan, P.; Selvam, K.; Sudhakar, C.; Selvankumar, T. Enhancement of Adsorption of Magenta Dye by Immobilized Laccase on Functionalized Biosynthesized Activated Carbon Nanotubes. Water Air Soil Poll. 2020, 231, 364. [Google Scholar] [CrossRef]
- Eslamipour, F.; Hejazi, P. Evaluating effective factors on activity and loading of immobilized α-amylase onto magnetic nanoparticles using response surface desirability approach. RSC Adv. 2016, 6, 20187–20197. [Google Scholar] [CrossRef]
- Liu, C.; Saeki, D.; Matsuyama, H. A novel strategy to immobilize enzymes on microporous membranes via dicarboxylic acid halides. RSC Adv. 2017, 7, 48199. [Google Scholar]
- Luo, J.; Song, S.; Zhang, H.; Zhang, H.; Zhang, J.; Wan, Y. Biocatalytic membrane: Go far beyond enzyme immobilization. Eng. Life Sci. 2020, 20, 441–450. [Google Scholar] [CrossRef]
- Li, J.; Mao, X. Construction of an Immobilized Enzyme Membrane Reactor for Efficient and Sustainable Conversion of Ionic Liquid/Ultrasound-Pretreated Chitin. ACS Sustain. Chem. Eng. 2022, 10, 7536–7544. [Google Scholar]
- Luo, J.; Meyer, A.S.; Jonsson, G.; Pinelo, M. Fouling-induced enzyme immobilization for membrane reactors. Bioresour. Technol. 2013, 147, 260–268. [Google Scholar] [CrossRef]
- Iriarte-Mesa, C.; Díaz-Castañón, S.; Abradelo, D.G. Facile immobilization of Trametes versicolor laccase on highly monodisperse superparamagnetic iron oxide nanoparticles. Coll. Surf. B Biointerfaces 2019, 181, 470–479. [Google Scholar]
- Cen, Y.K.; Liu, Y.X.; Xue, Y.P.; Zheng, Y.G. Immobilization of Enzymes in/on Membranes and their Applications. Adv. Synth. Catal. 2019, 361, 5500–5515. [Google Scholar]
- Hou, J.; Dong, G.; Ye, Y.; Chen, V. Laccase immobilization on titania nanoparticles and titania-functionalized membranes. J. Membr. Sci. 2014, 452, 229–240. [Google Scholar] [CrossRef]
- Zdarta, J.; Meyer, A.S.; Jesionowski, T.; Pinelo, M. Developments in support materials for immobilization of oxidoreductases: A comprehensive review. Adv. Coll. Interface Sci. 2018, 258, 1–20. [Google Scholar] [CrossRef] [PubMed]
- Rodrigues, R.C.; Berenguer-Murcia, A.; Carballares, D.; Morellon-Sterling, R.; Fernandez-Lafuente, R. Stabilization of enzymes via immobilization: Multipoint covalent attachment and other stabilization strategies. Biotechnol. Adv. 2022, 43, 128688. [Google Scholar] [CrossRef]
- Habimana, P.; Gao, J.; Mwizerwa, J.P.; Ndayambaje, J.B.; Liu, H.; Luan, P.; Ma, L.; Jiang, Y. Improvement of laccase activity via covalent immobilization over mesoporous silica coated magnetic multiwalled carbon nanotubes for the discoloration of synthetic dyes. ACS Omega 2021, 6, 2777–2789. [Google Scholar] [CrossRef]
- Birhanli, E.; Noma, S.A.A.; Boran, F.; Ulu, A.; Yeşilada, O.; Ateş, B. Design of laccase–metal–organic framework hybrid constructs for biocatalytic removal of textile dyes. Chemosphere 2022, 292, 133382. [Google Scholar] [CrossRef]
- Temoçin, Z.; İnal, M.; Gökgöz, M.; Yiğitoğlu, M. Immobilization of horseradish peroxidase on electrospun poly(vinyl alcohol)–polyacrylamide blend nanofiber membrane and its use in the conversion of phenol. Polym. Bull. 2018, 75, 1843–1865. [Google Scholar] [CrossRef]
- Bilal, M.; Rasheed, T.; Nabeel, F.; Iqbal, H.M.N.; Zhao, Y. Hazardous contaminants in the environment and their laccase-assisted degradation—A review. J. Environ. Manag. 2019, 15, 253–264. [Google Scholar] [CrossRef]
- Bilal, M.; Asgher, M.; Parra-Saldivar, R.; Hu, H.; Wang, W.; Zhang, X.; Iqbal, H.M.N. Immobilized ligninolytic enzymes: An innovative and environmental responsive technology to tackle dye-based industrial pollutants—A review. Sci. Total. Environ. 2017, 576, 646–659. [Google Scholar]
- Veismoradi, A.; Mousavi, S.M.; Taherian, M. Decolorization of dye solutions by tyrosinase in enzymatic membrane reactors. J. Chem. Technol. Biotechnol. 2019, 95, 3559–3568. [Google Scholar] [CrossRef]
- Li, X.; Xu, Y.; Goh, K.; Haur, T.; Wang, C.R. Layer-by-layer assembly based low pressure biocatalytic nanofiltration membranes for micropollutants removal. J. Membr. Sci. 2020, 615, 118514. [Google Scholar]
- Lante, A.; Crapisi, A.; Krastanov, A.; Spettoli, P. Biodegradation of phenols by laccase immobilised in a membrane reactor. Proc. Biochem. 2000, 36, 51–58. [Google Scholar] [CrossRef]
- Zhou, W.; Zhang, W.; Cai, Y. Laccase immobilization for water purification: A comprehensive review. Chem. Eng. J. 2021, 403, 126272. [Google Scholar]
- Zdarta, J.; Jesionowski, T.; Pinelo, M.; Meyer, A.S.; Iqbal, H.M.N.; Bilal, M.; Nguyen, L.N.; Nghiem, L.D. Free and immobilized biocatalysts for removing micropollutants frommwater and wastewater: Recent progress and challenges. Bioresour. Technol. 2022, 344, 126201. [Google Scholar]
- Lopez, C.; Mielgo, I.; Moreira, M.T.; Feijoo, G.; Lema, J.M. Enzymatic membrane reactors for biodegradation of recalcitrant compounds. Application to dye decolourisation. J. Biotechnol. 2002, 99, 249–257. [Google Scholar]
- Ksibi, M. Chemical oxidation with hydrogen peroxide for domestic wastewater treatment. Chem. Eng. J. 2006, 119, 161–165. [Google Scholar]
- Maniero, M.G.; Bila, D.M.; Dezotti, M. Degradation and estrogenic activity removal of 17beta-estradiol and 17alpha-ethinylestradiol by ozonation and O3/H2O2. Sci. Total Environ. 2008, 407, 105–115. [Google Scholar] [PubMed]
- Adak, A.; Das, I.; Mondal, B.; Koner, S.; Datta, P.; Blaney, L. Degradation of 2,4-dichlorophenoxyacetic acid by UV 253.7 and UV-H2O2: Reaction kinetics and effects of interfering substances. Emerg. Contam. 2019, 5, 53–60. [Google Scholar]
- Chen, Z.; Fu, M.; Yuan, C.; Hu, X.; Bai, J.; Pan, R.; Lu, P.; Tang, M. Study on the degradation of tetracycline in wastewater by micro-nano bubbles activated hydrogen peroxide. Environ. Technol. 2022, 43, 3580–3590. [Google Scholar] [CrossRef]
- Komagoe, K. Porphyrin-induced photogeneration of hydrogen peroxide determined using the luminol chemiluminescence method in aqueous solution: A structure-activity relationship study related to the aggregation of porphyrin. Anal Sci. 2006, 22, 255–258. [Google Scholar] [CrossRef]
- Bronikowski, A.; Hagedoorn, P.L.; Koschorreck, K.; Urlacher, V.B. Expression of a new laccase from Moniliophthora roreri at high levels in Pichia pastoris and its potential application in micropollutant degradation. AMB Express 2017, 7, 73. [Google Scholar]
- Bilal, M.; Rasheed, T.; Iqbal, H.M.N.; Hu, H.; Wang, W.; Zhang, X. Horseradish peroxidase immobilization by copolymerization into cross-linked polyacrylamide gel and its dye degradation and detoxification potential. Int. J. Biol. Macromol. 2018, 113, 983–990. [Google Scholar] [PubMed]
- Ameri, A.; Taghizadeh, T.; Talebian-Kiakalaieh, A.; Forootanfar, H.; Mojtabavi, S.; Jahandar, H.; Tarighi, S.; Faramarzi, M.A. Bio-removal of phenol by the immobilized laccase on the fabricated parent and hierarchical NaY and ZSM-5 zeolites. J. Taiwan Inst. Chem. Eng. 2021, 120, 300–312. [Google Scholar] [CrossRef]
- Pantić, N.; Spasojević, M.; Stojanović, Z.; Veljović, D.; Krstić, K.; Balaž, A.M.; Prodanović, R.; Prodanović, O. Immobilization of Horseradish Peroxidase on Macroporous Glycidyl-Based Copolymers with Different Surface Characteristics for the Removal of Phenol. J. Polym. Environ. 2022, 30, 3005–3020. [Google Scholar] [CrossRef]
- Ike, M.; Chen, M.Y.; Danzl, E.; Sei, K.; Fujita, M. Biodegradation of a variety of bisphenols under aerobic and anaerobic conditions. Water Sci. Technol. 2006, 53, 153–159. [Google Scholar] [CrossRef]
- Yin-Ru, C.; Yu-Jen, L.; Duu-Jong, D. Membrane fouling during water or wastewater treatments: Current research updated. J. Taiwan Inst. Chem. Eng. 2019, 94, 88–96. [Google Scholar]
- Vitola, G.; Mazzei, R.; Giorno, L. Enzyme-loaded membrane reactor to degrade a pesticide in vegetative waters. J. Membr. Sci. 2019, 94, 88–96. [Google Scholar] [CrossRef]
- Bradford, M.M. A rapid and sensitive method for the quantitation of microgram quantities of protein utilizing the principle of protein-dye binding. Anal. Biochem. 1976, 72, 248–254. [Google Scholar] [CrossRef]






| Analyzed Parameter | Membrane-Laccase | Membrane-Tyrosinase | Membrane-HRP |
|---|---|---|---|
| Immobilization yield (%) | 91 | 82 | 85 |
| Amount of immobilized enzyme (mg) | 9.1 | 8.2 | 8.5 |
| Membrane loading (mg/cm2) | 0.68 | 0.61 | 0.63 |
| Analyzed Parameter | Membrane-Laccase | Membrane-Tyrosinase | Membrane-HRP |
|---|---|---|---|
| Activity recovery (%) | 90% | 85% | 82% |
| Michaelis-Menten constant (KM, mM) | 0.094 | 0.81 | 1.52 |
| Maximum reaction rate (Vmax, mM/min) | 0.103 | 104 | 298 |
| Analyzed Compound | Group | Wastewater ‘Before’ | Wastewater ‘After’ |
|---|---|---|---|
| Estimated Concentration Range (ng/mL) | |||
| Hematoporphyrin | porphyrin | 0.1–1 | 0.1–1 |
| (2,4-Dichlorophenoxy) acetic acid | herbicide | 1–10 | 0.1–1 |
| 17α-Ethynylestradiol | estrogen | 0.1–1 | 0.1–1 |
| Tetracycline | antibiotic | 0.1–1 | 0.1–1 |
| tert-Amyl alcohol | anesthetic drug | 0.1–1 | 0.1–1 |
| Ketoprofen methyl ester | nonsteroidal anti-inflammatory drug’s ingredient | 1–10 | 0.1–1 |
Publisher’s Note: MDPI stays neutral with regard to jurisdictional claims in published maps and institutional affiliations. |
© 2022 by the authors. Licensee MDPI, Basel, Switzerland. This article is an open access article distributed under the terms and conditions of the Creative Commons Attribution (CC BY) license (https://creativecommons.org/licenses/by/4.0/).
Share and Cite
Zdarta, A.; Zdarta, J. Study of Membrane-Immobilized Oxidoreductases in Wastewater Treatment for Micropollutants Removal. Int. J. Mol. Sci. 2022, 23, 14086. https://doi.org/10.3390/ijms232214086
Zdarta A, Zdarta J. Study of Membrane-Immobilized Oxidoreductases in Wastewater Treatment for Micropollutants Removal. International Journal of Molecular Sciences. 2022; 23(22):14086. https://doi.org/10.3390/ijms232214086
Chicago/Turabian StyleZdarta, Agata, and Jakub Zdarta. 2022. "Study of Membrane-Immobilized Oxidoreductases in Wastewater Treatment for Micropollutants Removal" International Journal of Molecular Sciences 23, no. 22: 14086. https://doi.org/10.3390/ijms232214086
APA StyleZdarta, A., & Zdarta, J. (2022). Study of Membrane-Immobilized Oxidoreductases in Wastewater Treatment for Micropollutants Removal. International Journal of Molecular Sciences, 23(22), 14086. https://doi.org/10.3390/ijms232214086
