Repurposing Alone and in Combination of the Antiviral Saquinavir with 5-Fluorouracil in Prostate and Lung Cancer Cells
Abstract
1. Introduction
2. Results
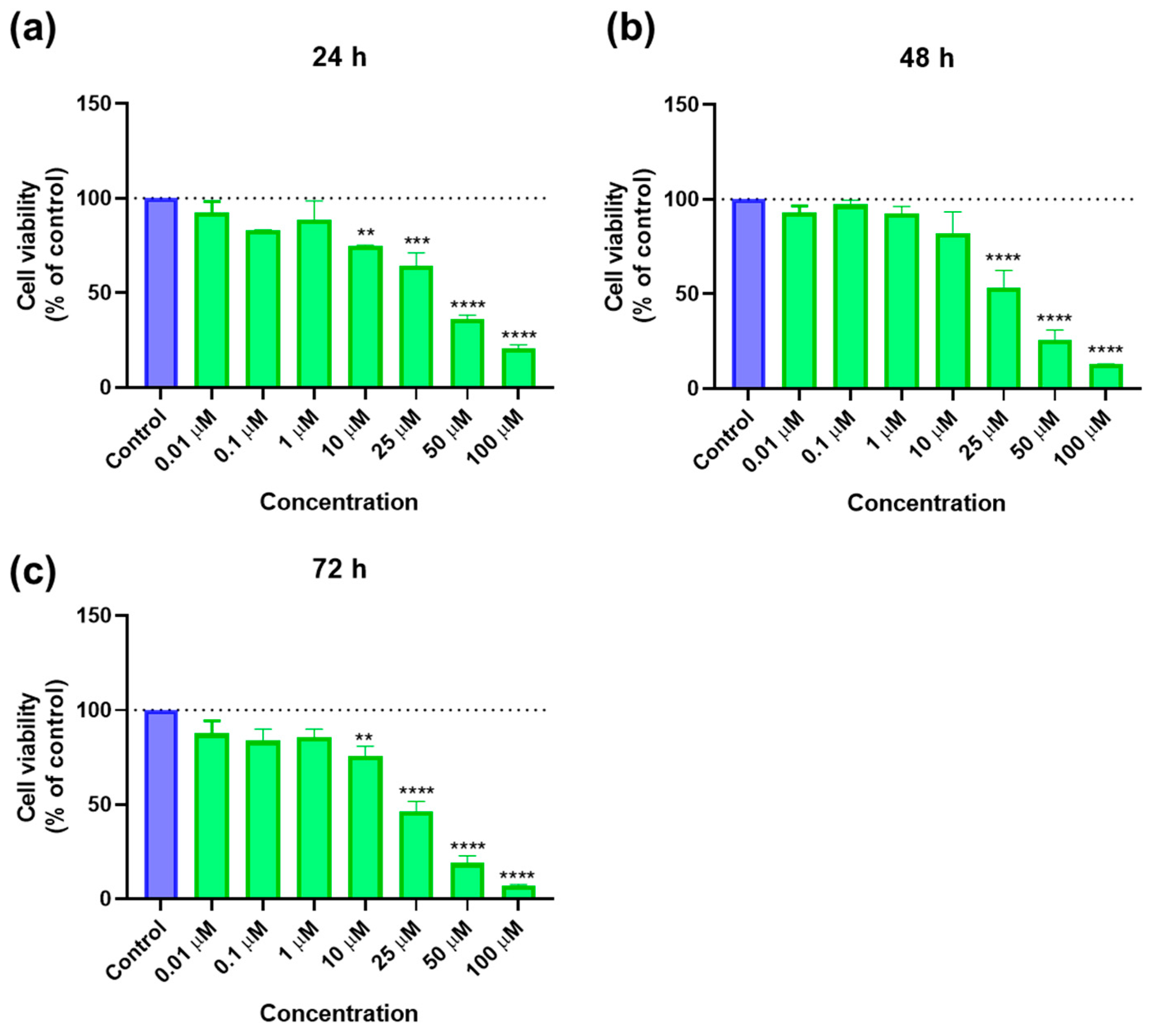
2.1. PC-3 Cells
2.1.1. Cytotoxicity of 5-FU
2.1.2. Cytotoxicity of SAQ
2.1.3. Combination Studies
Simultaneous Drug Addition
Sequential Drug Administration
Synergism Results
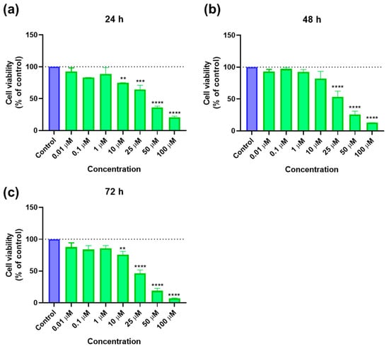
2.2. A549 Cells
2.2.1. Cytotoxicity of 5-FU
2.2.2. Cytotoxicity of SAQ
2.2.3. Combination Studies
Simultaneous Drug Addition
Sequential Drug Administration
Synergism Results
3. Discussion
4. Materials and Methods
4.1. Cell Culture and Reagents
4.2. Drug Treatment
4.3. Morphological Analysis
4.4. MTT Assay
4.5. Statistical Analysis
4.6. Synergism Study
5. Conclusions
Author Contributions
Funding
Institutional Review Board Statement
Informed Consent Statement
Data Availability Statement
Acknowledgments
Conflicts of Interest
References
- Cancer.Net. Prostate Cancer: Statistics. Available online: https://www.cancer.net/cancer-types/prostate-cancer/statistics (accessed on 28 June 2022).
- National Cancer Institute. Cancer Stat Facts: Prostate Cancer. Available online: https://seer.cancer.gov/statfacts/html/prost.html (accessed on 28 June 2022).
- Nguyen-Nielsen, M.; Borre, M. Diagnostic and Therapeutic Strategies for Prostate Cancer. Semin. Nucl. Med. 2016, 46, 484–490. [Google Scholar] [CrossRef]
- Rebbeck, T.R. Prostate Cancer Genetics: Variation by Race, Ethnicity, and Geography. Semin. Radiat. Oncol. 2017, 27, 3–10. [Google Scholar] [CrossRef]
- Mao, Y.; Yang, D.; He, J.; Krasna, M.J. Epidemiology of Lung Cancer. Surg. Oncol. Clin. N Am. 2016, 25, 439–445. [Google Scholar] [CrossRef] [PubMed]
- Bade, B.C.; Dela Cruz, C.S. Lung Cancer 2020: Epidemiology, Etiology, and Prevention. Clin. Chest Med. 2020, 41, 1–24. [Google Scholar] [CrossRef]
- World Cancer Research Fund International. Lung Cancer Statistics. Available online: https://www.wcrf.org/cancer-trends/lung-cancer-statistics/ (accessed on 6 October 2022).
- Pushpakom, S.; Iorio, F.; Eyers, P.A.; Escott, K.J.; Hopper, S.; Wells, A.; Doig, A.; Guilliams, T.; Latimer, J.; McNamee, C.; et al. Drug repurposing: Progress, challenges and recommendations. Nat. Rev. Drug Discov. 2019, 18, 41–58. [Google Scholar] [CrossRef] [PubMed]
- la Porte, C.J. Saquinavir, the pioneer antiretroviral protease inhibitor. Expert Opin. Drug Metab. Toxicol. 2009, 5, 1313–1322. [Google Scholar] [CrossRef] [PubMed]
- Vella, S.; Floridia, M. Saquinavir. Clinical pharmacology and efficacy. Clin. Pharm. 1998, 34, 189–201. [Google Scholar] [CrossRef] [PubMed]
- Sgadari, C.; Barillari, G.; Toschi, E.; Carlei, D.; Bacigalupo, I.; Baccarini, S.; Palladino, C.; Leone, P.; Bugarini, R.; Malavasi, L.; et al. HIV protease inhibitors are potent anti-angiogenic molecules and promote regression of Kaposi sarcoma. Nat. Med. 2002, 8, 225–232. [Google Scholar] [CrossRef] [PubMed]
- Gupta, A.K.; Cerniglia, G.J.; Mick, R.; McKenna, W.G.; Muschel, R.J. HIV protease inhibitors block Akt signaling and radiosensitize tumor cells both in vitro and in vivo. Cancer Res. 2005, 65, 8256–8265. [Google Scholar] [CrossRef] [PubMed]
- Bandiera, E.; Todeschini, P.; Romani, C.; Zanotti, L.; Erba, E.; Colmegna, B.; Bignotti, E.; Santin, A.D.; Sartori, E.; Odicino, F.E.; et al. The HIV-protease inhibitor saquinavir reduces proliferation, invasion and clonogenicity in cervical cancer cell lines. Oncol. Lett. 2016, 12, 2493–2500. [Google Scholar] [CrossRef]
- Timeus, F.; Crescenzio, N.; Ricotti, E.; Doria, A.; Bertin, D.; Saglio, G.; Tovo, P.A. The effects of saquinavir on imatinib-resistant chronic myelogenous leukemia cell lines. Haematologica 2006, 91, 711–712. [Google Scholar] [PubMed]
- Timeus, F.; Crescenzio, N.; Doria, A.; Foglia, L.; Pagliano, S.; Ricotti, E.; Fagioli, F.; Tovo, P.A.; Cordero di Montezemolo, L. In vitro anti-neuroblastoma activity of saquinavir and its association with imatinib. Oncol. Rep. 2012, 27, 734–740. [Google Scholar] [CrossRef]
- Kraus, M.; Müller-Ide, H.; Rückrich, T.; Bader, J.; Overkleeft, H.; Driessen, C. Ritonavir, nelfinavir, saquinavir and lopinavir induce proteotoxic stress in acute myeloid leukemia cells and sensitize them for proteasome inhibitor treatment at low micromolar drug concentrations. Leuk Res. 2014, 38, 383–392. [Google Scholar] [CrossRef]
- Pajonk, F.; Himmelsbach, J.; Riess, K.; Sommer, A.; McBride, W.H. The human immunodeficiency virus (HIV)-1 protease inhibitor saquinavir inhibits proteasome function and causes apoptosis and radiosensitization in non-HIV-associated human cancer cells. Cancer Res. 2002, 62, 5230–5235. [Google Scholar] [PubMed]
- Plastaras, J.P.; Vapiwala, N.; Ahmed, M.S.; Gudonis, D.; Cerniglia, G.J.; Feldman, M.D.; Frank, I.; Gupta, A.K. Validation and toxicity of PI3K/Akt pathway inhibition by HIV protease inhibitors in humans. Cancer Biol. Ther. 2008, 7, 628–635. [Google Scholar] [CrossRef]
- Wigmore, P.M.; Mustafa, S.; El-Beltagy, M.; Lyons, L.; Umka, J.; Bennett, G. Effects of 5-FU. Adv. Exp. Med. Biol. 2010, 678, 157–164. [Google Scholar]
- Fitzsimmons, M.E.; Collins, J.M. Selective biotransformation of the human immunodeficiency virus protease inhibitor saquinavir by human small-intestinal cytochrome P4503A4: Potential contribution to high first-pass metabolism. Drug Metab. Dispos. 1997, 25, 256–266. [Google Scholar] [PubMed]
- FDA, R.L.I. INVIRASE® (Saquinavir Mesylate) CAPSULES and TABLETS. Available online: https://www.accessdata.fda.gov/drugsatfda_docs/label/2010/020628s032,021785s009lbl.pdf (accessed on 4 July 2022).
- Donia, M.; Maksimovic-Ivanic, D.; Mijatovic, S.; Mojic, M.; Miljkovic, D.; Timotijevic, G.; Fagone, P.; Caponnetto, S.; Al-Abed, Y.; McCubrey, J.; et al. In vitro and in vivo anticancer action of Saquinavir-NO, a novel nitric oxide-derivative of the protease inhibitor saquinavir, on hormone resistant prostate cancer cells. Cell Cycle 2011, 10, 492–499. [Google Scholar] [CrossRef] [PubMed]
- EMA. Invirase. Available online: https://www.ema.europa.eu/en/medicines/human/EPAR/invirase (accessed on 4 July 2022).
- Longley, D.B.; Harkin, D.P.; Johnston, P.G. 5-fluorouracil: Mechanisms of action and clinical strategies. Nat. Rev. Cancer 2003, 3, 330–338. [Google Scholar] [CrossRef] [PubMed]
- Smalley, S.R.; Kimler, B.F.; Evans, R.G. 5-Fluorouracil modulation of radiosensitivity in cultured human carcinoma cells. Int. J. Radiat. Oncol. Biol. Phys. 1991, 20, 207–211. [Google Scholar] [CrossRef]
- Manogue, C.; Ledet, E.; Guddati, A.K.; Lewis, B.; Sartor, O. Extreme Prostate-Specific Antigen Response to Infusional 5-Flourouracil in Castrate-Resistant Prostate Cancer. Oncologist 2018, 23, 383–385. [Google Scholar] [CrossRef]
- Gills, J.J.; Lopiccolo, J.; Tsurutani, J.; Shoemaker, R.H.; Best, C.J.; Abu-Asab, M.S.; Borojerdi, J.; Warfel, N.A.; Gardner, E.R.; Danish, M.; et al. Nelfinavir, A lead HIV protease inhibitor, is a broad-spectrum, anticancer agent that induces endoplasmic reticulum stress, autophagy, and apoptosis in vitro and in vivo. Clin. Cancer Res. 2007, 13, 5183–5194. [Google Scholar] [CrossRef]
- Noro, R.; Miyanaga, A.; Minegishi, Y.; Okano, T.; Seike, M.; Soeno, C.; Kataoka, K.; Matsuda, K.; Yoshimura, A.; Gemma, A. Histone deacetylase inhibitor enhances sensitivity of non-small-cell lung cancer cells to 5-FU/S-1 via down-regulation of thymidylate synthase expression and up-regulation of p21(waf1/cip1) expression. Cancer Sci. 2010, 101, 1424–1430. [Google Scholar] [CrossRef]
- Dear, R.F.; McGeechan, K.; Jenkins, M.C.; Barratt, A.; Tattersall, M.H.N.; Wilcken, N. Combination versus sequential single agent chemotherapy for metastatic breast cancer. Cochrane Database Syst. Rev. 2013, 12, Cd008792. [Google Scholar]
- Eck, K.M.; Yuan, L.; Duffy, L.; Ram, P.T.; Ayettey, S.; Chen, I.; Cohn, C.S.; Reed, J.C.; Hill, S.M. A sequential treatment regimen with melatonin and all-trans retinoic acid induces apoptosis in MCF-7 tumour cells. Br. J. Cancer 1998, 77, 2129–2137. [Google Scholar] [CrossRef] [PubMed]
- Ma, Y.; Wang, Y.; Xu, Z.; Wang, Y.; Fallon, J.K.; Liu, F. Extreme low dose of 5-fluorouracil reverses MDR in cancer by sensitizing cancer associated fibroblasts and down-regulating P-gp. PLoS ONE 2017, 12, e0180023. [Google Scholar]
- Washington, C.B.; Wiltshire, H.R.; Man, M.; Moy, T.; Harris, S.R.; Worth, E.; Weigl, P.; Liang, Z.; Hall, D.; Marriott, L.; et al. The disposition of saquinavir in normal and P-glycoprotein deficient mice, rats, and in cultured cells. Drug Metab. Dispos. 2000, 28, 1058–1062. [Google Scholar]
- Pereira, M.; Vale, N. Saquinavir: From HIV to COVID-19 and Cancer Treatment. Biomolecules 2022, 12, 944. [Google Scholar] [CrossRef] [PubMed]
- Kubota, T. 5-fluorouracil and dihydropyrimidine dehydrogenase. Int. J. Clin. Oncol. 2003, 8, 127–131. [Google Scholar] [CrossRef]
- Huang, C.L.; Yokomise, H.; Kobayashi, S.; Fukushima, M.; Hitomi, S.; Wada, H. Intratumoral expression of thymidylate synthase and dihydropyrimidine dehydrogenase in non-small cell lung cancer patients treated with 5-FU-based chemotherapy. Int. J. Oncol. 2000, 17, 47–54. [Google Scholar] [CrossRef]
- De Clercq, E. Recent highlights in the development of new antiviral drugs. Curr. Opin. Microbiol. 2005, 8, 552–560. [Google Scholar] [CrossRef] [PubMed]
- Chou, T.C. Drug combination studies and their synergy quantification using the Chou-Talalay method. Cancer Res. 2010, 70, 440–446. [Google Scholar] [CrossRef] [PubMed]




















| Time | 5-FU (μM) | SAQ (μM) |
|---|---|---|
| 24 h | - | 20.98 |
| 48 h | - | 21.71 |
| 72 h | 7.939 | 18.97 |
| Dose 5-FU (µM) | Dose SAQ (µM) | Fractional Effect (Fa) | CI | ||
|---|---|---|---|---|---|
| Drugs at the Same Time | Second Drug after 24 h | Drugs at the Same Time | Second Drug after 24 h | ||
| 25 | 0.01 | 0.49693 | 0.46170 | 0.33368 | 0.34836 |
| 0.1 | 0.48003 | 0.45998 | 0.34553 | 0.35483 | |
| 1 | 0.46223 | 0.50216 | 0.41007 | 0.37695 | |
| 10 | 0.48438 | 0.52783 | 0.86473 | 0.69645 | |
| 25 | 0.73474 | 0.55407 | 0.40504 | 1.07532 | |
| 50 | 0.89764 | 0.73382 | 0.20656 | 0.56943 | |
| 100 | 0.89802 | 0.87249 | 0.24013 | 0.29682 | |
| 0.01 | 25 | 0.77765 | 0.85765 | 0.10247 | 0.03567 |
| 0.1 | 0.76973 | 0.85007 | 0.11271 | 0.04084 | |
| 1 | 0.76928 | 0.84064 | 0.12156 | 0.05411 | |
| 10 | 0.75946 | 0.85822 | 0.21870 | 0.11233 | |
| 25 | 0.78817 | 0.85686 | 0.31394 | 0.22933 | |
| 50 | 0.77396 | 0.86172 | 0.56437 | 0.41524 | |
| 100 | 0.79666 | 0.86666 | 0.96097 | 0.78490 | |
| Time | 5-FU (μM) | SAQ (μM) |
|---|---|---|
| 24 h | 48.03 | - |
| 48 h | 8.891 | 58.10 |
| 72 h | 6.070 | 41.04 |
| Time | 5-FU (μM) | SAQ (μM) | ||
|---|---|---|---|---|
| PC-3 | A549 | PC-3 | A549 | |
| 24 h | - | 48.03 | 20.98 | - |
| 48 h | - | 8.891 | 21.71 | 58.10 |
| 72 h | 7.939 | 6.070 | 18.97 | 41.04 |
| Dose 5-FU (μM) | Dose Saq (μM) | Fractional Effect (Fa) | CI | ||
|---|---|---|---|---|---|
| Drugs at the Same Time | Second Drug after 24 h | Drugs at the Same Time | Second Drug after 24 h | ||
| 25 | 0.01 | 0.34927 | 0.53259 | 0.37859 | 0.29666 |
| 0.1 | 0.37333 | 0.53139 | 0.36624 | 0.29731 | |
| 1 | 0.44084 | 0.52818 | 0.33653 | 0.30037 | |
| 10 | 0.41440 | 0.51788 | 0.37013 | 0.32289 | |
| 25 | 0.52470 | 0.53178 | 0.35049 | 0.34721 | |
| 50 | 0.50016 | 0.59234 | 0.41478 | 0.36583 | |
| 100 | 0.59071 | 0.57037 | 0.45854 | 0.47192 | |
| 0.01 | 25 | 0.14231 | 0.23028 | 0.10353 | 0.08302 |
| 0.1 | 0.02529 | 0.22898 | 0.21105 | 0.08490 | |
| 1 | 0.05188 | 0.24309 | 0.18825 | 0.09855 | |
| 10 | 0.33477 | 0.25681 | 0.22279 | 0.25312 | |
| 25 | 0.46224 | 0.24060 | 0.38079 | 0.53012 | |
| 50 | 0.36769 | 0.28678 | 0.80230 | 0.90553 | |
| 100 | 0.38416 | 0.45196 | 1.50517 | 1.37422 | |
Publisher’s Note: MDPI stays neutral with regard to jurisdictional claims in published maps and institutional affiliations. |
© 2022 by the authors. Licensee MDPI, Basel, Switzerland. This article is an open access article distributed under the terms and conditions of the Creative Commons Attribution (CC BY) license (https://creativecommons.org/licenses/by/4.0/).
Share and Cite
Pereira, M.; Vale, N. Repurposing Alone and in Combination of the Antiviral Saquinavir with 5-Fluorouracil in Prostate and Lung Cancer Cells. Int. J. Mol. Sci. 2022, 23, 12240. https://doi.org/10.3390/ijms232012240
Pereira M, Vale N. Repurposing Alone and in Combination of the Antiviral Saquinavir with 5-Fluorouracil in Prostate and Lung Cancer Cells. International Journal of Molecular Sciences. 2022; 23(20):12240. https://doi.org/10.3390/ijms232012240
Chicago/Turabian StylePereira, Mariana, and Nuno Vale. 2022. "Repurposing Alone and in Combination of the Antiviral Saquinavir with 5-Fluorouracil in Prostate and Lung Cancer Cells" International Journal of Molecular Sciences 23, no. 20: 12240. https://doi.org/10.3390/ijms232012240
APA StylePereira, M., & Vale, N. (2022). Repurposing Alone and in Combination of the Antiviral Saquinavir with 5-Fluorouracil in Prostate and Lung Cancer Cells. International Journal of Molecular Sciences, 23(20), 12240. https://doi.org/10.3390/ijms232012240

