New Effective Method of Lactococcus Genome Editing Using Guide RNA-Directed Transposition
Abstract
1. Introduction
2. Results
2.1. Development of the Genome-Editing System
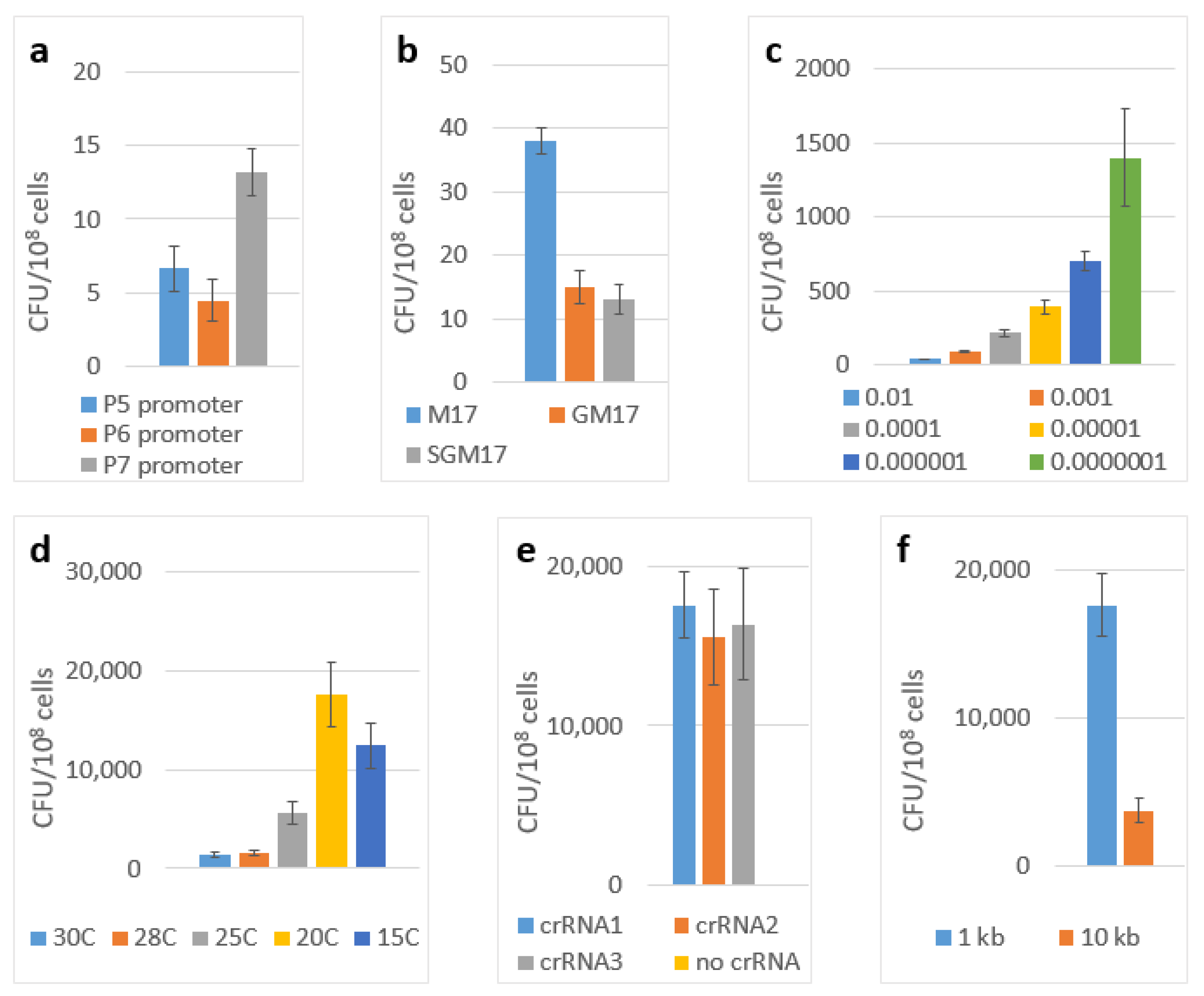
2.2. Promoter Optimization
2.3. Optimization of the Experiment Conditions
2.4. Variation of Guide RNA Sequences
2.5. Integration of Large Insertions
3. Discussion
4. Materials and Methods
4.1. Bacterial Strains and Their Cultivation
4.2. Reagents and Enzymes
4.3. Plasmid Construction
4.4. Transposition Experiments
4.5. PCR and Sanger Sequencing Analysis of Transposition Products
5. Conclusions
Supplementary Materials
Author Contributions
Funding
Institutional Review Board Statement
Informed Consent Statement
Data Availability Statement
Acknowledgments
Conflicts of Interest
References
- Laroute, V.; Tormo, H.; Couderc, C.; Mercier-Bonin, M.; Le Bourgeois, P.; Cocaign-Bousquet, M.; Daveran-Mingot, M.-L. From Genome to Phenotype: An Integrative Approach to Evaluate the Biodiversity of Lactococcus lactis. Microorganisms 2017, 5, 27. [Google Scholar] [CrossRef]
- Guo, T.; Kong, J.; Zhang, L.; Zhang, C.; Hu, S. Fine Tuning of the Lactate and Diacetyl Production through Promoter Engineering in Lactococcus lactis. PLoS ONE 2012, 7, e36296. [Google Scholar] [CrossRef]
- Xu, C.; Shi, Z.; Shao, J.; Yu, C.; Xu, Z. Metabolic Engineering of Lactococcus lactis for High Level Accumulation of Glutathione and S-Adenosyl-l-Methionine. World J. Microbiol. Biotechnol. 2019, 35, 185. [Google Scholar] [CrossRef] [PubMed]
- Zhang, Z.-H.; Jiang, P.-H.; Li, N.-J.; Shi, M.; Huang, W. Oral Vaccination of Mice against Rodent Malaria with Recombinant Lactococcus lactis Expressing MSP-119. World J. Gastroenterol. 2005, 11, 6975–6980. [Google Scholar] [CrossRef] [PubMed]
- Mierau, I.; Kleerebezem, M. 10 Years of the Nisin-Controlled Gene Expression System (NICE) in Lactococcus lactis. Appl. Microbiol. Biotechnol. 2005, 68, 705–717. [Google Scholar] [CrossRef] [PubMed]
- Song, A.A.-L.; In, L.L.A.; Lim, S.H.E.; Rahim, R.A. A Review on Lactococcus Lactis: From Food to Factory. Microb. Cell Fact. 2017, 16, 55. [Google Scholar] [CrossRef] [PubMed]
- Leenhouts, K.J.; Kok, J.; Venema, G. Campbell-like Integration of Heterologous Plasmid DNA into the Chromosome of Lactococcus lactis Subsp. Lactis. Appl. Environ. Microbiol. 1989, 55, 394–400. [Google Scholar] [CrossRef]
- Maguin, E.; Duwat, P.; Hege, T.; Ehrlich, D.; Gruss, A. New Thermosensitive Plasmid for Gram-Positive Bacteria. J. Bacteriol. 1992, 174, 5633–5638. [Google Scholar] [CrossRef]
- Xin, Y.; Guo, T.; Mu, Y.; Kong, J. Development of a Counterselectable Seamless Mutagenesis System in Lactic Acid Bacteria. Microb. Cell Fact. 2017, 16, 116. [Google Scholar] [CrossRef]
- Casey, J.; Daly, C.; Fitzgerald, G.F. Controlled Integration into the Lactococcus Chromosome of the PCI829-Encoded Abortive Infection Gene from Lactococcus Lactis Subsp. Lactis UC811. Appl. Environ. Microbiol. 1992, 58, 3283–3291. [Google Scholar] [CrossRef]
- Van Zyl, W.F.; Dicks, L.M.T.; Deane, S.M. Development of a Novel Selection/Counter-Selection System for Chromosomal Gene Integrations and Deletions in Lactic Acid Bacteria. BMC Mol. Biol. 2019, 20, 10. [Google Scholar] [CrossRef] [PubMed]
- Guo, T.; Xin, Y.; Zhang, Y.; Gu, X.; Kong, J. A Rapid and Versatile Tool for Genomic Engineering in Lactococcus lactis. Microb. Cell. Fact. 2019, 18, 22. [Google Scholar] [CrossRef] [PubMed]
- Mojica, F.J.M.; Díez-Villaseñor, C.; García-Martínez, J.; Almendros, C. Short Motif Sequences Determine the Targets of the Prokaryotic CRISPR Defence System. Microbiology 2009, 155, 733–740. [Google Scholar] [CrossRef] [PubMed]
- Hille, F.; Charpentier, E. CRISPR-Cas: Biology, Mechanisms and Relevance. Phil. Trans. R. Soc. B 2016, 371, 20150496. [Google Scholar] [CrossRef]
- Song, X.; Liu, L.; Liu, X.-X.; Xiong, Z.-Q.; Xie, C.-L.; Wang, S.-J.; Ai, L.-Z. Single-Plasmid Systems Based on CRISPR-Cas9 for Gene Editing in Lactococcus lactis. J. Dairy Sci. 2021, 104, 10576–10585. [Google Scholar] [CrossRef] [PubMed]
- Hatti-Kaul, R.; Chen, L.; Dishisha, T.; Enshasy, H.E. Lactic Acid Bacteria: From Starter Cultures to Producers of Chemicals. FEMS Microbiol. Lett. 2018, 365, fny213. [Google Scholar] [CrossRef]
- Clarke, G.; Cryan, J.F.; Dinan, T.G.; Quigley, E.M. Review Article: Probiotics for the Treatment of Irritable Bowel Syndrome-Focus on Lactic Acid Bacteria. Aliment. Pharmacol. Ther. 2012, 35, 403–413. [Google Scholar] [CrossRef]
- Peters, J.E.; Makarova, K.S.; Shmakov, S.; Koonin, E.V. Recruitment of CRISPR-Cas Systems by Tn7-like Transposons. Proc. Natl. Acad. Sci. USA 2017, 114, E7358–E7366. [Google Scholar] [CrossRef]
- Petassi, M.T.; Hsieh, S.-C.; Peters, J.E. Guide RNA Categorization Enables Target Site Choice in Tn7-CRISPR-Cas Transposons. Cell 2020, 183, 1757–1771.e18. [Google Scholar] [CrossRef]
- Ma, W.; Xu, Y.-S.; Sun, X.-M.; Huang, H. Transposon-Associated CRISPR-Cas System: A Powerful DNA Insertion Tool. Trends Microbiol. 2021, 29, 565–568. [Google Scholar] [CrossRef]
- Rubin, B.E.; Diamond, S.; Cress, B.F.; Crits-Christoph, A.; Lou, Y.C.; Borges, A.L.; Shivram, H.; He, C.; Xu, M.; Zhou, Z.; et al. Species- and Site-Specific Genome Editing in Complex Bacterial Communities. Nat. Microbiol. 2022, 7, 34–47. [Google Scholar] [CrossRef] [PubMed]
- Klompe, S.E.; Vo, P.L.H.; Halpin-Healy, T.S.; Sternberg, S.H. Transposon-Encoded CRISPR-Cas Systems Direct RNA-Guided DNA Integration. Nature 2019, 571, 219–225. [Google Scholar] [CrossRef] [PubMed]
- Zhu, D.; Liu, F.; Xu, H.; Bai, Y.; Zhang, X.; Saris, P.E.J.; Qiao, M. Isolation of Strong Constitutive Promoters from Lactococcus lactis Subsp. lactis N8. FEMS Microbiol. Lett. 2015, 362, fnv107. [Google Scholar] [CrossRef]
- O’Sullivan, D.J.; Klaenhammer, T.R. High- and Low-Copy-Number Lactococcus Shuttle Cloning Vectors with Features for Clone Screening. Gene 1993, 137, 227–231. [Google Scholar] [CrossRef]
- Simon, D.; Rouault, A.; Chopin, M.C. High-Efficiency Transformation of Streptococcus Lactis Protoplasts by Plasmid DNA. Appl. Environ. Microbiol. 1986, 52, 394–395. [Google Scholar] [CrossRef] [PubMed]
- Vo, P.L.H.; Ronda, C.; Klompe, S.E.; Chen, E.E.; Acree, C.; Wang, H.H.; Sternberg, S.H. CRISPR RNA-Guided Integrases for High-Efficiency, Multiplexed Bacterial Genome Engineering. Nat. Biotechnol. 2021, 39, 480–489. [Google Scholar] [CrossRef] [PubMed]
- Xu, H.; Xiao, T.; Chen, C.-H.; Li, W.; Meyer, C.A.; Wu, Q.; Wu, D.; Cong, L.; Zhang, F.; Liu, J.S.; et al. Sequence Determinants of Improved CRISPR SgRNA Design. Genome Res. 2015, 25, 1147–1157. [Google Scholar] [CrossRef]
- Hsu, P.D.; Scott, D.A.; Weinstein, J.A.; Ran, F.A.; Konermann, S.; Agarwala, V.; Li, Y.; Fine, E.J.; Wu, X.; Shalem, O.; et al. DNA Targeting Specificity of RNA-Guided Cas9 Nucleases. Nat. Biotechnol. 2013, 31, 827–832. [Google Scholar] [CrossRef]
- Tsai, S.Q.; Zheng, Z.; Nguyen, N.T.; Liebers, M.; Topkar, V.V.; Thapar, V.; Wyvekens, N.; Khayter, C.; Iafrate, A.J.; Le, L.P.; et al. GUIDE-Seq Enables Genome-Wide Profiling of off-Target Cleavage by CRISPR-Cas Nucleases. Nat. Biotechnol. 2015, 33, 187–197. [Google Scholar] [CrossRef]
- Radzisheuskaya, A.; Shlyueva, D.; Müller, I.; Helin, K. Optimizing SgRNA Position Markedly Improves the Efficiency of CRISPR/DCas9-Mediated Transcriptional Repression. Nucleic Acids Res. 2016, 44, e141. [Google Scholar] [CrossRef]
- Leenhouts, K.J.; Kok, J.; Venema, G. Lactococcal Plasmid PWV01 as an Integration Vector for Lactococci. Appl. Environ. Microbiol. 1991, 57, 2562–2567. [Google Scholar] [CrossRef] [PubMed]
- Mahony, J.; Bottacini, F.; van Sinderen, D.; Fitzgerald, G.F. Progress in Lactic Acid Bacterial Phage Research. Microb. Cell Fact. 2014, 13 (Suppl. S1), S1. [Google Scholar] [CrossRef] [PubMed]
- Liu, J.-M.; Chen, L.; Jensen, P.R.; Solem, C. Food Grade Microbial Synthesis of the Butter Aroma Compound Butanedione Using Engineered and Non-Engineered Lactococcus Lactis. Metab. Eng. 2021, 67, 443–452. [Google Scholar] [CrossRef] [PubMed]
- Romero, D.A.; Magill, D.; Millen, A.; Horvath, P.; Fremaux, C. Dairy Lactococcal and Streptococcal Phage-Host Interactions: An Industrial Perspective in an Evolving Phage Landscape. FEMS Microbiol. Rev. 2020, 44, 909–932. [Google Scholar] [CrossRef] [PubMed]
- Papagianni, M.; Avramidis, N.; Filioussis, G. High Efficiency Electrotransformation of Lactococcus lactis Spp. lactis Cells Pretreated with Lithium Acetate and Dithiothreitol. BMC Biotechnol. 2007, 7, 15. [Google Scholar] [CrossRef] [PubMed]
- Russell, W.M.; Klaenhammer, T.R. Efficient System for Directed Integration into the Lactobacillus Acidophilus and Lactobacillus Gasseri Chromosomes via Homologous Recombination. Appl. Environ. Microbiol. 2001, 67, 4361–4364. [Google Scholar] [CrossRef]



Publisher’s Note: MDPI stays neutral with regard to jurisdictional claims in published maps and institutional affiliations. |
© 2022 by the authors. Licensee MDPI, Basel, Switzerland. This article is an open access article distributed under the terms and conditions of the Creative Commons Attribution (CC BY) license (https://creativecommons.org/licenses/by/4.0/).
Share and Cite
Pechenov, P.Y.; Garagulya, D.A.; Stanovov, D.S.; Letarov, A.V. New Effective Method of Lactococcus Genome Editing Using Guide RNA-Directed Transposition. Int. J. Mol. Sci. 2022, 23, 13978. https://doi.org/10.3390/ijms232213978
Pechenov PY, Garagulya DA, Stanovov DS, Letarov AV. New Effective Method of Lactococcus Genome Editing Using Guide RNA-Directed Transposition. International Journal of Molecular Sciences. 2022; 23(22):13978. https://doi.org/10.3390/ijms232213978
Chicago/Turabian StylePechenov, Pavel Yu, Danil A. Garagulya, Daniil S. Stanovov, and Andrey V. Letarov. 2022. "New Effective Method of Lactococcus Genome Editing Using Guide RNA-Directed Transposition" International Journal of Molecular Sciences 23, no. 22: 13978. https://doi.org/10.3390/ijms232213978
APA StylePechenov, P. Y., Garagulya, D. A., Stanovov, D. S., & Letarov, A. V. (2022). New Effective Method of Lactococcus Genome Editing Using Guide RNA-Directed Transposition. International Journal of Molecular Sciences, 23(22), 13978. https://doi.org/10.3390/ijms232213978

