Response of the Urothelial Carcinoma Cell Lines to Cisplatin
Abstract
1. Introduction
2. Results
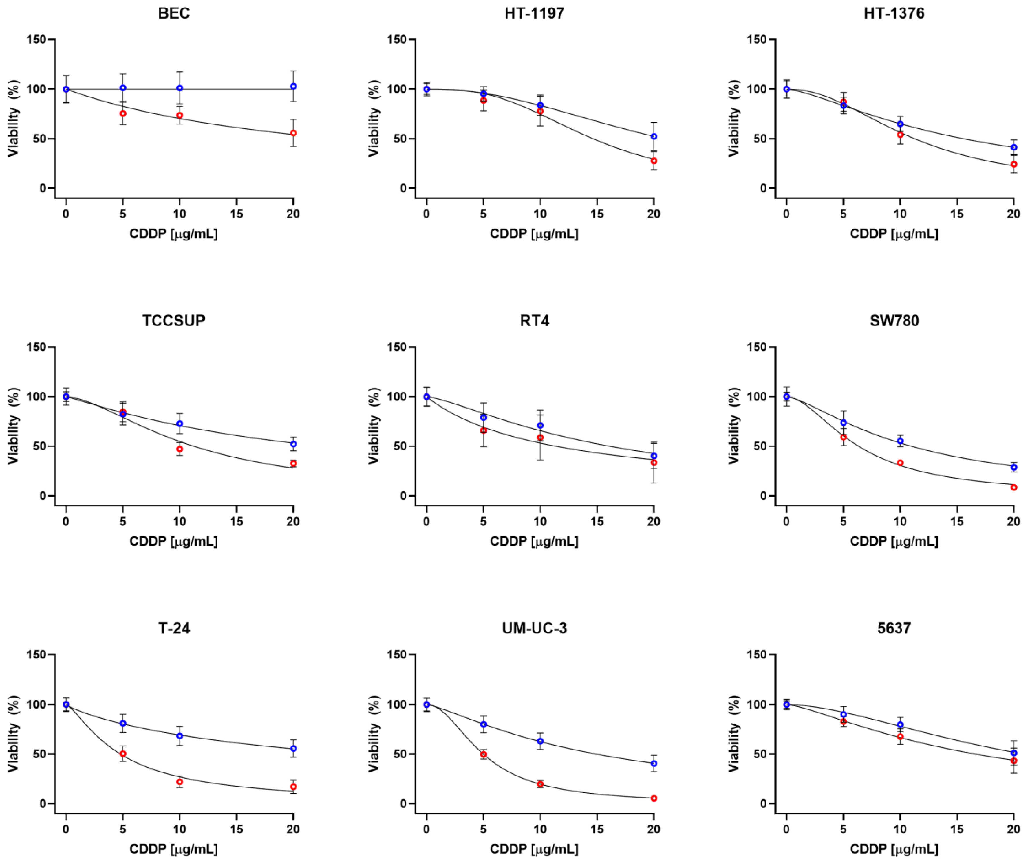
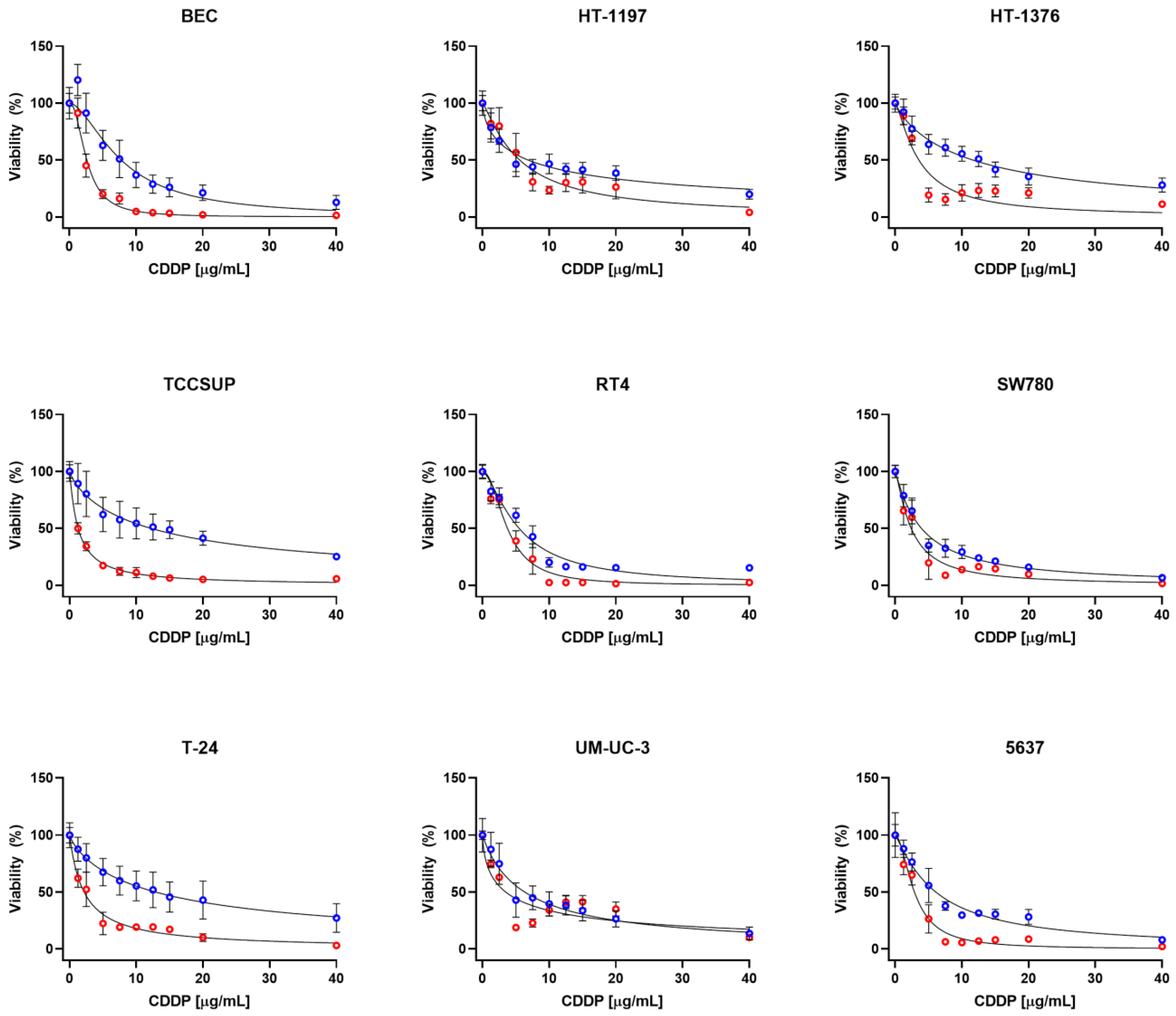
2.1. Viability of the UCC Lines after CDDP Treatment
2.2. Kinetics of DNA Damage Induction and Repair in the UCC Lines after CDDP Treatment
2.3. Relative Basal mRNA Expression of the DNA Damage Repair and Tolerance Factors
2.3.1. Relative Basal mRNA Expression of the Nucleotide Excision Repair Factors
2.3.2. Relative Basal mRNA Expression of the Homologous Recombination Factors
2.3.3. Relative Basal mRNA Expression of the Translesion Synthesis Factors
2.3.4. Correlation of Relative Basal Expression of Individual NER, HR and TLS Factors as Well as of the Cumulative Expression of the NER, HR and TLS Pathways with IC50 Values
2.3.5. Effect of CDDP on Relative mRNA Expression of the NER, HR and TLS Factors
3. Discussion
4. Materials and Methods
4.1. Cell Lines
4.2. Cell Viability Assay
4.3. Comet Assay
4.4. Quantification of Relative mRNA Expression by Real-Time Polymerase Chain Reaction (RT-qPCR)
4.5. Statistical Analysis
5. Conclusions
Supplementary Materials
Author Contributions
Funding
Data Availability Statement
Acknowledgments
Conflicts of Interest
References
- Bray, F.; Ferlay, J.; Soerjomataram, I.; Siegel, R.L.; Torre, L.A.; Jemal, A. Global cancer statistics 2018: GLOBOCAN estimates of incidence and mortality worldwide for 36 cancers in 185 countries. CA Cancer J. Clin. 2018, 68, 394–424. [Google Scholar] [CrossRef] [PubMed]
- Siegel, R.L.; Miller, K.D.; Jemal, A. Cancer statistics, 2019. CA Cancer J. Clin. 2019, 69, 7–34. [Google Scholar] [CrossRef] [PubMed]
- Burger, M.; Catto, J.W.; Dalbagni, G.; Grossman, H.B.; Herr, H.; Karakiewicz, P.; Kassouf, W.; Kiemeney, L.A.; La Vecchia, C.; Shariat, S.; et al. Epidemiology and risk factors of urothelial bladder cancer. Eur. Urol. 2013, 63, 234–241. [Google Scholar] [CrossRef] [PubMed]
- Powles, T.; Bellmunt, J.; Comperat, E.; De Santis, M.; Huddart, R.; Loriot, Y.; Necchi, A.; Valderrama, B.P.; Ravaud, A.; Shariat, S.F.; et al. Bladder cancer: ESMO Clinical Practice Guideline for diagnosis, treatment and follow-up. Ann. Oncol. 2022, 33, 244–258. [Google Scholar] [CrossRef] [PubMed]
- Gschwend, J.E.; Dahm, P.; Fair, W.R. Disease specific survival as endpoint of outcome for bladder cancer patients following radical cystectomy. Eur. Urol. 2002, 41, 440–448. [Google Scholar] [CrossRef]
- Shariat, S.F.; Karakiewicz, P.I.; Palapattu, G.S.; Lotan, Y.; Rogers, C.G.; Amiel, G.E.; Vazina, A.; Gupta, A.; Bastian, P.J.; Sagalowsky, A.I.; et al. Outcomes of radical cystectomy for transitional cell carcinoma of the bladder: A contemporary series from the Bladder Cancer Research Consortium. J. Urol. 2006, 176, 2414–2422. [Google Scholar] [CrossRef] [PubMed]
- Yin, M.; Joshi, M.; Meijer, R.P.; Glantz, M.; Holder, S.; Harvey, H.A.; Kaag, M.; Fransen van de Putte, E.E.; Horenblas, S.; Drabick, J.J. Neoadjuvant chemotherapy for muscle-invasive bladder cancer: A systematic review and two-step meta-analysis. Oncologist 2016, 21, 708–715. [Google Scholar] [CrossRef]
- Dash, A.; Galsky, M.D.; Vickers, A.J.; Serio, A.M.; Koppie, T.M.; Dalbagni, G.; Bochner, B.H. Impact of renal impairment on eligibility for adjuvant cisplatin-based chemotherapy in patients with urothelial carcinoma of the bladder. Cancer 2006, 107, 506–513. [Google Scholar] [CrossRef]
- Von der Maase, H.; Hansen, S.W.; Roberts, J.T.; Dogliotti, L.; Oliver, T.; Moore, M.J.; Bodrogi, I.; Albers, P.; Knuth, A.; Lippert, C.M.; et al. Gemcitabine and cisplatin versus methotrexate, vinblastine, doxorubicin, and cisplatin in advanced or metastatic bladder cancer: Results of a large, randomized, multinational, multicenter, phase III study. J. Clin. Oncol. 2000, 18, 3068–3077. [Google Scholar] [CrossRef]
- Galluzzi, L.; Senovilla, L.; Vitale, I.; Michels, J.; Martins, I.; Kepp, O.; Castedo, M.; Kroemer, G. Molecular mechanisms of cisplatin resistance. Oncogene 2012, 31, 1869–1883. [Google Scholar] [CrossRef]
- Gentile, F.; Tuszynski, J.A.; Barakat, K.H. New design of nucleotide excision repair (NER) inhibitors for combination cancer therapy. J. Mol. Graph. Model. 2016, 65, 71–82. [Google Scholar] [CrossRef]
- Fischer, J.M.; Popp, O.; Gebhard, D.; Veith, S.; Fischbach, A.; Beneke, S.; Leitenstorfer, A.; Bergemann, J.; Scheffner, M.; Ferrando-May, E.; et al. Poly(ADP-ribose)-mediated interplay of XPA and PARP1 leads to reciprocal regulation of protein function. FEBS J. 2014, 281, 3625–3641. [Google Scholar] [CrossRef]
- Borszéková Pulzová, L.; Ward, T.A.; Chovanec, M. XPA: DNA repair protein of significant clinical importance. Int. J. Mol. Sci. 2020, 21, 2182. [Google Scholar] [CrossRef]
- Thacker, J. The RAD51 gene family, genetic instability and cancer. Cancer Lett. 2005, 219, 125–135. [Google Scholar] [CrossRef]
- West, S.C. Molecular views of recombination proteins and their control. Nat. Rev. Mol. Cell Biol. 2003, 4, 435–445. [Google Scholar] [CrossRef]
- Dudáš, A.; Chovanec, M. DNA double-strand break repair by homologous recombination. Mut. Res. 2004, 566, 131–167. [Google Scholar] [CrossRef]
- McCulloch, S.D.; Kunkel, T.A. The fidelity of DNA synthesis by eukaryotic replicative and translesion synthesis polymerases. Cell Res. 2008, 18, 148–161. [Google Scholar] [CrossRef]
- Prakash, S.; Johnson, R.E.; Prakash, L. Eukaryotic translesion synthesis DNA polymerases: Specificity of structure and function. Annu. Rev. Biochem. 2005, 74, 317–353. [Google Scholar] [CrossRef]
- Jiang, M.; Jia, K.; Wang, L.; Li, W.; Chen, B.; Liu, Y.; Wang, H.; Zhao, S.; He, Y.; Zhou, C. Alterations of DNA damage repair in cancer: From mechanisms to applications. Ann. Transl. Med. 2020, 8, 1685. [Google Scholar] [CrossRef]
- Zafar, M.K.; Eoff, R.L. Translesion DNA synthesis in cancer: Molecular mechanisms and therapeutic opportunities. Chem. Res. Toxicol. 2017, 30, 1942–1955. [Google Scholar] [CrossRef]
- Gavande, N.S.; VanderVere-Carozza, P.S.; Hinshaw, H.D.; Jalal, S.I.; Sears, C.R.; Pawelczak, K.S.; Turchi, J.J. DNA repair targeted therapy: The past or future of cancer treatment? Pharmacol. Ther. 2016, 160, 65–83. [Google Scholar] [CrossRef]
- Kong, Y.W.; Dreaden, E.C.; Morandell, S.; Zhou, W.; Dhara, S.S.; Sriram, G.; Lam, F.C.; Patterson, J.C.; Quadir, M.; Dinh, A.; et al. Enhancing chemotherapy response through augmented synthetic lethality by co-targeting nucleotide excision repair and cell-cycle checkpoints. Nat. Commun. 2020, 11, 4124. [Google Scholar] [CrossRef]
- Hoppe, M.M.; Sundar, R.; Tan, D.S.P.; Jeyasekharan, A.D. Biomarkers for homologous recombination deficiency in cancer. J. Natl. Cancer Inst. 2018, 110, 704–713. [Google Scholar] [CrossRef]
- Criscuolo, D.; Morra, F.; Giannella, R.; Cerrato, A.; Celetti, A. Identification of novel biomarkers of homologous recombination defect in DNA repair to predict sensitivity of prostate cancer cells to PARP-inhibitors. Int. J. Mol. Sci. 2019, 20, 3100. [Google Scholar] [CrossRef]
- Stanzione, M.; Zhong, J.; Wong, E.; LaSalle, T.J.; Wise, J.F.; Simoneau, A.; Myers, D.T.; Phat, S.; Sade-Feldman, M.; Lawrence, M.S.; et al. Translesion DNA synthesis mediates acquired resistance to olaparib plus temozolomide in small cell lung cancer. Sci. Adv. 2022, 8, eabn1229. [Google Scholar] [CrossRef]
- Koskinen, M.; Calebiro, D.; Hemminki, K. Styrene oxide-induced 2’-deoxycytidine adducts: Implications for the mutagenicity of styrene oxide. Chem. Biol. Interact. 2000, 126, 201–213. [Google Scholar] [CrossRef]
- Koskinen, M.; Plná, K. Specific DNA adducts induced by some mono-substituted epoxides in vitro and in vivo. Chem. Biol. Interact. 2000, 129, 209–229. [Google Scholar] [CrossRef]
- Koskinen, M.; Vodička, P.; Hemminki, K. Adenine N3 is a main alkylation site of styrene oxide in double-stranded DNA. Chem. Biol. Interact. 2000, 124, 13–27. [Google Scholar] [CrossRef]
- Savela, K.; Hesso, A.; Hemminki, K. Characterization of reaction products between styrene oxide and deoxynucleosides and DNA. Chem. Biol. Interact. 1986, 60, 235–246. [Google Scholar] [CrossRef]
- Schrader, W.; Linscheid, M. Styrene oxide DNA adducts: In vitro reaction and sensitive detection of modified oligonucleotides using capillary zone electrophoresis interfaced to electrospray mass spectrometry. Arch. Toxicol. 1997, 71, 588–595. [Google Scholar] [CrossRef]
- Jost, P.; Svobodová, H.; Štětina, R. Induction and repair of DNA cross-links induced by sulfur mustard in the A-549 cell line followed by a comet assay. Chem. Biol. Interact. 2015, 237, 31–37. [Google Scholar] [CrossRef] [PubMed]
- Lemaire, M.A.; Schwartz, A.; Rahmouni, A.R.; Leng, M. Interstrand cross-links are preferentially formed at the d(GC) sites in the reaction between cis-diamminedichloroplatinum (II) and DNA. Proc. Natl. Acad. Sci. USA 1991, 88, 1982–1985. [Google Scholar] [CrossRef] [PubMed]
- Loehrer, P.J.; Einhorn, L.H. Drugs five years later. Cisplatin. Ann. Intern. Med. 1984, 100, 704–713. [Google Scholar] [CrossRef] [PubMed]
- Kerbel, R.S.; Pross, H.F.; Leibovitz, A. Analysis of established human carcinoma cell lines for lymphoreticular-associated membrane receptors. Int. J. Cancer 1977, 20, 673–679. [Google Scholar] [CrossRef]
- Rigby, C.C.; Franks, L.M. A human tissue culture cell line from a transitional cell tumour of the urinary bladder: Growth, chromosone pattern and ultrastructure. Br. J. Cancer 1970, 24, 746–754. [Google Scholar] [CrossRef]
- Bubenik, J.; Baresova, M.; Viklicky, V.; Jakoubkova, J.; Sainerova, H.; Donner, J. Established cell line of urinary bladder carcinoma (T24) containing tumour-specific antigen. Int. J. Cancer 1973, 11, 765–773. [Google Scholar] [CrossRef]
- Rasheed, S.; Gardner, M.B.; Rongey, R.W.; Nelson-Rees, W.A.; Arnstein, P. Human bladder carcinoma: Characterization of two new tumor cell lines and search for tumor viruses. J. Natl. Cancer Inst. 1977, 58, 881–890. [Google Scholar] [CrossRef]
- Nayak, S.K.; O’Toole, C.; Price, Z.H. A cell line from an anaplastic transitional cell carcinoma of human urinary bladder. Br. J. Cancer 1977, 35, 142–151. [Google Scholar] [CrossRef]
- Fogh, J. Cultivation, characterization, and identification of human tumor cells with emphasis on kidney, testis, and bladder tumors. Natl. Cancer Inst. Monogr. 1978, 49, 5–9. [Google Scholar]
- Grossman, H.B.; Wedemeyer, G.; Ren, L.; Wilson, G.N.; Cox, C. Improved growth of human urothelial carcinoma cell cultures. J. Urol. 1986, 136, 953–959. [Google Scholar] [CrossRef]
- Bamford, S.; Dawson, E.; Forbes, S.; Clements, J.; Pettett, R.; Dogan, A.; Flanagan, A.; Teague, J.; Futreal, P.A.; Stratton, M.R.; et al. The COSMIC (Catalogue of Somatic Mutations in Cancer) database and website. Br. J. Cancer 2004, 91, 355–358. [Google Scholar] [CrossRef]
- Earl, J.; Rico, D.; Carrillo-de-Santa-Pau, E.; Rodriguez-Santiago, B.; Mendez-Pertuz, M.; Auer, H.; Gomez, G.; Grossman, H.B.; Pisano, D.G.; Schulz, W.A. The UBC-40 urothelial bladder cancer cell line index: A genomic resource for functional studies. BMC Genom. 2015, 16, 403. [Google Scholar]
- Esrig, D.; Spruck, C.H., 3rd; Nichols, P.W.; Chaiwun, B.; Steven, K.; Groshen, S.; Chen, S.C.; Skinner, D.G.; Jones, P.A.; Cote, R.J. p53 nuclear protein accumulation correlates with mutations in the p53 gene, tumor grade, and stage in bladder cancer. Am. J. Pathol. 1993, 143, 1389–1397. [Google Scholar]
- Nakamura, Y.; Ozaki, T.; Niizuma, H.; Ohira, M.; Kamijo, T.; Nakagawara, A. Functional characterization of a new p53 mutant generated by homozygous deletion in a neuroblastoma cell line. Biochem. Biophys. Res. Commun. 2007, 354, 892–898. [Google Scholar] [CrossRef]
- Kawasaki, T.; Tomita, Y.; Watanabe, R.; Tanikawa, T.; Kumanishi, T.; Sato, S. mRNA and protein expression of p53 mutations in human bladder cancer cell lines. Cancer Lett. 1994, 82, 113–121. [Google Scholar] [CrossRef]
- Cho, Y.; Gorina, S.; Jeffrey, P.D.; Pavletich, N.P. Crystal structure of a p53 tumor suppressor-DNA complex: Understanding tumorigenic mutations. Science 1994, 265, 346–355. [Google Scholar] [CrossRef]
- Cooper, M.J.; Haluschak, J.J.; Johnson, D.; Schwartz, S.; Morrison, L.J.; Lippa, M.; Hatzivassiliou, G.; Tan, J. p53 mutations in bladder carcinoma cell lines. Oncol. Res. 1994, 6, 569–579. [Google Scholar]
- Rieger, K.M.; Little, A.F.; Swart, J.M.; Kastrinakis, W.V.; Fitzgerald, J.M.; Hess, D.T.; Libertino, J.A.; Summerhayes, I.C. Human bladder carcinoma cell lines as indicators of oncogenic change relevant to urothelial neoplastic progression. Br. J. Cancer 1995, 72, 683–690. [Google Scholar] [CrossRef]
- Barcellos-Hoff, M.H.; Marton, L.J.; Deen, D.F. Differential drug sensitivity conferred by growth status detected in a mixed population of cycling and noncycling cells. Cancer Res. 1990, 50, 3551–3555. [Google Scholar]
- Dimanche-Boitrel, M.T.; Pelletier, H.; Genne, P.; Petit, J.M.; Le, G.C.; Canal, P.; Ardiet, C.; Bastian, G.; Chauffert, B. Confluence-dependent resistance in human colon cancer cells: Role of reduced drug accumulation and low intrinsic chemosensitivity of resting cells. Int. J. Cancer 1992, 50, 677–682. [Google Scholar] [CrossRef]
- Itamochi, H.; Kigawa, J.; Akeshima, R.; Sato, S.; Kamazawa, S.; Takahashi, M.; Kanamori, Y.; Suzuki, M.; Ohwada, M.; Terakawa, N. Mechanisms of cisplatin resistance in clear cell carcinoma of the ovary. Oncology 2002, 62, 349–353. [Google Scholar] [CrossRef]
- Wang, Q.; Cui, K.; Espin-Garcia, O.; Cheng, D.; Qiu, X.; Chen, Z.; Moore, M.; Bristow, R.G.; Xu, W.; Der, S.; et al. Resistance to bleomycin in cancer cell lines is characterized by prolonged doubling time, reduced DNA damage and evasion of G2/M arrest and apoptosis. PLoS ONE 2013, 8, e82363. [Google Scholar] [CrossRef]
- Cowley, G.S.; Weir, B.A.; Vazquez, F.; Tamayo, P.; Scott, J.A.; Rusin, S.; East-Seletsky, A.; Ali, L.D.; Gerath, W.F.; Pantel, S.E.; et al. Parallel genome-scale loss of function screens in 216 cancer cell lines for the identification of context-specific genetic dependencies. Sci. Data 2014, 1, 140035. [Google Scholar] [CrossRef]
- Masters, J.R.; Hepburn, P.J.; Walker, L.; Highman, W.J.; Trejdosiewicz, L.K.; Povey, S.; Parkar, M.; Hill, B.T.; Riddle, P.R.; Franks, L.M. Tissue culture model of transitional cell carcinoma: Characterization of twenty-two human urothelial cell lines. Cancer Res. 1986, 46, 3630–3636. [Google Scholar]
- Vallo, S.; Michaelis, M.; Rothweiler, F.; Bartsch, G.; Gust, K.M.; Limbart, D.M.; Rodel, F.; Wezel, F.; Haferkamp, A.; Cinatl, J., Jr. Drug-resistant urothelial cancer cell lines display diverse sensitivity profiles to potential second-line therapeutics. Transl. Oncol. 2015, 8, 210–216. [Google Scholar] [CrossRef]
- Maker, V.K.; Elseth, K.M.; Radosevich, J.A. Reduced tumor cell transfer with contact neodymium-yttrium-aluminium garnett laser scalpels. Lasers Surg. Med. 1992, 12, 303–307. [Google Scholar] [CrossRef]
- Xylinas, E.; Hassler, M.R.; Zhuang, D.; Krzywinski, M.; Erdem, Z.; Robinson, B.D.; Elemento, O.; Clozel, T.; Shariat, S.F. An epigenomic approach to improving response to neoadjuvant cisplatin chemotherapy in bladder cancer. Biomolecules 2016, 6, 37. [Google Scholar] [CrossRef]
- Galvao, J.; Davis, B.; Tilley, M.; Normando, E.; Duchen, M.R.; Cordeiro, M.F. Unexpected low-dose toxicity of the universal solvent DMSO. FASEB J. 2014, 28, 1317–1330. [Google Scholar] [CrossRef]
- Čierna, Z.; Miškovská, V.; Roška, J.; Jurkovičová, D.; Borszéková Pulzová, L.; Šestáková, Z.; Hurbanová, L.; Macháleková, K.; Chovanec, M.; Rejleková, K.; et al. Increased levels of XPA might be the basis of cisplatin resistance in germ cell tumours. BMC Cancer 2020, 20, 17. [Google Scholar] [CrossRef]
- Feng, X.; Liu, J.; Gong, Y.; Gou, K.; Yang, H.; Yuan, Y.; Xing, C. DNA repair protein XPA is differentially expressed in colorectal cancer and predicts better prognosis. Cancer Med. 2018, 7, 2339–2349. [Google Scholar] [CrossRef]
- Prochnow, S.; Wilczak, W.; Bosch, V.; Clauditz, T.S.; Muenscher, A. ERCC1, XPF and XPA-locoregional differences and prognostic value of DNA repair protein expression in patients with head and neck squamous cell carcinoma. Clin. Oral Investig. 2019, 23, 3319–3329. [Google Scholar] [CrossRef] [PubMed]
- Sun, J.M.; Sung, J.Y.; Park, S.H.; Kwon, G.Y.; Jeong, B.C.; Seo, S.I.; Jeon, S.S.; Lee, H.M.; Jo, J.; Choi, H.Y.; et al. ERCC1 as a biomarker for bladder cancer patients likely to benefit from adjuvant chemotherapy. BMC Cancer 2012, 12, 187. [Google Scholar] [CrossRef] [PubMed]
- Song, W.; Ma, H. The expression of ERCC1 and BRCA1 predicts prognosis of platinum-based chemotherapy in urothelial cancer. Oncol. Targets Ther. 2016, 9, 3465–3471. [Google Scholar] [PubMed]
- Klatte, T.; Seitz, C.; Rink, M.; Roupret, M.; Xylinas, E.; Karakiewicz, P.; Susani, M.; Shariat, S.F. ERCC1 as a prognostic and predictive biomarker for urothelial carcinoma of the bladder following radical cystectomy. J. Urol. 2015, 194, 1456–1462. [Google Scholar] [CrossRef]
- Hemdan, T.; Segersten, U.; Malmström, P.U. 122 ERCC1-negative tumors benefit from neoadjuvant cisplatin-based chemotherapy whereas patients with ERCC1-positive tumors do not results from a cystectomy trial database. Eur. Urol. Suppl. 2014, 1, e122. [Google Scholar] [CrossRef]
- Urun, Y.; Leow, J.J.; Fay, A.P.; Albiges, L.; Choueiri, T.K.; Bellmunt, J. ERCC1 as a prognostic factor for survival in patients with advanced urothelial cancer treated with platinum based chemotherapy: A systematic review and meta-analysis. Crit. Rev. Oncol. Hematol. 2017, 120, 120–126. [Google Scholar] [CrossRef]
- Wu, G.J.; Sinclair, C.S.; Paape, J.; Ingle, J.N.; Roche, P.C.; James, C.D.; Couch, F.J. 17q23 amplifications in breast cancer involve the PAT1, RAD51C, PS6K, and SIGma1B genes. Cancer Res. 2000, 60, 5371–5375. [Google Scholar]
- Bärlund, M.; Monni, O.; Kononen, J.; Cornelison, R.; Torhorst, J.; Sauter, G.; Kallioniemi, O.-P.; Kallioniemi, A. Multiple genes at 17q23 undergo amplification and overexpression in breast cancer. Cancer Res. 2000, 60, 5340–5344. [Google Scholar]
- Nesic, K.; Kondrashova, O.; Hurley, R.M.; McGehee, C.D.; Vandenberg, C.J.; Ho, G.Y.; Lieschke, E.; Dall, G.; Bound, N.; Shield-Artin, K.; et al. Acquired RAD51C promoter methylation loss causes PARP inhibitor resistance in high-grade serous ovarian carcinoma. Cancer Res. 2021, 81, 4709–4722. [Google Scholar] [CrossRef]
- Liu, Y.; Xu, Y.; Jiang, M.; Chen, W.; Zhu, X. Significant value of XRCC2 and XRCC9 expression in the prognosis of human ovarian carcinoma. J. Cancer 2021, 12, 6254–6264. [Google Scholar] [CrossRef]
- Liu, Z.; Zhang, W.; Cheng, X.; Wang, H.; Bian, L.; Wang, J.; Han, Z.; Wang, Y.; Lian, X.; Liu, B.; et al. Overexpressed XRCC2 as an independent risk factor for poor prognosis in glioma patients. Mol. Med. 2021, 27, 52. [Google Scholar] [CrossRef]
- Xu, Y.; Chen, K.; Cai, Y.; Cheng, C.; Zhang, Z.; Xu, G. Overexpression of Rad51 predicts poor prognosis and silencing of Rad51 increases chemo-sensitivity to doxorubicin in neuroblastoma. Am. J. Transl. Res. 2019, 11, 5788–5799. [Google Scholar]
- Zhang, J.; Sun, W.; Ren, C.; Kong, X.; Yan, W.; Chen, X. A PolH Transcript with a short 3’UTR enhances PolH expression and mediates cisplatin resistance. Cancer Res. 2019, 79, 3714–3724. [Google Scholar] [CrossRef]
- Ceppi, P.; Novello, S.; Cambieri, A.; Longo, M.; Monica, V.; Lo, I.M.; Giaj-Levra, M.; Saviozzi, S.; Volante, M.; Papotti, M.; et al. Polymerase eta mRNA expression predicts survival of non-small cell lung cancer patients treated with platinum-based chemotherapy. Clin. Cancer Res. 2009, 15, 1039–1045. [Google Scholar] [CrossRef]
- Zhou, W.; Chen, Y.W.; Liu, X.; Chu, P.; Loria, S.; Wang, Y.; Yen, Y.; Chou, K.M. Expression of DNA translesion synthesis polymerase eta in head and neck squamous cell cancer predicts resistance to gemcitabine and cisplatin-based chemotherapy. PLoS ONE 2013, 8, e83978. [Google Scholar] [CrossRef]
- Teng, K.Y.; Qiu, M.Z.; Li, Z.H.; Luo, H.Y.; Zeng, Z.L.; Luo, R.Z.; Zhang, H.Z.; Wang, Z.Q.; Li, Y.H.; Xu, R.H. DNA polymerase eta protein expression predicts treatment response and survival of metastatic gastric adenocarcinoma patients treated with oxaliplatin-based chemotherapy. J. Transl. Med. 2010, 8, 126. [Google Scholar] [CrossRef]
- Yuan, F.; Xu, Z.; Yang, M.; Wei, Q.; Zhang, Y.; Yu, J.; Zhi, Y.; Liu, Y.; Chen, Z.; Yang, J. Overexpressed DNA polymerase iota regulated by JNK/c-Jun contributes to hypermutagenesis in bladder cancer. PLoS ONE 2013, 8, e69317. [Google Scholar] [CrossRef]
- Adachi, M.; Ijichi, K.; Hasegawa, Y.; Ogawa, T.; Nakamura, H.; Yasui, Y.; Fukushima, M.; Ishizaki, K. Hypersensitivity to cisplatin after hRev3 mRNA knockdown in head and neck squamous cell carcinoma cells. Mol. Med. Rep. 2008, 1, 695–698. [Google Scholar] [CrossRef][Green Version]
- Sakurai, Y.; Ichinoe, M.; Yoshida, K.; Nakazato, Y.; Saito, S.; Satoh, M.; Nakada, N.; Sanoyama, I.; Umezawa, A.; Numata, Y.; et al. Inactivation of REV7 enhances chemosensitivity and overcomes acquired chemoresistance in testicular germ cell tumors. Cancer Lett. 2020, 489, 100–110. [Google Scholar] [CrossRef]
- Ostling, O.; Johanson, K.J. Microelectrophoretic study of radiation-induced DNA damages in individual mammalian cells. Biochem. Biophys. Res. Commun. 1984, 123, 291–298. [Google Scholar] [CrossRef]
- Singh, N.P.; McCoy, M.T.; Tice, R.R.; Schneider, E.L. A simple technique for quantitation of low levels of DNA damage in individual cells. Exp. Cell Res. 1988, 175, 184–191. [Google Scholar] [CrossRef]








| UCC Line/BEC | IC50 (μg/mL CDDP) (95% CI) | |||
|---|---|---|---|---|
| 2 h Treatment with 24 h Post-Incubation | 2 h Treatment with 48 h Post-Incubation | 24 h Continuous Treatment | 48 h Continuous Treatment | |
| BEC | NA | 23.72 (20.49–27.65) | 7.78 (7.40–8.16) | 2.62 (2.44–2.80) |
| HT-1197 | 20.89 (19.64–22.52) | 14.64 (13.95–15.37) | 6.85 (6.33–7.39) | 5.58 (5.21–5.95) |
| HT-1376 | 15.57 (14.70–16.58) | 11.27 (10.75–11.82) | 11.65 (11.05–12.29) | 3.54 (3.32–3.76) |
| TCCSUP | 22.47 (20.04–26.07) | 11.26 (10.70–11.86) | 12.25 (11.26–13.36) | 1.27 (1.20–1.33) |
| 5637 | 20.86 (19.89–22.01) | 16.65 (15.78–17.66) | 6.09 (5.82–6.36) | 2.87 (2.74–3.01) |
| RT4 | 16.14 (14.57–18.24) | 11.40 (9.68–13.60) | 5.49 (5.22–5.76) | 3.74 (3.58–3.90) |
| SW780 | 10.99 (10.46–11.56) | 6.34 (6.07–6.61) | 3.93 (3.75–4.11) | 2.39 (2.24–2.54) |
| T-24 | 25.55 (22.12–31.07) | 4.79 (4.46–5.10) | 12.91 (11.96–13.99) | 2.17 (2.02–2.32) |
| UM-UC-3 | 14.94 (14.06–15.97) | 4.98 (4.82–5.14) | 6.33 (5.90–6.78) | 3.48 (2.97–4.00) |
| UCC Line | XPA | ERCC1 | XPF | XPG | RAD51 | RAD51C | XRCC2 | POLH | POLI | REV3L | |
|---|---|---|---|---|---|---|---|---|---|---|---|
| mRNA FC (min–max) | |||||||||||
| SW780 | 0 h | NS | NS | NS | NS | NS | NS | NS | NS | NS | NS |
| 4 h | NS | NS | NS | * | NS | *** | NS | NS | *** | NS | |
| 24 h | NS | * | NS | ** | NS | * | NS | ** | NS | NS | |
| 48 h | NS | NS | NS | *** | NS | ** | *** | *** | NS | NS | |
| TCCSUP | 0 h | NS | NS | NS | NS | NS | NS | NS | NS | NS | NS |
| 4 h | NS | NS | NS | NS | NS | NS | NS | NS | NS | NS | |
| 24 h | ** | NS | NS | * | ** | *** | *** | * | NS | NS | |
| 48 h | * | NS | * | * | * | *** | *** | ** | NS | NS | |
| T-24 | 0 h | NS | NS | NS | NS | NS | NS | NS | NS | NS | NS |
| 4 h | NS | NS | NS | NS | NS | NS | NS | NS | NS | NS | |
| 24 h | NS | NS | ** | NS | NS | NS | NS | NS | NS | NS | |
| 48 h | * | NS | *** | ** | NS | NS | ** | NS | ** | ** | |
| UM-UC-3 | 0 h | NS | NS | NS | NS | NS | NS | NS | NS | NS | NS |
| 4 h | NS | NS | NS | NS | NS | NS | NS | NS | * | NS | |
| 24 h | ** | NS | NS | ** | NS | NS | *** | NS | ** | * | |
| 48 h | *** | NS | *** | *** | NS | NS | ** | NS | *** | ** | |
| RT4 | 0 h | NS | NS | NS | NS | NS | NS | NS | NS | NS | NS |
| 4 h | NS | NS | NS | NS | NS | NS | NS | NS | NS | NS | |
| 24 h | NS | NS | NS | NS | NS | NS | NS | NS | NS | * | |
| 48 h | *** | NS | NS | * | NS | ** | *** | NS | *** | ** | |
| 5637 | 0 h | NS | NS | NS | NS | NS | NS | NS | NS | NS | * |
| 4 h | * | NS | NS | NS | NS | NS | NS | NS | * | NS | |
| 24 h | * | NS | NS | NS | ** | * | ** | NS | NS | ** | |
| 48 h | * | NS | NS | * | NS | ** | * | * | NS | * | |
| HT-1376 | 0 h | NS | NS | NS | NS | NS | NS | NS | NS | * | NS |
| 4 h | NS | NS | NS | NS | NS | NS | NS | NS | ** | NS | |
| 24 h | NS | NS | NS | NS | * | NS | NS | NS | NS | NS | |
| 48 h | NS | NS | NS | NS | * | NS | NS | NS | NS | NS | |
| HT-1197 | 0 h | NS | NS | NS | NS | NS | NS | NS | NS | NS | NS |
| 4 h | NS | NS | NS | NS | NS | NS | NS | NS | NS | NS | |
| 24 h | NS | NS | NS | NS | NS | NS | NS | *** | NS | * | |
| 48 h | NS | NS | ** | NS | NS | NS | NS | *** | NS | NS | |
Publisher’s Note: MDPI stays neutral with regard to jurisdictional claims in published maps and institutional affiliations. |
© 2022 by the authors. Licensee MDPI, Basel, Switzerland. This article is an open access article distributed under the terms and conditions of the Creative Commons Attribution (CC BY) license (https://creativecommons.org/licenses/by/4.0/).
Share and Cite
Holíčková, A.; Roška, J.; Órásová, E.; Bruderová, V.; Palacka, P.; Jurkovičová, D.; Chovanec, M. Response of the Urothelial Carcinoma Cell Lines to Cisplatin. Int. J. Mol. Sci. 2022, 23, 12488. https://doi.org/10.3390/ijms232012488
Holíčková A, Roška J, Órásová E, Bruderová V, Palacka P, Jurkovičová D, Chovanec M. Response of the Urothelial Carcinoma Cell Lines to Cisplatin. International Journal of Molecular Sciences. 2022; 23(20):12488. https://doi.org/10.3390/ijms232012488
Chicago/Turabian StyleHolíčková, Andrea, Jan Roška, Eveline Órásová, Vladimíra Bruderová, Patrik Palacka, Dana Jurkovičová, and Miroslav Chovanec. 2022. "Response of the Urothelial Carcinoma Cell Lines to Cisplatin" International Journal of Molecular Sciences 23, no. 20: 12488. https://doi.org/10.3390/ijms232012488
APA StyleHolíčková, A., Roška, J., Órásová, E., Bruderová, V., Palacka, P., Jurkovičová, D., & Chovanec, M. (2022). Response of the Urothelial Carcinoma Cell Lines to Cisplatin. International Journal of Molecular Sciences, 23(20), 12488. https://doi.org/10.3390/ijms232012488

