B Cell Kinetics upon Therapy Commencement for Active Extrarenal Systemic Lupus Erythematosus in Relation to Development of Renal Flares: Results from Three Phase III Clinical Trials of Belimumab
Abstract
1. Introduction
2. Results
2.1. Patient Characteristics
2.2. Associations with Renal Flares Occurring during Follow-Up
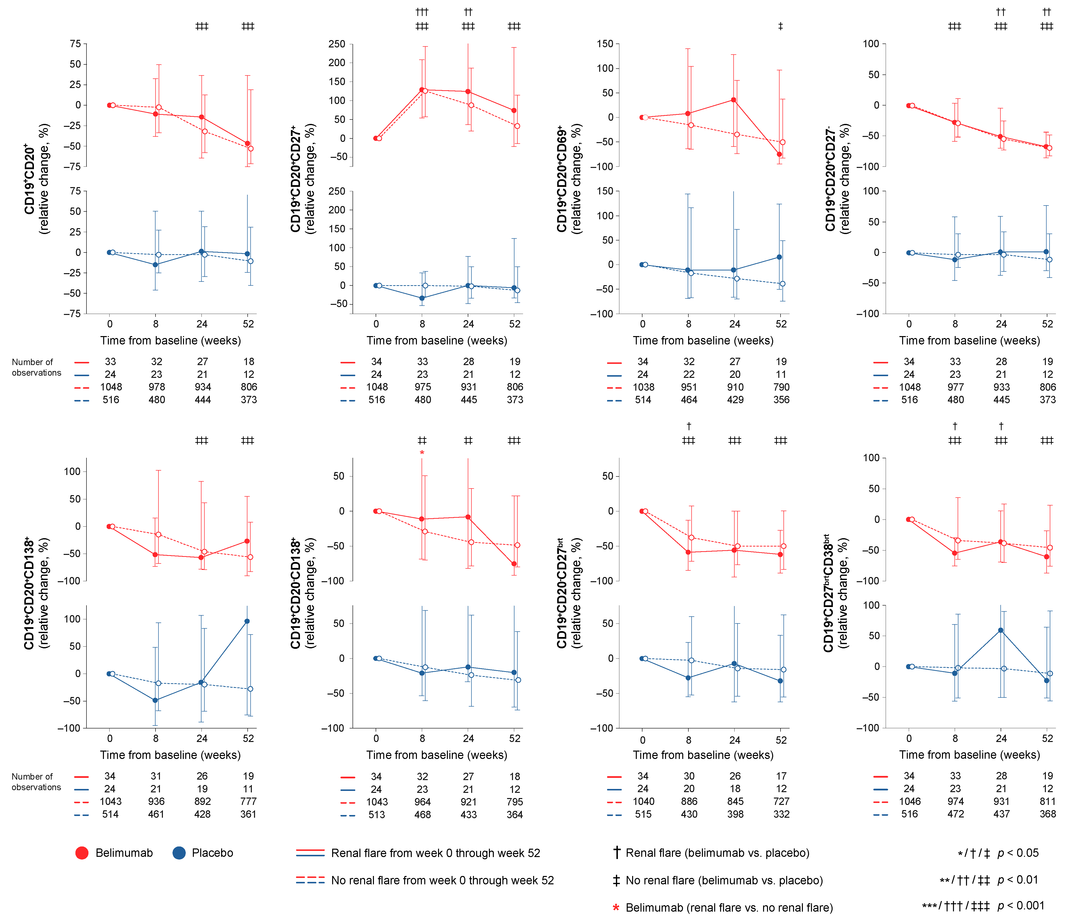
2.3. B Cell Changes
2.4. Serological Markers
2.5. Analyses in Relation to the First Documented Renal Flare
3. Discussion
4. Materials and Methods
4.1. Study Population
4.2. Clinical Definitions
4.3. Determination of B Cell Subsets and Serological Markers
4.4. Ethics
4.5. Statistical Analysis
5. Conclusions
Supplementary Materials
Author Contributions
Funding
Institutional Review Board Statement
Informed Consent Statement
Data Availability Statement
Acknowledgments
Conflicts of Interest
References
- Gasparotto, M.; Gatto, M.; Binda, V.; Doria, A.; Moroni, G. Lupus nephritis: Clinical presentations and outcomes in the 21st century. Rheumatology (Oxford) 2020, 59, v39–v51. [Google Scholar] [CrossRef] [PubMed]
- Moroni, G.; Vercelloni, P.G.; Quaglini, S.; Gatto, M.; Gianfreda, D.; Sacchi, L.; Raffiotta, F.; Zen, M.; Costantini, G.; Urban, M.L.; et al. Changing patterns in clinical-histological presentation and renal outcome over the last five decades in a cohort of 499 patients with lupus nephritis. Ann. Rheum. Dis. 2018, 77, 1318–1325. [Google Scholar] [CrossRef] [PubMed]
- Ugarte-Gil, M.F.; Acevedo-Vásquez, E.; Alarcón, G.S.; Pastor-Asurza, C.A.; Alfaro-Lozano, J.L.; Cucho-Venegas, J.M.; Segami, M.I.; Wojdyla, D.; Soriano, E.R.; Drenkard, C.; et al. The number of flares patients experience impacts on damage accrual in systemic lupus erythematosus: Data from a multiethnic Latin American cohort. Ann. Rheum. Dis. 2015, 74, 1019–1023. [Google Scholar] [CrossRef]
- Doria, A.; Amoura, Z.; Cervera, R.; Khamastha, M.A.; Schneider, M.; Richter, J.; Guillemin, F.; Kobelt, G.; Maurel, F.; Garofano, A.; et al. Annual direct medical cost of active systemic lupus erythematosus in five European countries. Ann. Rheum. Dis. 2014, 73, 154–160. [Google Scholar] [CrossRef]
- Anders, H.J.; Saxena, R.; Zhao, M.H.; Parodis, I.; Salmon, J.E.; Mohan, C. Lupus nephritis. Nat. Rev. Dis. Prim. 2020, 6, 7. [Google Scholar] [CrossRef]
- Isenberg, D.A.; Allen, E.; Farewell, V.; D’Cruz, D.; Alarcon, G.S.; Aranow, C.; Bruce, I.N.; Dooley, M.A.; Fortin, P.R.; Ginzler, E.M.; et al. An assessment of disease flare in patients with systemic lupus erythematosus: A comparison of BILAG 2004 and the flare version of SELENA. Ann. Rheum. Dis. 2011, 70, 54–59. [Google Scholar] [CrossRef]
- Ligtenberg, G.; Arends, S.; Stegeman, C.A.; de Leeuw, K. Predictors of renal flares and long-term renal outcome in patients with lupus nephritis: Results from daily clinical practice. Clin. Exp. Rheumatol. 2021, 40, 33–38. [Google Scholar] [CrossRef]
- Luís, M.S.F.; Bultink, I.E.M.; da Silva, J.A.P.; Voskuyl, A.E.; Inês, L.S. Early predictors of renal outcome in patients with proliferative lupus nephritis: A 36-month cohort study. Rheumatology (Oxford) 2021, 60, 5134–5141. [Google Scholar] [CrossRef]
- Pisetsky, D.S.; Lipsky, P.E. New insights into the role of antinuclear antibodies in systemic lupus erythematosus. Nat. Rev. Rheumatol. 2020, 16, 565–579. [Google Scholar] [CrossRef]
- Gensous, N.; Marti, A.; Barnetche, T.; Blanco, P.; Lazaro, E.; Seneschal, J.; Truchetet, M.E.; Duffau, P.; Richez, C. Predictive biological markers of systemic lupus erythematosus flares: A systematic literature review. Arthritis. Res. Ther. 2017, 19, 238. [Google Scholar] [CrossRef]
- Enocsson, H.; Sjöwall, C.; Wirestam, L.; Dahle, C.; Kastbom, A.; Rönnelid, J.; Wetterö, J.; Skogh, T. Four Anti-dsDNA Antibody Assays in Relation to Systemic Lupus Erythematosus Disease Specificity and Activity. J. Rheumatol. 2015, 42, 817–825. [Google Scholar] [CrossRef] [PubMed]
- Parodis, I.; Stockfelt, M.; Sjowall, C. B Cell Therapy in Systemic Lupus Erythematosus: From Rationale to Clinical Practice. Front. Med. 2020, 7, 316. [Google Scholar] [CrossRef] [PubMed]
- Gatto, M.; Saccon, F.; Andreoli, L.; Bartoloni, E.; Benvenuti, F.; Bortoluzzi, A.; Bozzolo, E.; Brunetta, E.; Canti, V.; Cardinaletti, P.; et al. Durable renal response and safety with add-on belimumab in patients with lupus nephritis in real-life setting (BeRLiSS-LN). Results from a large, nationwide, multicentric cohort. J. Autoimmun. 2021, 124, 102729. [Google Scholar] [CrossRef] [PubMed]
- Gatto, M.; Saccon, F.; Zen, M.; Regola, F.; Fredi, M.; Andreoli, L.; Tincani, A.; Urban, M.L.; Emmi, G.; Ceccarelli, F.; et al. Early Disease and Low Baseline Damage as Predictors of Response to Belimumab in Patients WITH Systemic Lupus Erythematosus in a Real-Life Setting. Arthritis Rheumatol. 2020, 72, 1314–1324. [Google Scholar] [CrossRef] [PubMed]
- Sciascia, S.; Radin, M.; Yazdany, J.; Levy, R.A.; Roccatello, D.; Dall’Era, M.; Cuadrado, M.J. Efficacy of belimumab on renal outcomes in patients with systemic lupus erythematosus: A systematic review. Autoimmun. Rev. 2017, 16, 287–293. [Google Scholar] [CrossRef] [PubMed]
- Iaccarino, L.; Bettio, S.; Reggia, R.; Zen, M.; Frassi, M.; Andreoli, L.; Gatto, M.; Piantoni, S.; Nalotto, L.; Franceschini, F.; et al. Effects of Belimumab on Flare Rate and Expected Damage Progression in Patients With Active Systemic Lupus Erythematosus. Arthritis Care Res. (Hoboken) 2017, 69, 115–123. [Google Scholar] [CrossRef] [PubMed]
- Parodis, I.; Sjowall, C.; Jonsen, A.; Ramskold, D.; Zickert, A.; Frodlund, M.; Sohrabian, A.; Arnaud, L.; Ronnelid, J.; Malmstrom, V.; et al. Smoking and pre-existing organ damage reduce the efficacy of belimumab in systemic lupus erythematosus. Autoimmun. Rev. 2017, 16, 343–351. [Google Scholar] [CrossRef]
- Dooley, M.A.; Houssiau, F.; Aranow, C.; D’Cruz, D.P.; Askanase, A.; Roth, D.A.; Zhong, Z.J.; Cooper, S.; Freimuth, W.W.; Ginzler, E.M.; et al. Effect of belimumab treatment on renal outcomes: Results from the phase 3 belimumab clinical trials in patients with SLE. Lupus 2013, 22, 63–72. [Google Scholar] [CrossRef]
- Furie, R.; Rovin, B.H.; Houssiau, F.; Malvar, A.; Teng, Y.K.O.; Contreras, G.; Amoura, Z.; Yu, X.; Mok, C.C.; Santiago, M.B.; et al. Two-Year, Randomized, Controlled Trial of Belimumab in Lupus Nephritis. N. Engl. J. Med. 2020, 383, 1117–1128. [Google Scholar] [CrossRef]
- Parodis, I.; Houssiau, F.A. From sequential to combination and personalised therapy in lupus nephritis: Moving towards a paradigm shift? Ann. Rheum. Dis. 2021, 81, 15–19. [Google Scholar] [CrossRef]
- Parodis, I.; Vital, E.M.; Hassan, S.U.; Jonsen, A.; Bengtsson, A.A.; Eriksson, P.; Leonard, D.; Gunnarsson, I.; Ronnblom, L.; Sjowall, C. De novo lupus nephritis during treatment with belimumab. Rheumatology (Oxford) 2021, 60, 4348–4354. [Google Scholar] [CrossRef]
- Jacobi, A.M.; Huang, W.; Wang, T.; Freimuth, W.; Sanz, I.; Furie, R.; Mackay, M.; Aranow, C.; Diamond, B.; Davidson, A. Effect of long-term belimumab treatment on B cells in systemic lupus erythematosus: Extension of a phase II, double-blind, placebo-controlled, dose-ranging study. Arthritis Rheum. 2010, 62, 201–210. [Google Scholar] [CrossRef] [PubMed]
- Stohl, W.; Hiepe, F.; Latinis, K.M.; Thomas, M.; Scheinberg, M.A.; Clarke, A.; Aranow, C.; Wellborne, F.R.; Abud-Mendoza, C.; Hough, D.R.; et al. Belimumab reduces autoantibodies, normalizes low complement levels, and reduces select B cell populations in patients with systemic lupus erythematosus. Arthritis Rheum. 2012, 64, 2328–2337. [Google Scholar] [CrossRef]
- Ramskold, D.; Parodis, I.; Lakshmikanth, T.; Sippl, N.; Khademi, M.; Chen, Y.; Zickert, A.; Mikes, J.; Achour, A.; Amara, K.; et al. B cell alterations during BAFF inhibition with belimumab in SLE. EBioMedicine 2019, 40, 517–527. [Google Scholar] [CrossRef] [PubMed]
- Arends, E.J.; Zlei, M.; Tipton, C.M.; Osmani, Z.; Kamerling, S.; Rabelink, T.; Sanz, I.; Van Dongen, J.J.M.; Van Kooten, C.; Teng, Y.K.O. POS0680 Belimumab Add-On Therapy Mobilises Memory B Cells into the Circulation of Patients with SLE. Ann. Rheum. Dis. 2021, 80, 585. [Google Scholar] [CrossRef]
- Parodis, I.; Tamirou, F.; Houssiau, F.A. Prediction of prognosis and renal outcome in lupus nephritis. Lupus Sci. Med. 2020, 7, e000389. [Google Scholar] [CrossRef]
- Dall’Era, M.; Cisternas, M.G.; Smilek, D.E.; Straub, L.; Houssiau, F.A.; Cervera, R.; Rovin, B.H.; Mackay, M. Predictors of long-term renal outcome in lupus nephritis trials: Lessons learned from the Euro-Lupus Nephritis cohort. Arthritis Rheumatol. 2015, 67, 1305–1313. [Google Scholar] [CrossRef] [PubMed]
- Moroni, G.; Quaglini, S.; Maccario, M.; Banfi, G.; Ponticelli, C. “Nephritic flares” are predictors of bad long-term renal outcome in lupus nephritis. Kidney Int. 1996, 50, 2047–2053. [Google Scholar] [CrossRef]
- Tamirou, F.; Lauwerys, B.R.; Dall’Era, M.; Mackay, M.; Rovin, B.; Cervera, R.; Houssiau, F.A.; Investigators, M.N.T. A proteinuria cut-off level of 0.7 g/day after 12 months of treatment best predicts long-term renal outcome in lupus nephritis: Data from the MAINTAIN Nephritis Trial. Lupus Sci. Med. 2015, 2, e000123. [Google Scholar] [CrossRef]
- Ugolini-Lopes, M.R.; Seguro, L.P.C.; Castro, M.X.F.; Daffre, D.; Lopes, A.C.; Borba, E.F.; Bonfa, E. Early proteinuria response: A valid real-life situation predictor of long-term lupus renal outcome in an ethnically diverse group with severe biopsy-proven nephritis? Lupus Sci. Med. 2017, 4, e000213. [Google Scholar] [CrossRef]
- Parodis, I.; Adamichou, C.; Aydin, S.; Gomez, A.; Demoulin, N.; Weinmann-Menke, J.; Houssiau, F.A.; Tamirou, F. Per-protocol repeat kidney biopsy portends relapse and long-term outcome in incident cases of proliferative lupus nephritis. Rheumatology (Oxford) 2020, 59, 3424–3434. [Google Scholar] [CrossRef] [PubMed]
- Espeli, M.; Bokers, S.; Giannico, G.; Dickinson, H.A.; Bardsley, V.; Fogo, A.B.; Smith, K.G. Local renal autoantibody production in lupus nephritis. J. Am. Soc. Nephrol. 2011, 22, 296–305. [Google Scholar] [CrossRef]
- Gatto, M.; Radu, C.M.; Luisetto, R.; Ghirardello, A.; Bonsembiante, F.; Trez, D.; Valentino, S.; Bottazzi, B.; Simioni, P.; Cavicchioli, L.; et al. Immunization with Pentraxin3 prevents transition from subclinical to clinical lupus nephritis in lupus-prone mice: Insights from renal ultrastructural findings. J. Autoimmun. 2020, 111, 102443. [Google Scholar] [CrossRef] [PubMed]
- Sekine, H.; Watanabe, H.; Gilkeson, G.S. Enrichment of anti-glomerular antigen antibody-producing cells in the kidneys of MRL/MpJ-Fas(lpr) mice. J. Immunol. 2004, 172, 3913–3921. [Google Scholar] [CrossRef] [PubMed]
- Chang, A.; Henderson, S.G.; Brandt, D.; Liu, N.; Guttikonda, R.; Hsieh, C.; Kaverina, N.; Utset, T.O.; Meehan, S.M.; Quigg, R.J.; et al. In situ B cell-mediated immune responses and tubulointerstitial inflammation in human lupus nephritis. J. Immunol. 2011, 186, 1849–1860. [Google Scholar] [CrossRef]
- Hutloff, A.; Buchner, K.; Reiter, K.; Baelde, H.J.; Odendahl, M.; Jacobi, A.; Dorner, T.; Kroczek, R.A. Involvement of inducible costimulator in the exaggerated memory B cell and plasma cell generation in systemic lupus erythematosus. Arthritis Rheum. 2004, 50, 3211–3220. [Google Scholar] [CrossRef]
- Ramanujam, M.; Bethunaickan, R.; Huang, W.; Tao, H.; Madaio, M.P.; Davidson, A. Selective blockade of BAFF for the prevention and treatment of systemic lupus erythematosus nephritis in NZM2410 mice. Arthritis Rheum. 2010, 62, 1457–1468. [Google Scholar] [CrossRef]
- Bekar, K.W.; Owen, T.; Dunn, R.; Ichikawa, T.; Wang, W.; Wang, R.; Barnard, J.; Brady, S.; Nevarez, S.; Goldman, B.I.; et al. Prolonged effects of short-term anti-CD20 B cell depletion therapy in murine systemic lupus erythematosus. Arthritis Rheum. 2010, 62, 2443–2457. [Google Scholar] [CrossRef]
- Jonsdottir, T.; Zickert, A.; Sundelin, B.; Henriksson, E.W.; van Vollenhoven, R.F.; Gunnarsson, I. Long-term follow-up in lupus nephritis patients treated with rituximab--clinical and histopathological response. Rheumatology (Oxford) 2013, 52, 847–855. [Google Scholar] [CrossRef]
- Sfikakis, P.P.; Boletis, J.N.; Lionaki, S.; Vigklis, V.; Fragiadaki, K.G.; Iniotaki, A.; Moutsopoulos, H.M. Remission of proliferative lupus nephritis following B cell depletion therapy is preceded by down-regulation of the T cell costimulatory molecule CD40 ligand: An open-label trial. Arthritis Rheum. 2005, 52, 501–513. [Google Scholar] [CrossRef]
- Furie, R.A.; Aroca, G.; Cascino, M.D.; Garg, J.P.; Rovin, B.H.; Alvarez, A.; Fragoso-Loyo, H.; Zuta-Santillan, E.; Schindler, T.; Brunetta, P.; et al. B-cell depletion with obinutuzumab for the treatment of proliferative lupus nephritis: A randomised, double-blind, placebo-controlled trial. Ann. Rheum. Dis. 2022, 81, 100–107. [Google Scholar] [CrossRef] [PubMed]
- Chan, O.T.; Hannum, L.G.; Haberman, A.M.; Madaio, M.P.; Shlomchik, M.J. A novel mouse with B cells but lacking serum antibody reveals an antibody-independent role for B cells in murine lupus. J. Exp. Med. 1999, 189, 1639–1648. [Google Scholar] [CrossRef] [PubMed]
- Regola, F.; Piantoni, S.; Lowin, T.; Archetti, S.; Reggia, R.; Kumar, R.; Franceschini, F.; Airò, P.; Tincani, A.; Andreoli, L.; et al. Association Between Changes in BLyS Levels and the Composition of B and T Cell Compartments in Patients With Refractory Systemic Lupus Erythematosus Treated With Belimumab. Front. Pharmacol. 2019, 10, 433. [Google Scholar] [CrossRef]
- Huang, W.; Quach, T.D.; Dascalu, C.; Liu, Z.; Leung, T.; Byrne-Steele, M.; Pan, W.; Yang, Q.; Han, J.; Lesser, M.; et al. Belimumab promotes negative selection of activated autoreactive B cells in systemic lupus erythematosus patients. JCI Insight 2018, 3, e122525. [Google Scholar] [CrossRef]
- Staveri, C.; Karokis, D.; Liossis, S.C. New onset of lupus nephritis in two patients with SLE shortly after initiation of treatment with belimumab. Semin. Arthritis Rheum. 2017, 46, 788–790. [Google Scholar] [CrossRef]
- Parodis, I.; Akerstrom, E.; Sjowall, C.; Sohrabian, A.; Jonsen, A.; Gomez, A.; Frodlund, M.; Zickert, A.; Bengtsson, A.A.; Ronnelid, J.; et al. Autoantibody and Cytokine Profiles during Treatment with Belimumab in Patients with Systemic Lupus Erythematosus. Int. J. Mol. Sci. 2020, 21, 3463. [Google Scholar] [CrossRef]
- Furie, R.; Petri, M.; Zamani, O.; Cervera, R.; Wallace, D.J.; Tegzova, D.; Sanchez-Guerrero, J.; Schwarting, A.; Merrill, J.T.; Chatham, W.W.; et al. A phase III, randomized, placebo-controlled study of belimumab, a monoclonal antibody that inhibits B lymphocyte stimulator, in patients with systemic lupus erythematosus. Arthritis Rheum. 2011, 63, 3918–3930. [Google Scholar] [CrossRef]
- Stohl, W.; Schwarting, A.; Okada, M.; Scheinberg, M.; Doria, A.; Hammer, A.E.; Kleoudis, C.; Groark, J.; Bass, D.; Fox, N.L.; et al. Efficacy and Safety of Subcutaneous Belimumab in Systemic Lupus Erythematosus: A Fifty-Two-Week Randomized, Double-Blind, Placebo-Controlled Study. Arthritis Rheumatol. 2017, 69, 1016–1027. [Google Scholar] [CrossRef]
- Zhang, F.; Bae, S.C.; Bass, D.; Chu, M.; Egginton, S.; Gordon, D.; Roth, D.A.; Zheng, J.; Tanaka, Y. A pivotal phase III, randomised, placebo-controlled study of belimumab in patients with systemic lupus erythematosus located in China, Japan and South Korea. Ann. Rheum. Dis. 2018, 77, 355–363. [Google Scholar] [CrossRef]
- Petri, M.; Kim, M.Y.; Kalunian, K.C.; Grossman, J.; Hahn, B.H.; Sammaritano, L.R.; Lockshin, M.; Merrill, J.T.; Belmont, H.M.; Askanase, A.D.; et al. Combined oral contraceptives in women with systemic lupus erythematosus. N. Engl. J. Med. 2005, 353, 2550–2558. [Google Scholar] [CrossRef]
- Furie, R.A.; Petri, M.A.; Wallace, D.J.; Ginzler, E.M.; Merrill, J.T.; Stohl, W.; Chatham, W.W.; Strand, V.; Weinstein, A.; Chevrier, M.R.; et al. Novel evidence-based systemic lupus erythematosus responder index. Arthritis Rheum. 2009, 61, 1143–1151. [Google Scholar] [CrossRef] [PubMed]
- Hay, E.M.; Bacon, P.A.; Gordon, C.; Isenberg, D.A.; Maddison, P.; Snaith, M.L.; Symmons, D.P.; Viner, N.; Zoma, A. The BILAG index: A reliable and valid instrument for measuring clinical disease activity in systemic lupus erythematosus. QJM Int. J. Med. 1993, 86, 447–458. [Google Scholar]
- Gladman, D.; Ginzler, E.; Goldsmith, C.; Fortin, P.; Liang, M.; Urowitz, M.; Bacon, P.; Bombardieri, S.; Hanly, J.; Hay, E.; et al. The development and initial validation of the Systemic Lupus International Collaborating Clinics/American College of Rheumatology damage index for systemic lupus erythematosus. Arthritis Rheum. 1996, 39, 363–369. [Google Scholar] [CrossRef]
- Jacobi, A.M.; Odendahl, M.; Reiter, K.; Bruns, A.; Burmester, G.R.; Radbruch, A.; Valet, G.; Lipsky, P.E.; Dorner, T. Correlation between circulating CD27high plasma cells and disease activity in patients with systemic lupus erythematosus. Arthritis Rheum. 2003, 48, 1332–1342. [Google Scholar] [CrossRef] [PubMed]
- Ellyard, J.I.; Avery, D.T.; Phan, T.G.; Hare, N.J.; Hodgkin, P.D.; Tangye, S.G. Antigen-selected, immunoglobulin-secreting cells persist in human spleen and bone marrow. Blood 2004, 103, 3805–3812. [Google Scholar] [CrossRef] [PubMed]
- Klasener, K.; Jellusova, J.; Andrieux, G.; Salzer, U.; Bohler, C.; Steiner, S.N.; Albinus, J.B.; Cavallari, M.; Suss, B.; Voll, R.E.; et al. CD20 as a gatekeeper of the resting state of human B cells. Proc. Natl. Acad. Sci. USA 2021, 118, e2021342118. [Google Scholar] [CrossRef] [PubMed]
- Sanz, I.; Wei, C.; Jenks, S.A.; Cashman, K.S.; Tipton, C.; Woodruff, M.C.; Hom, J.; Lee, F.E. Challenges and Opportunities for Consistent Classification of Human B Cell and Plasma Cell Populations. Front. Immunol. 2019, 10, 2458. [Google Scholar] [CrossRef]



| All Patients | Renal Flare | No Renal Flare | p Value | OR | 95% CI (OR) | RR | 95% CI (RR) | |
|---|---|---|---|---|---|---|---|---|
| n = 1715 | n = 64 | n = 1651 | ||||||
| Patient characteristics | ||||||||
| Age at baseline (years) | 39.3 ± 11.9 | 34.6 ± 11.6 | 39.5 ± 11.9 | 0.001 | N/A | N/A | N/A | N/A |
| Female sex | 1608 (93.8%) | 62 (96.9%) | 1546 (93.6%) | 0.294 | 2.11 | 0.51–8.73 | 2.06 | 0.51–8.32 |
| Ancestry | ||||||||
| Asian | 270 (15.7%) | 27 (42.2%) | 243 (14.7%) | <0.001 | 4.23 | 2.53–7.07 | 3.91 | 2.42–6.30 |
| Black/African American | 204 (11.9%) | 8 (12.5%) | 196 (11.9%) | 0.879 | 1.10 | 0.52–2.35 | 1.10 | 0.53–2.27 |
| Indigenous American * | 170 (9.9%) | 6 (9.4%) | 164 (9.9%) | 0.883 | 0.94 | 0.40–2.21 | 0.94 | 0.41–2.15 |
| White/Caucasian | 1071 (62.4%) | 23 (35.9%) | 1048 (63.5%) | <0.001 | 0.32 | 0.19–0.54 | 0.34 | 0.20–0.56 |
| Clinical data | ||||||||
| SLE duration at baseline (years) | 5.1 (1.6–10.6) | 4.1 (1.1–10.0) | 5.1 (1.6–10.6) | 0.202 | N/A | N/A | N/A | N/A |
| BILAG renal | ||||||||
| A | 10 (0.6%) | 2 (3.1%) | 8 (0.5%) | 0.051 | 6.63 | 1.38–31.85 | 5.50 | 1.55–19.46 |
| B | 142 (8.3%) | 16 (25.0%) | 126 (7.6%) | <0.001 | 4.03 | 2.23–7.31 | 3.69 | 2.15–6.33 |
| C | 383 (22.3%) | 29 (45.3%) | 354 (21.4%) | <0.001 | 3.04 | 1.83–5.04 | 2.88 | 1.79–4.65 |
| D | 98 (5.7%) | 6 (9.4%) | 92 (5.6%) | 0.198 | 1.75 | 0.74–4.17 | 1.71 | 0.76–3.86 |
| E | 1082 (63.1%) | 11 (17.2%) | 1071 (64.9%) | <0.001 | 0.11 | 0.06–0.22 | 0.12 | 0.06–0.23 |
| A–B | 152 (8.9%) | 18 (28.1%) | 134 (8.1%) | <0.001 | 4.43 | 2.50–7.86 | 4.02 | 2.40–6.76 |
| Treatment at baseline | ||||||||
| Glucocorticoids | 1405 (81.9%) | 60 (93.8%) | 1345 (81.5%) | 0.012 | 3.41 | 1.23–9.46 | 3.31 | 1.21–9.04 |
| AMA † | 1099 (64.1%) | 36 (56.3%) | 1063 (64.4%) | 0.183 | 0.71 | 0.43–1.18 | 0.72 | 0.44–1.17 |
| Immunosuppressants ‡ | 882 (51.4%) | 39 (60.9%) | 843 (51.1%) | 0.121 | 1.50 | 0.90–2.49 | 1.47 | 0.90–2.41 |
| Azathioprine | 336 (19.6%) | 15 (23.4%) | 321 (19.4%) | 0.430 | 1.27 | 0.70–2.29 | 1.26 | 0.71–2.21 |
| Methotrexate | 248 (14.5%) | 7 (10.9%) | 241 (14.6%) | 0.414 | 0.72 | 0.32–1.59 | 0.73 | 0.34–1.57 |
| Mycophenolate mofetil or sodium | 243 (14.2%) | 12 (18.8%) | 231 (14.0%) | 0.284 | 1.42 | 0.75–2.70 | 1.39 | 0.76–2.56 |
| Trial intervention | ||||||||
| Placebo | 576 (33.6%) | 26 (40.6%) | 550 (33.3%) | 0.224 | 1.37 | 0.82–2.28 | 1.35 | 0.83–2.21 |
| Belimumab | 1139 (66.4%) | 38 (59.4%) | 1101 (66.7%) | 0.224 | 0.73 | 0.44–1.21 | 0.74 | 0.45–1.20 |
| i.v. 1 mg/kg | 271 (15.8%) | 2 (3.1%) | 269 (16.3%) | 0.005 | 0.17 | 0.04–0.68 | 0.17 | 0.04–0.70 |
| i.v. 10 mg/kg | 312 (18.2%) | 10 (15.6%) | 302 (18.3%) | 0.587 | 0.82 | 0.42–1.64 | 0.83 | 0.43–1.62 |
| s.c. 200 mg | 556 (32.4%) | 26 (40.6%) | 530 (32.1%) | 0.153 | 1.45 | 0.87–2.41 | 1.43 | 0.88–2.32 |
| Serological markers at baseline | ||||||||
| C3; mg/dL | 95.0 (74.0–118.0) | 75.0 (57.3–91.5) | 96.0 (75.0–119.0) | <0.001 | N/A | N/A | N/A | N/A |
| C4; mg/dL | 15.0 (9.0–22.0) | 11.0 (7.0–16.0) | 15.0 (9.0–22.0) | <0.001 | N/A | N/A | N/A | N/A |
| anti-dsDNA; IU/mL (all patients) | 95.0 (29.0–288.0) | 256.0 (97.5–632.0) | 90.0 (29.0–275.3) | <0.001 | N/A | N/A | N/A | N/A |
| anti-dsDNA; IU/mL (patients positive at baseline) | 167.0 (89.0–497.3); n = 1172 | 279.0 (137.3–664.5); n = 56 | 163.5 (86.5–490.8); n = 1116 | 0.003 | N/A | N/A | N/A | N/A |
| B Cell Subsets | All Patients | Renal Flare | No Renal Flare | p Value |
|---|---|---|---|---|
| BLISS-76 | ||||
| n = 819 | n = 9 | n = 810 | ||
| CD19+CD20+ (×103/mL) | 91.5 (43.0–176.0); n = 756 | 95.5 (25.0–123.5); n = 8 | 91.0 (43.3–178.0); n = 748 | 0.386 |
| CD19+CD20+CD27+ (×103/mL) | 14.0 (6.0–27.0); n = 756 | 13.5 (3.3–23.3); n = 8 | 14.0 (6.0–27.0); n = 748 | 0.456 |
| CD19+CD20+CD69+ (/mL) | 2096.5 (938.3–4350.8); n = 744 | 2769.5 (708.3–9099.3); n = 8 | 2096.5 (938.3–4327.0); n = 736 | 0.531 |
| CD19+CD20+CD27- (×103/mL) | 75.0 (33.0–143.0); n = 756 | 77.5 (20.0–103.0); n = 8 | 75.0 (33.3–143.0); n = 748 | 0.479 |
| CD19+CD20+CD138+ (/mL) | 819.0 (334.0–1811.5); n = 749 | 1127.0 (137.3–2752.5); n = 8 | 806.0 (335.–1807.5); n = 741 | 0.974 |
| CD19+CD20-CD138+ (/mL) | 482.5 (211.0–1067.3); n = 748 | 589.5 (242.3–1740.0); n = 8 | 480.5 (211.0–1058.8); n = 740 | 0.464 |
| CD19+CD20-CD27brt (/mL) | 299.0 (115.0–705.0); n = 747 | 365.0 (119.3–446.8); n = 8 | 298.0 (115.0–707.0); n = 739 | 0.838 |
| CD19+CD27brtCD38brt (/mL) | 306.0 (116.0–701.8); n = 754 | 326.5 (159.0–402.8); n = 8 | 306.0 (115.8–706.0); n = 746 | 0.804 |
| BLISS-SC | ||||
| n = 836 | n = 47 | n = 789 | ||
| CD19+CD20+ (×103/mL) | 106.0 (56.0–196.0); n = 811 | 91.0 (41.3–270.5); n = 44 | 107.0 (57.0–194.0); n = 767 | 0.680 |
| CD19+CD20+CD27+ (×103/mL) | 14.0 (7.0–29.0); n = 811 | 10.5 (5.3–28.8); n = 44 | 14.0 (7.0–29.0); n = 767 | 0.450 |
| CD19+CD20+CD69+ (/mL) | 79.0 (33.0–199.0); n = 811 | 47.5 (23.5–137.3); n = 44 | 80.0 (34.0–202.0); n = 767 | 0.041 |
| CD19+CD20+CD27- (×103/mL) | 89.0 (43.0–167.0); n = 811 | 81.0 (24.8–239.8); n = 44 | 90.0 (43.0–166.0); n = 767 | 0.819 |
| CD19+CD20+CD138+ (/mL) | 53.0 (20.0–127.0); n = 811 | 63.0 (23.3–152.8); n = 44 | 53.0 (20.0–126.0); n = 767 | 0.479 |
| CD19+CD20-CD138+ (/mL) | 203.0 (67.0–505.0); n = 811 | 253.5 (46.3–698.8); n = 44 | 201.0 (68.0–501.0); n = 767 | 0.496 |
| CD19+CD20-CD27brt (/mL) | 2000.0 (1000.0–4000.0); n = 811 | 2000.0 (1000.0–7000.0); n = 44 | 2000.0 (1000.0–4000.0); n = 767 | 0.060 |
| CD19+CD27brtCD38brt (/mL) | 1732.0 (738.0–3926.0); n = 811 | 2442.0 (738.5–7416.3); n = 44 | 1714.0 (731.0–3793.0); n = 767 | 0.053 |
| BLISS Northeast Asia | ||||
| n = 60 | n = 8 | n = 52 | ||
| CD19+CD20+ (×103/mL) | 52.5 (22.8–96.8); n = 54 | 65.0 (12.0–80.0); n = 5 | 51.0 (25.5–105.0); n = 49 | 0.467 |
| CD19+CD20+CD27+ (×103/mL) | 7.3 (3.7–10.6); n = 55 | 11.0 (3.3–19.1); n = 6 | 7.3 (3.5–10.5); n = 49 | 0.703 |
| CD19+CD20+CD69+ (/mL) | 101.3 (45.9–183.0); n = 55 | 124.3 (77.0–170.2); n = 6 | 100.7 (45.6–185.4); n = 49 | 0.782 |
| CD19+CD20+CD27- (×103/mL) | 39.7 (18.6–87.5); n = 55 | 23.5 (5.6–58.2); n = 6 | 41.4 (19.8–98.4); n = 49 | 0.104 |
| CD19+CD20+CD138+ (/mL) | 108.2 (58.1–258.1); n = 55 | 167.8 (113.0–599.3); n = 6 | 86.9 (54.0–218.7); n = 49 | 0.077 |
| CD19+CD20-CD138+ (/mL) | 303.1 (174.5–668.8); n = 55 | 269.5 (49.7–467.4); n = 6 | 303.1 (176.7–698.3); n = 49 | 0.375 |
| CD19+CD20-CD27brt (/mL) | 916.5 (262.8–2008.4); n = 55 | 1122.8 (315.0–1730.9); n = 6 | 904.3 (240.7–2446.1); n = 49 | 0.969 |
| CD19+CD27brtCD38brt (/mL) | 934.9 (264.7–2095.6); n = 55 | 1161.5 (132.1–1867.2); n = 6 | 887.6 (274.6–2177.5); n = 49 | 0.969 |
Publisher’s Note: MDPI stays neutral with regard to jurisdictional claims in published maps and institutional affiliations. |
© 2022 by the authors. Licensee MDPI, Basel, Switzerland. This article is an open access article distributed under the terms and conditions of the Creative Commons Attribution (CC BY) license (https://creativecommons.org/licenses/by/4.0/).
Share and Cite
Parodis, I.; Gomez, A.; Lindblom, J.; Chow, J.W.; Sjöwall, C.; Sciascia, S.; Gatto, M. B Cell Kinetics upon Therapy Commencement for Active Extrarenal Systemic Lupus Erythematosus in Relation to Development of Renal Flares: Results from Three Phase III Clinical Trials of Belimumab. Int. J. Mol. Sci. 2022, 23, 13941. https://doi.org/10.3390/ijms232213941
Parodis I, Gomez A, Lindblom J, Chow JW, Sjöwall C, Sciascia S, Gatto M. B Cell Kinetics upon Therapy Commencement for Active Extrarenal Systemic Lupus Erythematosus in Relation to Development of Renal Flares: Results from Three Phase III Clinical Trials of Belimumab. International Journal of Molecular Sciences. 2022; 23(22):13941. https://doi.org/10.3390/ijms232213941
Chicago/Turabian StyleParodis, Ioannis, Alvaro Gomez, Julius Lindblom, Jun Weng Chow, Christopher Sjöwall, Savino Sciascia, and Mariele Gatto. 2022. "B Cell Kinetics upon Therapy Commencement for Active Extrarenal Systemic Lupus Erythematosus in Relation to Development of Renal Flares: Results from Three Phase III Clinical Trials of Belimumab" International Journal of Molecular Sciences 23, no. 22: 13941. https://doi.org/10.3390/ijms232213941
APA StyleParodis, I., Gomez, A., Lindblom, J., Chow, J. W., Sjöwall, C., Sciascia, S., & Gatto, M. (2022). B Cell Kinetics upon Therapy Commencement for Active Extrarenal Systemic Lupus Erythematosus in Relation to Development of Renal Flares: Results from Three Phase III Clinical Trials of Belimumab. International Journal of Molecular Sciences, 23(22), 13941. https://doi.org/10.3390/ijms232213941

