Molecular Structure, Vibrational Spectrum and Conformational Properties of 4-(4-Tritylphenoxy)phthalonitrile-Precursor for Synthesis of Phthalocyanines with Bulky Substituent
Abstract
1. Introduction
2. Results and Discussion
2.1. DFT Calculations
2.1.1. Conformational Analysis
2.1.2. The General Structural Motives and Electronic Characteristics of Conformers
2.2. Vibrational Spectrum
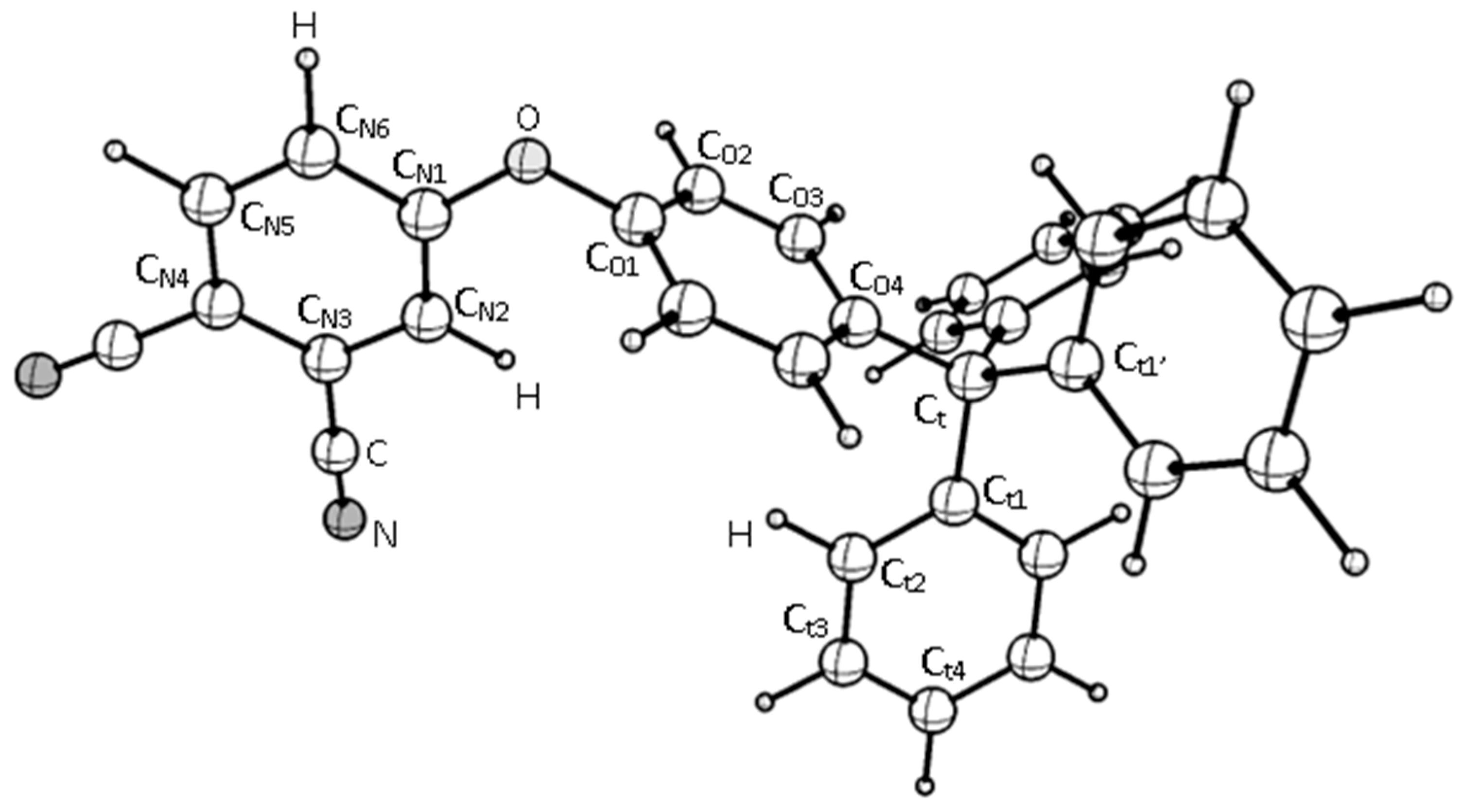
2.3. GED Structural Analysis
3. Methods and Materials
3.1. Synthesis
3.2. The Infrared Spectrum
3.3. Synchronous Gas Electron Diffraction and Mass Spectrometric Experiment
3.4. Computational Details
4. Conclusions
Supplementary Materials
Author Contributions
Funding
Data Availability Statement
Acknowledgments
Conflicts of Interest
References
- Usol’tseva, N.; Bykova, V.; Ananjeva, G.; Zharnikova, N.; Kudrik, E. Mesomorphism and Glass Formation of Phthalocyanine Metal Complexes with Bulky Substituents. Mol. Cryst. Liq. Cryst. 2004, 411, 329–336. [Google Scholar] [CrossRef]
- Zharnikova, N.; Usol’tseva, N.; Kudrik, E.; Thelakkat, M. Synthesis, mesomorphism and electrochemical properties of tetrasubstituted zinc and copper phthalocyanines. J. Mater. Chem. 2009, 19, 3161–3167. [Google Scholar] [CrossRef]
- Nakamura, H.; Sugiyama, K.; Ohta, K.; Yasutake, M. Phthalocyanine-based discotic liquid crystals switching from a molten alkyl chain type to a flying-seed-like type. J. Mater. Chem. C 2017, 5, 7297–7306. [Google Scholar] [CrossRef]
- Takagi, Y.; Ohta, K.; Shimosugi, S.; Fujii, T.; Itoh, E. Flying-seed-like liquid crystals 2: Unprecedented guidelines to obtain liquid crystalline compounds. J. Mater. Chem. 2012, 22, 14418–14425. [Google Scholar] [CrossRef]
- Solğun, D.G.; Horoz, S.; Ağirtaş, M.S. Synthesis of novel tetra (4-tritylphenoxy) substituted metallophthalocyanines and investigation of their aggregation, photovoltaic, solar cell properties. Inorg. Nano-Met. Chem. 2018, 48, 508–514. [Google Scholar] [CrossRef]
- Yazıcı, A.; Sarıçiçek, B.; Altındal, A.; Salih, B.; Bekaroğlu, Ö. Synthesis and characterization, electrical and gas sensing properties of N,N′-bis(salicylidene)-1,2-phenylendiamine substituted novel mono and ball-type metallo phthalocyanines. Inorg. Chim. Acta 2015, 428, 83–92. [Google Scholar] [CrossRef]
- Galanin, N.E.; Yakubov, L.A.; Kudrik, E.V.; Shaposhnikov, G.P. Synthesis and spectral properties of meso-phenyltetrabenzoazaporphyrins containing triphenylmethyl groups. Russ. J. Gen. Chem. 2008, 78, 1436–1440. [Google Scholar] [CrossRef]
- Ağırtaş, M.S. Highly soluble phthalocyanines with hexadeca tert-butyl substituents. Dyes Pigm. 2008, 79, 247–251. [Google Scholar] [CrossRef]
- Sommerauer, M.; Rager, C.; Hanack, M. Separation of 2(3),9(10),16(17),23(24)-Tetrasubstituted Phthalocyanines with Newly Developed HPLC Phases. J. Am. Chem. Soc. 1996, 118, 10085–10093. [Google Scholar] [CrossRef]
- Vishnevskiy, Y.V.; Zhabanov, Y.A. New implementation of the first-order perturbation theory for calculation of interatomic vibrational amplitudes and corrections in gas electron diffraction. J. Phys. Conf. Ser. 2015, 633, 012076. [Google Scholar] [CrossRef]
- Andersen, B.; Seip, H.M.; Strand, T.G.; Stolevik, R. Procedure and Computer Programs for the Structure Determination of Gaseous Molecules from Electron Diffraction Data. Acta. Chem. Scand. 1969, 23, 3224–3234. [Google Scholar] [CrossRef]
- Hamilton, W.C. Significance tests on the crystallographic R factor. Acta. Cryst. 1965, 18, 502–510. [Google Scholar] [CrossRef]
- Usol’tseva, N.V.; Bykova, V.V.; Anan’eva, G.A.; Elkin, I.A.; Kudrik, E.V.; Shaposhnikov, G.P. Search for new discotic glassy materials for use in optoelectronics. Liq. Cryst. Appl. 2001, 1, 74–83. (In Russian) [Google Scholar]
- Girichev, G.V.; Utkin, A.N.; Revichev, Y.F. Modernization of electron diffraction recorder EMR-100 for gas research. Prib. Tekh. Eksp. 1984, 27, 187–190. (In Russian) [Google Scholar]
- Girichev, G.V.; Shlykov, S.A.; Revichev, Y.F. Equipment for studying the structure of molecules of valence-unsaturated compounds. Prib. Tekh. Eksp. 1986, 4, 167. (In Russian) [Google Scholar]
- Girichev, E.G.; Zakharov, A.V.; Girichev, G.V.; Bazanov, M.I. Automation of a physicochemical experiment: Photometry and voltammetry. Izv. Vyssh. Uchebn. Zaved. Tekstil. Prom. 2000, 2, 142–146. (In Russian) [Google Scholar]
- Frisch, M.J.; Trucks, G.W.; Schlegel, H.B.; Scuseria, G.E.; Robb, M.A.; Cheeseman, J.R.; Scalmani, G.; Barone, V.; Mennucci, B.; Petersson, G.A.; et al. Gaussian 09; Revision D.02; Gaussian, Inc.: Wallingford, CT, USA, 2009. [Google Scholar]
- Becke, A.D. Density-functional thermochemistry. III. The role of exact exchange. J. Chem. Phys. 1993, 98, 5648–5653. [Google Scholar] [CrossRef]
- Becke, A.D. Density-functional exchange-energy approximation with correct asymptotic behavior. Phys. Rev. A 1988, 38, 3098–3101. [Google Scholar] [CrossRef]
- Lee, C.; Yang, W.; Parr, R.G. Development of the Colle-Salvetti correlation-energy formula into a functional of the electron density. Phys. Rev. B 1988, 37, 785–789. [Google Scholar] [CrossRef]
- Perdew, J.P.; Burke, K.; Ernzerhof, M. Generalized Gradient Approximation Made Simple. Phys. Rev. Lett. 1996, 77, 3865–3868, Erratum in Phys. Rev. Lett. 1997, 78, 1396. [Google Scholar] [CrossRef]
- Yanai, T.; Tew, D.P.; Handy, N.C. A new hybrid exchange–correlation functional using the Coulomb-attenuating method (CAM-B3LYP). Chem. Phys. Lett. 2004, 393, 51–57. [Google Scholar] [CrossRef]
- Grimme, S. Semiempirical GGA-type density functional constructed with a long-range dispersion correction. J. Comp. Chem. 2006, 27, 1787–1799. [Google Scholar] [CrossRef] [PubMed]
- Dunning, T.H., Jr. Gaussian basis sets for use in correlated molecular calculations. I. The atoms boron through neon and hydrogen. J. Chem. Phys. 1989, 90, 1007–1024. [Google Scholar] [CrossRef]












| Characteristics | Cis-Forms | Trans-Forms | ||
|---|---|---|---|---|
| I | II | III | IV | |
| ∆Etotal, kcal/mol | 0.10 | 0 | 0.34 | 0.27 |
| EHOMO, eV | −6.8 | −6.8 | −6.9 | −6.8 |
| ELUMO, eV | −2.4 | −2.4 | −2.3 | −2.3 |
| ELUMO-EHOMO, eV | 4.4 | 4.4 | 4.6 | 4.5 |
| μ, D | 8.2 | 8.1 | 10.1 | 10.0 |
| Dipole moment direction in I and III conformers | ![]() | ![]() | ||
| CO1OCN1CN2 | −4.2 | 1.4 | −176.1 | −178.0 |
| CO4CtCt1Ct2 | −2.3 | −1.4 | −6.2 | −1.1 |
| CO3CO4CtCt1 | 67.6 | −116.4 | 69.8 | −115.6 |
| CN1OCO1CO2 | 99.3 | −94.8 | 99.7 | −96.5 |
| min r(HPhN···Htrt) | 3.74 | 4.06 | 3.79 | 4.15 |
| ΔG°298, kcal/mol | 0.12 | 0.40 | 0.63 | 0.0 |
| ΔG°478, kcal/mol | 0.28 | 0.76 | 0.95 | 0.0 |
| χi, mol% T = 298 K | 30.4 | 19.2 | 13.0 | 37.4 |
| χi, mol% T = 478 K | 29.1 | 17.6 | 14.3 | 39.0 |
| S°298 cal/mol K | 197.3 | 196.2 | 196.4 | 198.2 |
| Cv298 cal/mol K | 114.3 | 114.2 | 114.3 | 114.3 |
| [4] | νexp, cm−1 | ωtheor 2, cm−1 cis | ωtheor, cm−1 trans | Distribution Energy of Normal Vibrations over Internal Coordinates |
|---|---|---|---|---|
| 3084 w 4 | 3101 | 3101 | ν(Ct-H) | |
| 3051 (C-H)Ar | 3057 m | 3073 | 3073 | ν(C-H)t, ν(C-H)PhO |
| 3028 w | 2986 | 2986 | ν(C-H)t | |
| 2231 (C≡N) | 2233 m | 2256 m | 2256 m | ν(C≡N) |
| 1593 (C=C) | 1593 s | 1595 s | 1597 s | ν(C-C)PhN, ν(C-C)PhO |
| 1566 | 1566 w | 1561 vw | 1558 m | ν(C-C)PhN, δ(CCH)PhN |
| 1505 sh | 1505 m | 1505 m | ν(C-C)PhO, δ(CCH)PhO | |
| 1487 | 1491 s | 1492 s | 1488 s | ν(C-C)PhN, δ(CCH)PhN, ν(C-O) |
| 1442 | 1442 m | 1448 w | ν(C-C)PhN, δ(CCH)PhN | |
| 1419 w | 1420 m | ν(C-C)PhN, δ(CCH)PhN | ||
| 1311 w | 1310 s | ν(C-C)PhN, ν(C-O), δ(CCC)PhN | ||
| 1288 | 1282 m | 1279 m | 1283 s | ν(C-O), ν(C-C)PhN, δ(CCH)PhN |
| 1253 (Ar-O-Ar) | 1250 s | 1243 s | 1248 s | ν(C-O), ν(C-C)PhN, ν(CN-C),δ(CCH)PhN |
| 1213 | 1213 m | 1208 m | 1211 m | ν(C-O), ν(C-C)PhN, δ(CCC)PhO,δ(CCH)t |
| 1174 | 1176 m | 1172 m | 1174 m | ν(C-O), ν(C-C), δ(CCH)PhO, δ(CCH)PhN |
| 1082 | 1086 w | 1087 w | 1092 w | ν(CN-C), δ(CCH) ν(C-O), ν(C-C)PhN, δ(CCC) |
| 1033 w | 1036 vw | ν(C-C)t | ||
| 1014 | 1014 w | 1017 w | 1017 w | ν(C-C)PhO, δ(CCC) PhO, δ(CCH) PhO |
| 956 | 954 w | 953 w | 954 w | ρ(C-H)PhO, δ(CCC) |
| 885 | 890 w | 892 w | 892 w | ρ(C-H)PhO, τ(CCCC)PhO |
| 825 | 835 m | 854 w | 853 w | ρ(CN-C), ρ(C-H)PhO, ρ(O-C), ρ(C-H)PhN |
| 750 | 752 s | 752 w | 752 w | ρ(C-H)t, ρ(C-C) t, τ(CCCC)t |
| 700 | 704 s | 709 m | 708 m | ρ(C-H)t, δ(CCC)PhN, ρ(C-C)t, τ(CCCC)PhO |
| 632 | 632 w | 632 w | 635 w | δ(CCC)C4, δ(CCC)t, ρ(CCN) |
| 522 w | 537 w | 536 w | ρ(C-C)PhN, lb(CPhNCNN) |
| Parameter 1,2 | cis-Conformer I | trans-Conformer IV | ||
|---|---|---|---|---|
| DFT | GED | DFT | GED | |
| Ct-CO4 | 1.554 | 1.542(6) 4 | 1.553 | 1.542(6) |
| CO4-CO3 | 1.402 | 1.409(3) | 1.402 | 1.409(3) |
| O-CO1 | 1.396 | 1.392(14) | 1.395 | 1.391(14) |
| C≡N | 1.152 | 1.148(7) | 1.152 | 1.148(7) |
| CN3-C | 1.429 | 1.424(3) | 1.429 | 1.425(3) |
| C t2-H | 1.078 | 1.101(6) | 1.078 | 1.102(6) |
| CO4CtCt1 | 105.1 | 103.7(2.3) 4 | 104.9 | 103.6(2.3) |
| CO3CO4Ct | 118.7 | 118.3(0.9) | 118.7 | 118.2(0.9) |
| CO2CO3CO4 | 121.9 | 121.8(0.8) | 121.9 | 121.8(0.8) |
| CN1OCO1 | 120.3 | 120.3(4.6) | 120.3 | 120.4(4.6) |
| Ct3Ct2H | 118.6 | fixed | 118.6 | fixed |
| Ct1CtCO4Ct1′ | 121.2 | 120.5(2.2) 4 | 121.1 | 120.5(2.2) |
| CO3CO4CtCt1 | −53.5 | −57.2(3.0) | −54.1 | −56.6(3.0) |
| CN1OCO1CO2 | 99.3 | 82.3(27.3) | −96.5 | −83.9(27.3) |
| Distorted tetrahedron CC4 | ||||
| C-C 3 | 1.554 | 1.543(6) | 1.554 | 1.543(6) |
| C-C-C 3 (4) | 111.6 | 111.3(2.5) | 111.7 | 111.4(2.5) |
| C-C-C 3 (2) | 105.3 | 105.8(3.3) | 105.1 | 105.6(3.3) |
| Parameters of PhN fragment | ||||
| CN2-CN3 | 1.395 | 1.402(3) | 1.389 | 1.396(3) |
| CN3-CN4 | 1.407 | 1.414(3) | 1.411 | 1.418(3) |
| CN4-CN5 | 1.400 | 1.407(3) | 1.395 | 1.402(3) |
| CN5-CN6 | 1.379 | 1.386(3) | 1.385 | 1.392(3) |
| CN1CN2CN3 | 119.8 | 119.8(0.8) | 120.3 | 120.2(0.8) |
| CN5CN6CN1 | 120.1 | 120.1(0.8) | 119.6 | 119.6(0.8) |
| Parameters of Ph fragment of trityl group | ||||
| C-C 3 | 1.391 | 1.397(3) | 1.391 | 1.397(3) |
| C-C-C 3 | 120.0 | 120.0(1.2) | 120.0 | 120.0(1.2) |
| Ion | M/E | Relative Abundance, % |
|---|---|---|
| [M]+ = [C33H22N2O]+, parent ion | 462 | 52 |
| [M-C3H3-C2H2]+ | 397 | 41 |
| [M-C6H5]+ | 385 | 100 |
| [C(C6H5)3(C6H4)]+ | 319 | 40 |
| [M-(C6H5)2]+ | 308 | 43 |
| [C(C6H5)3]+ | 243 | 65 |
| [M-(C6H5)3]+ | 231 | 44 |
| [M-(C(C6H5)3)]+ | 219 | 40 |
| [M-(C6H5)3-CN]+ | 205 | 38 |
| [M-(C(C6H5)3)-CN]+ | 193 | 40 |
| [OC6H4CC6H5]+ | 181 | 35 |
| [C(C6H5)2]+ | 166 | 63 |
| [(C4H4)2CC3H3]+ | 155 | 42 |
Publisher’s Note: MDPI stays neutral with regard to jurisdictional claims in published maps and institutional affiliations. |
© 2022 by the authors. Licensee MDPI, Basel, Switzerland. This article is an open access article distributed under the terms and conditions of the Creative Commons Attribution (CC BY) license (https://creativecommons.org/licenses/by/4.0/).
Share and Cite
Tverdova, N.V.; Giricheva, N.I.; Maizlish, V.E.; Galanin, N.E.; Girichev, G.V. Molecular Structure, Vibrational Spectrum and Conformational Properties of 4-(4-Tritylphenoxy)phthalonitrile-Precursor for Synthesis of Phthalocyanines with Bulky Substituent. Int. J. Mol. Sci. 2022, 23, 13922. https://doi.org/10.3390/ijms232213922
Tverdova NV, Giricheva NI, Maizlish VE, Galanin NE, Girichev GV. Molecular Structure, Vibrational Spectrum and Conformational Properties of 4-(4-Tritylphenoxy)phthalonitrile-Precursor for Synthesis of Phthalocyanines with Bulky Substituent. International Journal of Molecular Sciences. 2022; 23(22):13922. https://doi.org/10.3390/ijms232213922
Chicago/Turabian StyleTverdova, Natalia V., Nina I. Giricheva, Vladimir E. Maizlish, Nikolay E. Galanin, and Georgiy V. Girichev. 2022. "Molecular Structure, Vibrational Spectrum and Conformational Properties of 4-(4-Tritylphenoxy)phthalonitrile-Precursor for Synthesis of Phthalocyanines with Bulky Substituent" International Journal of Molecular Sciences 23, no. 22: 13922. https://doi.org/10.3390/ijms232213922
APA StyleTverdova, N. V., Giricheva, N. I., Maizlish, V. E., Galanin, N. E., & Girichev, G. V. (2022). Molecular Structure, Vibrational Spectrum and Conformational Properties of 4-(4-Tritylphenoxy)phthalonitrile-Precursor for Synthesis of Phthalocyanines with Bulky Substituent. International Journal of Molecular Sciences, 23(22), 13922. https://doi.org/10.3390/ijms232213922


