Changes in Ovulation-Related Gene Expression during Induced Ovulation in the Amur Sturgeon (Acipenser schrenckii) Ovarian Follicles
Abstract
1. Introduction
2. Results
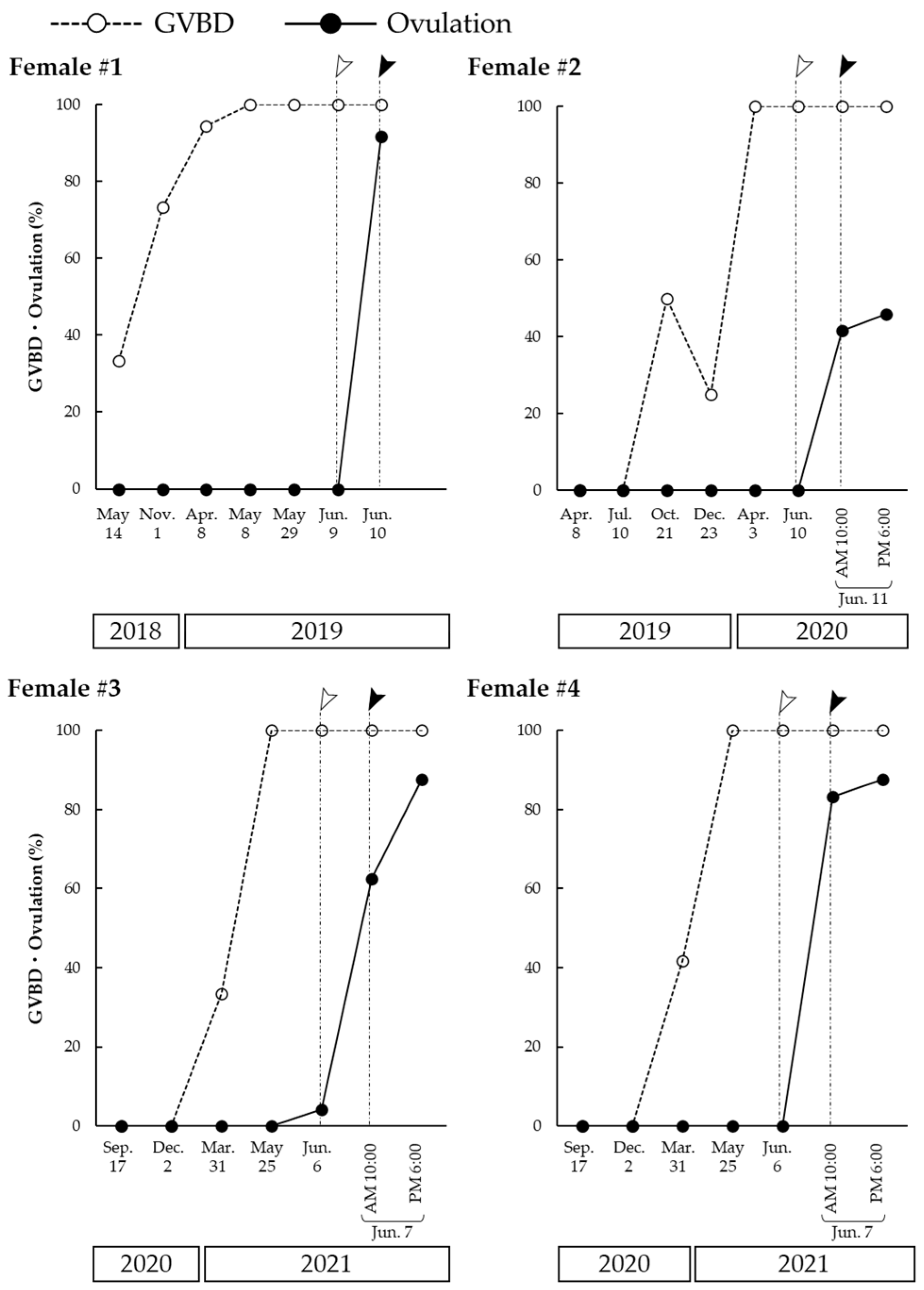
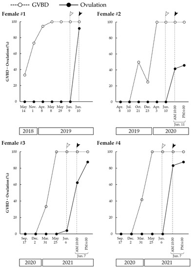
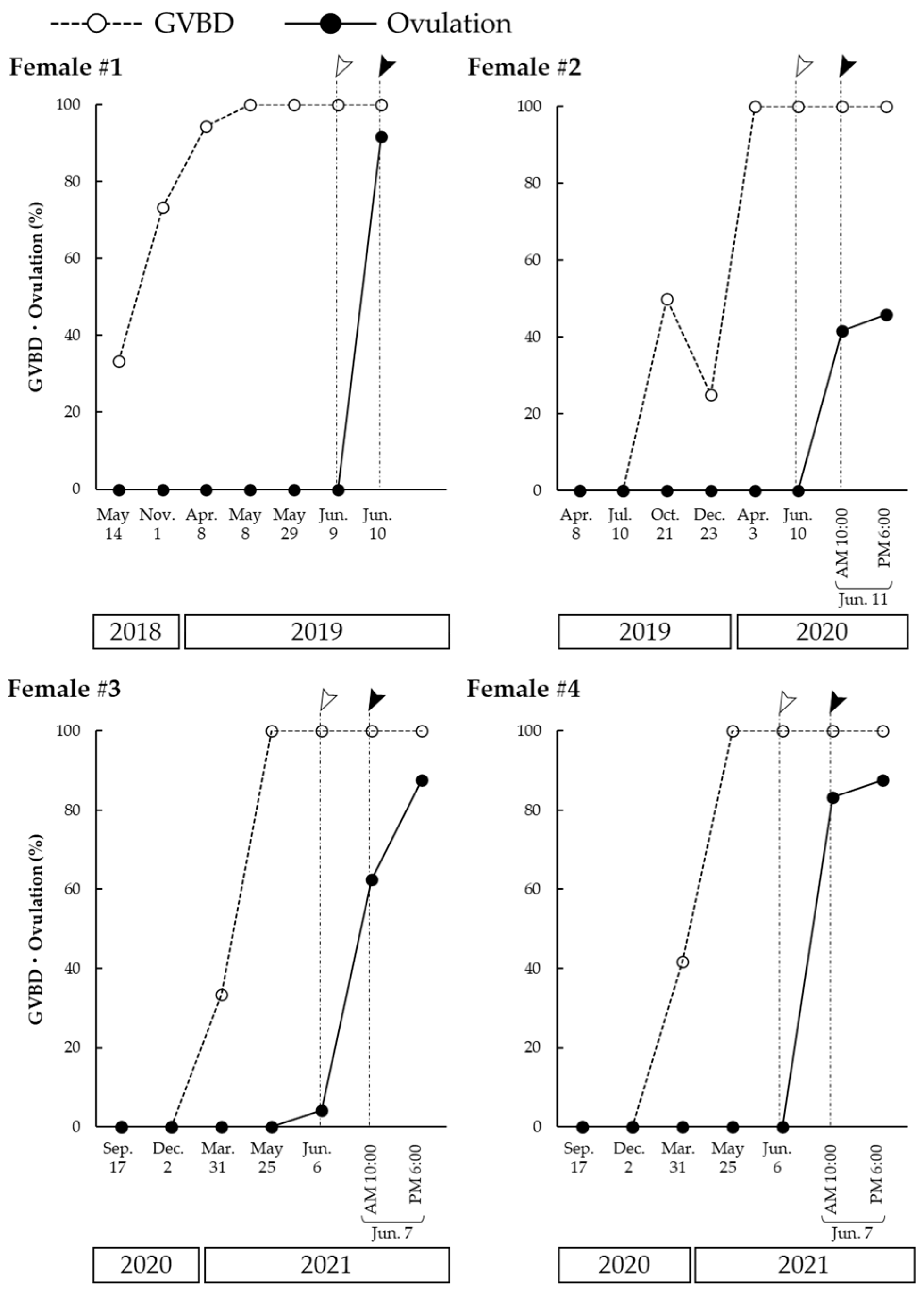
2.1. Seasonal Changes of OMC and Ovulatory Competence in Ovarian Follicles
2.2. Seasonal Changes of Ovulation-Related Gene mRNA Expression in Ovarian Follicles
2.3. PI in Oocytes of Anovulated and Ovulated Fish
2.4. Expression Changes of Ovulation-Related Genes in Anovulated and Ovulated Fish
3. Discussion
4. Materials and Methods
4.1. Experimental Fish and Sample Collection
4.2. In Vitro Culture of Ovarian Follicles
4.3. Calculation of Polarization Index (PI)
4.4. RNA Extraction and Quantitative PCR (qPCR)
4.5. Statistical Analysis
Supplementary Materials
Author Contributions
Funding
Institutional Review Board Statement
Informed Consent Statement
Data Availability Statement
Acknowledgments
Conflicts of Interest
References
- Nagahama, Y.; Adachi, S. Identification of maturation-inducing steroid in a teleost, the amago salmon (Oncorhynchus rhodurus). Dev. Biol. 1985, 109, 428–435. [Google Scholar] [CrossRef]
- Trant, J.M.; Thomas, P.; Shackeleton, C.H.L. Identification of 17α,20β,21-trihydroxy-4-pregnen-3-one as the major ovarian steroid produced by the teleost Micropogonias undulatus during final oocyte maturation. Steroids 1986, 47, 89–99. [Google Scholar] [CrossRef]
- Patiño, R.; Thomas, P. Effects of gonadotropin on ovarian intrafollicular processes during the development of oocyte maturational competence in a teleost, the Atlantic croaker: Evidence for two distinct stages of gonadotropic control of final oocyte maturation. Biol. Reprod. 1990, 43, 818–827. [Google Scholar] [CrossRef]
- Kobayashi, M.; Aida, K.; Furukawa, K.; Law, Y.K.; Moriwaki, T.; Hanyu, I. Development of sensitivity to maturation-inducing steroids in the oocytes of the daily spawning teleost, the kisu Sillago japonica. Gen. Comp. Endocrinol. 1988, 72, 264–271. [Google Scholar] [CrossRef]
- Zhu, Y.; Kobayashi, M.; Furukawa, K.; Aida, K. Gonadotropin develops sensitivity to maturation-inducing steroid in the oocytes of daily spawning teleosts, tobinumeri-dragonet Repomucenus beniteguri and kisu Sillago japonica. Fish. Sci. 1994, 60, 541–545. [Google Scholar] [CrossRef]
- Pang, Y.; Ge, W. Gonadotropin and activin enhance maturational competence of oocytes in the zebrafish (Danio rerio). Biol. Reprod. 2002, 66, 259–265. [Google Scholar] [CrossRef] [PubMed]
- Kagawa, H.; Tanaka, H.; Okuzawa, K.; Kobayashi, M. GTH II but not GTH I induces final maturation and the development of maturational competence of oocytes of red seabream in vitro. Gen. Comp. Endocrinol. 1998, 112, 80–88. [Google Scholar] [CrossRef]
- Yamamoto, Y.; Yoshizaki, G.; Takeuchi, T.; Soyano, K.; Patiño, R. Role of gap junctions and protein kinase A during the development of oocyte maturational competence in Ayu (Plecoglossus altivelis). Gen. Comp. Endocrinol. 2008, 155, 789–795. [Google Scholar] [CrossRef] [PubMed]
- de Montalembert, G.; Jalabert, B.; Bry, C. Precocious induction of maturation and ovulation in northern pike (Esox lucius). Ann. Biol. Anim. Bioch. Biophys. 1978, 18, 969–975. [Google Scholar] [CrossRef]
- Jalabert, B.; Breton, B.; Fostier, A.; Reinaud, P.; Heydorff, M. Precocious induction of oocyte maturation and ovulation in rainbow trout (Salmo gairdneri): Problems when using 17 α-hydroxy-20 β-dihydroprogesterone. Ann. Biol. Anim. Bioch. Biophys. 1978, 18, 977–984. [Google Scholar] [CrossRef]
- Tokmakov, A.A.; Matsumoto, Y.; Isobe, T.; Sato, K.I. In vitro reconstruction of Xenopus oocyte ovulation. Int. J. Mol. Sci. 2019, 20, 4766. [Google Scholar] [CrossRef] [PubMed]
- Patiño, R.; Thomas, P.; Yoshizaki, G. Ovarian follicle maturation and ovulation: An integrated perspective. Fish Physiol. Biochem. 2003, 28, 305–308. [Google Scholar] [CrossRef]
- Ishihara, M.; Abe, T.; Kazeto, Y.; Ijiri, S.; Adachi, S. Effects of gonadotropic hormone on the acquisition of ovulatory competence in Japanese eel Anguilla japonica and bester sturgeon (Huso huso × Acipenser ruthenus). In Proceedings of the 9th International Symposium on Reproductive physiology of Fish, Cochin, India, 9–14 August 2011. [Google Scholar]
- Schochet, S.S. A suggestion as to the process of ovulation and ovarian cyst formation. Anat. Rec. 1916, 10, 447–457. [Google Scholar] [CrossRef]
- Beers, W.H. Follicular plasminogen and plasminogen activator and the effect of plasmin on ovarian follicle wall. Cell 1975, 6, 379–386. [Google Scholar] [CrossRef]
- Ogiwara, K.; Minagawa, K.; Takano, N.; Kageyama, T.; Takahashi, T. Apparent involvement of plasmin in early-stage follicle rupture during ovulation in medaka. Biol. Reprod. 2012, 86, 113. [Google Scholar] [CrossRef]
- Ogiwara, K.; Hagiwara, A.; Rajapakse, S.; Takahashi, T. The role of urokinase plasminogen activator and plasminogen activator inhibitor-1 in follicle rupture during ovulation in the teleost medaka. Biol. Reprod. 2015, 92, 10. [Google Scholar] [CrossRef]
- Ogiwara, K.; Takano, N.; Shinohara, M.; Murakami, M.; Takahashi, T. Gelatinase A and membrane-type matrix metalloproteinases 1 and 2 are responsible for follicle rupture during ovulation in the medaka. Proc. Natl. Acad. Sci. USA 2005, 102, 8442–8447. [Google Scholar] [CrossRef]
- Takahashi, T.; Hagiwara, A.; Ogiwara, K. Follicle rupture during ovulation with an emphasis on recent progress in fish models. Reproduction 2019, 157, R1–R13. [Google Scholar] [CrossRef]
- Takahashi, T.; Hagiwara, A.; Ogiwara, K. Prostaglandins in teleost ovulation: A review of the roles with a view to comparison with prostaglandins in mammalian ovulation. Mol. Cell. Endocrinol. 2018, 461, 236–247. [Google Scholar] [CrossRef]
- Ghosh, S.; Biswas, S.; Maitra, S. Molecular determinants regulating the release of the egg during ovulation: Perspectives in piscine models. Aquac. Fish. 2022, 7, 583–594. [Google Scholar] [CrossRef]
- Von Euler, U.S. An adrenaline-like action in extracts from the prostatic and related glands. J. Physiol. 1934, 81, 102–112. [Google Scholar] [CrossRef] [PubMed]
- Von Euler, U.S. On the specific vaso-dilating and plain muscle stimulating substances from accessory genital glands in man and certain animals (prostaglandin and vesiglandin). J. Physiol. 1936, 88, 213–234. [Google Scholar] [CrossRef] [PubMed]
- Jalabert, B.; Szöllösi, D. In vitro ovulation of trout oocytes: Effect of prostaglandins on smooth muscle-like cells of the theca. Prostaglandins 1975, 9, 765–778. [Google Scholar] [CrossRef]
- Fujimori, C.; Ogiwara, K.; Hagiwara, A.; Rajapakse, S.; Kimura, A.; Takahashi, T. Expression of cyclooxygenase-2 and prostaglandin receptor EP4b mRNA in the ovary of the medaka fish, Oryzias latipes: Possible involvement in ovulation. Mol. Cell. Endocrinol. 2011, 332, 67–77. [Google Scholar] [CrossRef] [PubMed]
- Doroshov, S.I.; Lutes, P.B. Preliminary data on the induction of ovulation in white sturgeon (Acipenser transmontanus Richardson). Aquaculture 1984, 38, 221–227. [Google Scholar] [CrossRef]
- Smith, T.I.J.; Dingley, E.K.; Lindsey, R.D.; Van Sant, S.B.; Smiley, R.A.; Stokes, A.D. Spawning and culture of shortnose sturgeon, Acipenser brevirostrum. J. World Maricult. 1985, 16, 104–113. [Google Scholar] [CrossRef]
- Fujii, K.; Hirose, K.; Hara, A.; Shiraishi, M.; Maruyama, T. Use of vitellogenin level as a maturational indicator for artificial spawning of cultured hybrid sturgeon, Huso huso × Acipenser ruthenus. In Acipenser; CEMAGREF Publication: Bordeaux, France, 1991; pp. 381–388. [Google Scholar]
- Omoto, N.; Maebayashi, M.; Adachi, S.; Arai, K.; Yamauchi, K. The influence of oocyte maturational stage on hatching and triploidy rates in hybrid (bester) sturgeon, Huso huso × Acipenser ruthenus. Aquaculture 2005, 245, 287–294. [Google Scholar] [CrossRef]
- Dettlaff, T.A.; Ginsburg, A.S.; Schmalhausen, O.I. Developmental biology and aquaculture. In Sturgeon Fishes; Springer: Berlin/Heidelberg, Germany, 1993; p. 300. [Google Scholar]
- Webb, M.A.H.; Feist, G.W.; Trant, J.M.; Van Eenennaam, J.P.; Fitzpatrick, M.S.; Schreck, C.B.; Doroshov, S.I. Ovarian steroidogenesis in white sturgeon (Acipenser transmontanus) during oocyte maturation and induced ovulation. Gen. Comp. Endocrinol. 2002, 129, 27–38. [Google Scholar] [CrossRef]
- Ishihara, M.; Tokui, B.; Abe, T.; Ijiri, S.; Adachi, S. Seasonal changes in oocyte maturational competence, ovulatory competence and gonadotropin sensitivity of ovarian follicles in hybrid sturgeon, bester (Huso huso × Acipenser ruthenus). J. Appl. Ichthyol. 2014, 30, 1141–1148. [Google Scholar] [CrossRef]
- Amiri, B.M.; Maebayashi, M.; Omoto, N.; Adachi, S.; Yamauchi, K. In vitro oocyte maturation in a hybrid sturgeon, Bester: Changes in the germinal vesicle breakdown and 17α,20β-dihydroxy-4-pregnen-3-one production. J. Agric. Sci. Technol. 2001, 3, 199–207. [Google Scholar] [CrossRef]
- Kobayashi, M.; Aida, K.; Sakai, H.; Kaneko, T.; Asahina, K.; Hanyu, I.; Ishii, S. Radioimmunoassay for salmon gonadotropin. Nippon Suisan Gakkaishi 1987, 53, 995–1003. [Google Scholar] [CrossRef][Green Version]
- Santos, A.J.G.; Furukawa, K.; Kobayashi, M.; Bando, K.; Aida, K.; Hanyu, I. Plasma gonadotropin and steroid hormone profiles during ovulation in the carp Cyprinus carpio. Nippon Suisan Gakkaishi 1986, 52, 1159–1166. [Google Scholar] [CrossRef][Green Version]
- Santos, A.J.G.; Furukawa, K.; Bando, K.; Aida, K.; Hanyu, I. Photoperiodic determination of preovulatory gonadotropin surge onset time in the carp Cyprinus carpio. Nippon Suisan Gakkaishi 1986, 52, 1167–1172. [Google Scholar] [CrossRef]
- Kobayashi, M.; Aida, K.; Hanyu, I. Hormone changes during the ovulatory cycle in goldfish. Gen. Comp. Endocrinol. 1988, 69, 301–307. [Google Scholar] [CrossRef]
- Yamauchi, K. Studies of gonadal steroids involved in final gonadal maturation in the Japanese eel, Anguilla japonica, a review. Int. Rev. Hydrobiol. 1990, 75, 859–860. [Google Scholar] [CrossRef]
- Zohar, Y.; Mylonas, C.C. Endocrine manipulations of spawning in cultured fish: From hormones to genes. In Reproductive Biotechnology in Finfish Aquaculture; Elsevier: Amsterdam, The Netherlands, 2001; pp. 99–136. [Google Scholar]
- Webb, M.A.H.; Van Eenennaam, J.P.; Doroshov, S.I. Effects of steroid hormones on in vitro oocyte maturation in white sturgeon (Acipenser transmontanus). Fish Physiol. Biochem. 2000, 23, 317–325. [Google Scholar] [CrossRef]
- Hasegawa, Y.; Ijiri, S.; Surugaya, R.; Sakai, R.; Adachi, S. 17β-hydroxysteroid dehydrogenase type 12 is associated with maturation-inducing steroid synthesis during induced oocyte maturation and ovulation in sturgeons. Aquaculture 2022, 546, 15. [Google Scholar] [CrossRef]
- Zhu, G.; Kang, L.; Wei, Q.; Cui, X.; Wang, S.; Chen, Y.; Jiang, Y. Expression and regulation of MMP1, MMP3, and MMP9 in the chicken ovary in response to gonadotropins, sex hormones, and TGFB1. Biol Reprod. 2014, 90, 57. [Google Scholar] [CrossRef]
- Liu, D.T.; Carter, N.J.; Wu, X.J.; Hong, W.S.; Chen, S.X.; Zhu, Y. Progestin and nuclear progestin receptor are essential for upregulation of metalloproteinase in zebrafish preovulatory follicles. Front. Endocrinol. 2018, 9, 517. [Google Scholar] [CrossRef]
- Matsubara, S.; Shiraishi, A.; Osugi, T.; Kawada, T.; Satake, H. The regulation of oocyte maturation and ovulation in the closest sister group of vertebrates. eLife 2019, 8, e49062. [Google Scholar] [CrossRef]
- Hägglund, A.C.; Ny, A.; Leonardsson, G.; Ny, T. Regulation and localization of matrix metalloproteinases and tissue inhibitors of metalloproteinases in the mouse ovary during gonadotropin-induced ovulation. Endocrinology 1999, 140, 4351–4358. [Google Scholar] [CrossRef] [PubMed]
- Ogiwara, K.; Takahashi, T. Involvement of the nuclear progestin receptor in LH-induced expression of membrane type 2-matrix metalloproteinase required for follicle rupture during ovulation in the medaka, Oryzias latipes. Mol. Cell. Endocrinol. 2017, 450, 54–63. [Google Scholar] [CrossRef] [PubMed]
- Zhu, Y. Metalloproteases in gonad formation and ovulation. Gen. Comp. Endocrinol. 2021, 314, 113924. [Google Scholar] [CrossRef] [PubMed]
- Sriraman, V.; Eichenlaub-Ritter, U.; Bartsch, J.W.; Rittger, A.; Mulders, S.M.; Richards, J.S. Regulated expression of ADAM8 (a disintegrin and metalloprotease domain 8) in the mouse ovary: Evidence for a regulatory role of luteinizing hormone, progesterone receptor, and epidermal growth factor-like growth factors. Biol. Reprod. 2008, 78, 1038–1048. [Google Scholar] [CrossRef] [PubMed]
- Lutes, P.B.; Doroshov, S.I.; Chapman, F.; Harrah, J.; Fitzgerald, R.; Fitzpatrick, M. Morpho-physiological predictors of ovulatory success in white sturgeon, Acipenser transmontanus Richardson. Aquaculture 1987, 66, 43–52. [Google Scholar] [CrossRef]
- Chapman, F.A.; Van Eenennaam, J.P. Sturgeon aquaculture—Specialized techniques determining the stage of sexual maturity in female sturgeon for artificial spawning the egg polarization index or PI. EDIS 2008, 3, 4351–4358. [Google Scholar] [CrossRef]
- Adachi, S. Artificial control of maturation and spawning, and egg quality. In Mechanism of Gematogenesis in Fish; Matsuyama, M., Adachi, S., Kobayashi, M., Eds.; Kaiyo Monthly: Tokyo, Japan, 2000; Volume 32, pp. 120–126. [Google Scholar]
- Lee, Y.; Kim, K.H.; Yoon, H.; Lee, O.H.; Kim, E.; Park, M.; Jang, H.; Hong, K.; Song, H.; Ko, J.J.; et al. RASD1 knockdown results in failure of oocyte maturation. Cell Physiol. Biochem. 2016, 40, 1289–1302. [Google Scholar] [CrossRef]
- Quan, T.; Qin, Z.; Voorhees, J.J.; Fisher, G.J. Cysteine-rich protein 61 (CCN1) mediates replicative senescence-associated aberrant collagen homeostasis in human skin fibroblasts. J. Cell. Biochem. 2012, 113, 3011–3018. [Google Scholar] [CrossRef]
- Nallasamy, S.; Kim, J.; Sitruk-Ware, R.; Bagchi, M.; Bagchi, I. Ulipristal blocks ovulation by inhibiting progesterone receptor-dependent pathways intrinsic to the ovary. Reprod. Sci. 2013, 20, 371–381. [Google Scholar] [CrossRef]
- Beers, W.H.; Stickland, S.; Reich, E. Ovarian plasminogen activator: Relationship to ovulation and hormonal regulation. Cell. 1975, 6, 387–394. [Google Scholar] [CrossRef]
- Sankai, T.; Watanabe, Y.; Kanayama, K.; Endo, T.; Sakuma, Y. An inhibitory effect of tranexamic acid on ovulation in hamster ovaries incubated in vitro. J. Mamm. Ova. Res. 1987, 4, 98–104. [Google Scholar]
- Glister, C.; Satchell, L.; Knight, P.G. Changes in expression of bone morphogenetic proteins (BMPs), their receptors and inhibin co-receptor betaglycan during bovine antral follicle development: Inhibin can antagonize the suppressive effect of BMPs on thecal androgen production. Reproduction 2010, 140, 699–712. [Google Scholar] [CrossRef] [PubMed]
- da Silveira, J.C.; Carnevale, E.M.; Winger, Q.A.; Bouma, G.J. Regulation of ACVR1 and ID2 by cell-secreted exosomes during follicle maturation in the mare. Reprod. Biol. Endocrinol. 2014, 12, 44. [Google Scholar] [CrossRef] [PubMed]
- Yoshino, O.; McMahon, H.E.; Sharma, S.; Shimasaki, S. A unique preovulatory expression pattern plays a key role in the physiological functions of BMP-15 in the mouse. Proc. Natl. Acad. Sci. USA 2006, 103, 10678–10683. [Google Scholar] [CrossRef] [PubMed]
- Liu, P.P.; Chang, H.M.; Cheng, J.C.; Leung, P.C.K. Activin A upregulates PTGS2 expression and increases PGE2 production in human granulosa-lutein cells. Reproduction 2016, 152, 655–664. [Google Scholar] [CrossRef] [PubMed]
- Tang, H.; Liu, Y.; Li, J.; Yin, Y.; Li, G.; Chen, Y.; Li, S.; Zhang, Y.; Lin, H.; Liu, X.; et al. Gene knockout of nuclear progesterone receptor provides insights into the regulation of ovulation by LH signaling in zebrafish. Sci. Rep. 2016, 6, 28545. [Google Scholar] [CrossRef]
- Tang, H.; Liu, Y.; Li, J.; Li, G.; Chen, Y.; Yin, Y.; Guo, Y.; Cheng, C.H.; Liu, X.; Lin, H. LH signaling induced ptgs2a expression is required for ovulation in zebrafish. Mol. Cell. Endocrinol. 2017, 447, 125–133. [Google Scholar] [CrossRef]
- Duffy, D.M.; Stouffer, R.L. The ovulatory gonadotrophin surge stimulates cyclooxygenase expression and prostaglandin production by the monkey follicle. Mol. Hum. Reprod. 2001, 7, 731–739. [Google Scholar] [CrossRef]
- Sena, J.; Liu, Z. Expression of cyclooxygenase genes and production of prostaglandins during ovulation in the ovarian follicles of Xenopus laevis. Gen. Comp. Endocrinol. 2008, 157, 165–173. [Google Scholar] [CrossRef]
- Crespo, D.; Goetz, F.; Planas, J. Luteinizing hormone induces ovulation via tumor necrosis factor α-dependent increases in prostaglandin F2α in a nonmammalian vertebrate. Sci. Rep. 2015, 5, 14210. [Google Scholar] [CrossRef]
- Choi, Y.; Wilson, K.; Hannon, P.R.; Rosewell, K.L.; Brännström, M.; Akin, J.W.; Curry, T.E., Jr.; Jo, M. Coordinated Regulation Among Progesterone, Prostaglandins, and EGF-Like Factors in Human Ovulatory Follicles. J. Clin. Endocrinol. Metab. 2017, 102, 1971–1982. [Google Scholar] [CrossRef] [PubMed]
- Park, C.J.; Lin, P.C.; Zhou, S.; Barakat, R.; Bashir, S.T.; Choi, J.M.; Cacioppo, J.A.; Oakley, O.R.; Duffy, D.M.; Lydon, J.P.; et al. Progesterone receptor serves the ovary as a trigger of ovulation and a terminator of inflammation. Cell. Rep. 2020, 31, 107496. [Google Scholar] [CrossRef] [PubMed]
- Mikamo, K. Mechanism of non-disjunction of meiotic chromosomes and of degeneration of maturation spindles in eggs affected by intrafollicular overripeness. Experientia 1968, 24, 75–78. [Google Scholar] [CrossRef]
- Kagabu, S. Follicular response of adult rats to PMSG and effect of sodium pentobarbital on number of ova shed in superovulation treated rats. Jpn. J. Anim. Reprod. 1983, 29, 20–23. [Google Scholar] [CrossRef]





| Sample No. | PI | Ovulation | Sampling Term *1 |
|---|---|---|---|
| #1 | 0.038 | Success | I–II *2 |
| #2 | 0.060 | Success | I–III *2 |
| #3 | 0.025 | Success | I–III *2 |
| #4 | 0.049 | Success | I–III *2 |
| #5 | 0.053 | Success | I–III |
| #6 | 0.063 | Success | I–III |
| #7 | 0.040 | Success | I–III |
| #8 | 0.056 | Success | I–III |
| #9 | 0.039 | Success | I–III |
| #10 | 0.047 | Success | I–II |
| #11 | 0.135 | Failure | I–III |
| #12 | 0.110 | Failure | I–III |
| #13 | 0.134 | Failure | I–III |
| #14 | 0.138 | Failure | I–II |
| #15 | 0.126 | Failure | I–II |
| #16 | 0.137 | Failure | I–II |
| #17 | 0.110 | Failure | I–II |
| #18 | 0.131 | Failure | I–II |
| #19 | 0.092 | Failure | I–III |
| #20 | 0.069 | Failure | I–III |
| #21 | 0.059 | Failure | I–III |
| #22 | 0.051 | Failure | I–III |
| #23 | 0.062 | Failure | I–II |
| #24 | 0.048 | Failure | I–II |
| #25 | 0.012 | Failure | I–II |
| #26 | 0.046 | Failure | I–II |
| Gene Name | Symbol | Primer Name | Primer Sequence |
|---|---|---|---|
| Potassium-transporting ATPase alpha chain 1-like | atp4a-like | atp4a-like-F | 5′-GACTGGAGACCAAGAACATCGC-3′ |
| atp4a-like-R | 5′-GATGGCGATGGGAGTCTTCTC-3′ | ||
| Activin receptor type 1 | acvr1 | acvr1-F | 5′-GTTCTGCGCCGTGTGG-3′ |
| acvr1-R | 5′-GCTGTGAATGGCTCTGTCC-3′ | ||
| Ras dexamethasone-induced protein 1 | rasd1 | rasd-F | 5′-CAAGGATGACGATGCGTATGG-3′ |
| rasd-R | 5′-CATCAAGTCACTGTGGACACTCG-3′ | ||
| Nuclear receptor subfamily 4 group A member 1 | nr4a1-like | nr4a1-like-F | 5′-GAGGACGCCAGCGACATC-3′ |
| nr4a1-like-R | 5′-GATGTTCACTGCCCACTTGC-3′ | ||
| Sushi domain-containing protein 6 | susd6 | susd6-F | 5′-GGAGTTCATAGCACCTTACCG-3′ |
| susd6-R | 5′-CAGGACAGAGCCCAGACAG-3′ | ||
| Ral guanine nucleotide dissociation stimulator | ralgds | ralgds-F | 5′-GCACAGCGATAGAGGGAGAG-3′ |
| ralgds-R | 5′-CGAACTGTCCTCATTGAACGC-3′ | ||
| Cysteine-rich angiogenic inducer 61 | cyr61 | cyr61-F | 5′-GAAAGCCAGAAGTGCATCG-3′ |
| cyr61-R | 5′-CTGGTGCATTTCTTTCCCTTC-3′ | ||
| Apolipoprotein E | apoE | apoE-F | 5′-CGAGAAGTTGGAACCCTACACC-3′ |
| apoE-R | 5′-CTTGAACTCCTCTGCCTTGCTG-3′ | ||
| Ankyrin repeat domain-containing protein 9 | ankrd9 | ankrd9-F | 5′-GACCGGCACGACTACATG-3′ |
| ankrd9-R | 5′-AGCAACAGAACCAAACACTC-3′ | ||
| A disintegrin and metalloprotease domain 8 | adam8 | adam8-F | 5′-TGTGGAAAGATACATTGTCAGG-3′ |
| adam8-R | 5′-GACATCTCTGCTATTTTACACTGC-3′ | ||
| Low density lipoprotein receptor-related protein 1-like | lrp1-like | lrp1-like-F | 5′-TGGGTGGACGCTTACTACGAC-3′ |
| lrp1-like-R | 5′-GCCAAAGGCGTGGTTCAG-3′ | ||
| Tumor necrosis factor alpha-induced protein 8-like protein 3 | tnfaip8l3 | tnfaip8l3-F | 5′-TGAATCAGAGCGCCATG-3′ |
| tnfaip8l3-R | 5′-CGTTGAGGAGTTCGGAGAG-3′ | ||
| Cytochrome P450 family 17 subfamily A polypeptide 2 | cyp17a2 | cyp17a2-F | 5′-CAGGCTGGGGTGCAAGTATG-3′ |
| cyp17a2-R | 5′-GCAATGTCTTTCCCATCCCTG-3′ | ||
| Matrix metalloproteinase 9 | mmp9 | mmp9-F | 5′-CTTTGACACCGACAAGAAATACG-3′ |
| mmp9-R | 5′-CAATCACTGCTGTGTCTCGG-3′ | ||
| Matrix metalloproteinase 19 | mmp19 | mmp19-F | 5′-CTCAGTCCTGTCTGCGGTGC-3′ |
| mmp19-R | 5′-CTGAGCGCCTCCTCGATC-3′ | ||
| Tissue-type plasminogen activator | plat | plat-F | 5′-GAACCCAGACAACGACTCCAAG-3′ |
| plat-R | 5′-CTTGGGCAGGTCGCAGTG-3′ | ||
| Prostaglandin G/H synthase 2 | ptgs2 | ptgs2-F | 5′-AGACCCTTGACAGGCAGCA-3′ |
| ptgs2-R | 5′-GTACATCTCCCCATCAATCATCTG-3′ | ||
| Elongation factor 1 alpha | ef1a | ef1a-F | 5′-TGGCATGATCGTCACCTTTG-3′ |
| ef1a-R | 5′-GCATTTCCACAGACTTCACTTCAG-3′ |
Publisher’s Note: MDPI stays neutral with regard to jurisdictional claims in published maps and institutional affiliations. |
© 2022 by the authors. Licensee MDPI, Basel, Switzerland. This article is an open access article distributed under the terms and conditions of the Creative Commons Attribution (CC BY) license (https://creativecommons.org/licenses/by/4.0/).
Share and Cite
Surugaya, R.; Hasegawa, Y.; Adachi, S.; Ijiri, S. Changes in Ovulation-Related Gene Expression during Induced Ovulation in the Amur Sturgeon (Acipenser schrenckii) Ovarian Follicles. Int. J. Mol. Sci. 2022, 23, 13143. https://doi.org/10.3390/ijms232113143
Surugaya R, Hasegawa Y, Adachi S, Ijiri S. Changes in Ovulation-Related Gene Expression during Induced Ovulation in the Amur Sturgeon (Acipenser schrenckii) Ovarian Follicles. International Journal of Molecular Sciences. 2022; 23(21):13143. https://doi.org/10.3390/ijms232113143
Chicago/Turabian StyleSurugaya, Ryohei, Yuya Hasegawa, Shinji Adachi, and Shigeho Ijiri. 2022. "Changes in Ovulation-Related Gene Expression during Induced Ovulation in the Amur Sturgeon (Acipenser schrenckii) Ovarian Follicles" International Journal of Molecular Sciences 23, no. 21: 13143. https://doi.org/10.3390/ijms232113143
APA StyleSurugaya, R., Hasegawa, Y., Adachi, S., & Ijiri, S. (2022). Changes in Ovulation-Related Gene Expression during Induced Ovulation in the Amur Sturgeon (Acipenser schrenckii) Ovarian Follicles. International Journal of Molecular Sciences, 23(21), 13143. https://doi.org/10.3390/ijms232113143

