Iron-Sepiolite High-Performance Magnetorheological Polishing Fluid with Reduced Sedimentation
Abstract
1. Introduction
2. Results and Discussion
2.1. Particles Morphology
2.2. Magnetorheology
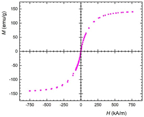
2.3. Magnetic Properties of Magnetorheological Slurry
2.4. Sedimentation
2.5. Magnetorheological Polishing
3. Materials and Methods
3.1. Magnetorheological Slurry Composition
3.2. Polished Sample Material
3.3. Investigation of the Magnetorheological Slurry
3.4. Polishing Process
4. Conclusions
Author Contributions
Funding
Conflicts of Interest
References
- Xia, Z.B.; Fang, F.Z.; Ahearne, E.; Tao, M.R. Advances in polishing of optical freeform surfaces: A review. J. Mater. Proc. Technol. 2020, 286, 116828. [Google Scholar] [CrossRef]
- Bica, I.; Liu, Y.D.; Choi, H.J. Physical characteristics of magnetorheological suspensions and their applications. J. Ind. Eng. Chem. 2013, 19, 394–406. [Google Scholar] [CrossRef]
- Ronzova, A.; Sedlacik, M.; Cvek, M. Magnetorheological fluids based on core-shell carbonyl iron particles modified by various organosilanes: Synthesis, stability and performance. Soft Matter 2021, 17, 1299–1306. [Google Scholar] [CrossRef]
- de Vicente, J.; Klingenberg, D.J.; Hidalgo-Alvarez, R. Magnetorheological fluids: A review. Soft Matter 2011, 7, 3701–3710. [Google Scholar] [CrossRef]
- Miao, C.L.; Shen, R.; Wang, M.M.; Shafrir, S.N.; Yang, H.; Jacobs, S.D. Rheology of Aqueous Magnetorheological Fluid Using Dual Oxide-Coated Carbonyl Iron Particles. J. Am. Ceram. Soc. 2011, 94, 2386–2392. [Google Scholar]
- Souza, A.M.; da Silva, E.J.; Ratay, J.; Yamaguchi, H. Magnetic field-assisted finishing processes: From bibliometric analysis to future trends. J. Braz. Soc. Mech. Sci. Eng. 2022, 44, 327. [Google Scholar] [CrossRef]
- Xie, S.W.; Sun, Q.Q.; Ying, G.Y.; Guo, L.X.; Huang, Q.; Peng, Q.Y.; Xu, J.F. Ultra-precise surface processing of LYSO scintillator crystals for Positron Emission Tomography. Appl. Surf. Sci. 2019, 469, 573–581. [Google Scholar] [CrossRef] [PubMed]
- Qian, C.; Tian, Y.B.; Fan, Z.H.; Sun, Z.G.; Ma, Z. Investigation on rheological characteristics of magnetorheological shear thickening fluids mixed with micro CBN abrasive particles. Smart Mater. Struct. 2022, 31, 095004. [Google Scholar] [CrossRef]
- Guo, H.R.; Wu, Y.B. Ultrafine polishing of optical polymer with zirconia-coated carbonyl-iron-particle-based magnetic compound fluid slurry. Int. J. Adv. Manuf. Technol. 2016, 85, 253–261. [Google Scholar] [CrossRef]
- Chen, Z.J.; Pan, J.S.; Yan, Q.S.; Huang, Z.L.; Zhang, F.L.; Chen, S.M. Study on the rheological and polishing properties of electromagnetic two-phase composite particles with abrasive characteristics. Smart Mater. Struct. 2022, 31, 045012. [Google Scholar] [CrossRef]
- Ashtiani, M.; Hashemabadi, S.H.; Ghaffari, A. A review on the magnetorheological fluid preparation and stabilization. J. Magn. Magn. Mater. 2015, 374, 716–730. [Google Scholar] [CrossRef]
- Cheng, H.B.; Zuo, L.; Song, J.H.; Zhang, Q.J.; Wereley, N.M. Magnetorheology and sedimentation behavior of an aqueous suspension of surface modified carbonyl iron particles. J. Appl. Phys. 2010, 107, 3. [Google Scholar] [CrossRef]
- Lee, J.W.; Hong, K.P.; Kwon, S.H.; Choi, H.J.; Cho, M.W. Suspension Rheology and Magnetorheological Finishing Characteristics of Biopolymer-Coated Carbonyliron Particles. Ind. Eng. Chem. Res. 2017, 56, 2416–2424. [Google Scholar] [CrossRef]
- Ubaidillah; Sutrisno, J.; Purwanto, A.; Mazlan, S.A. Recent Progress on Magnetorheological Solids: Materials, Fabrication, Testing, and Applications. Adv. Eng. Mater. 2015, 17, 563–597. [Google Scholar] [CrossRef]
- Liu, J.B.; Li, X.Y.; Zhang, Y.F.; Tian, D.; Ye, M.H.; Wang, C. Predicting the Material Removal Rate (MRR) in surface Magnetorheological Finishing (MRF) based on the synergistic effect of pressure and shear stress. Appl. Surf. Sci. 2020, 504, 144492. [Google Scholar] [CrossRef]
- Kumari, C.; Chak, S.K. A review on magnetically assisted abrasive finishing and their critical process parameters. Manuf. Rev. 2018, 5, 13. [Google Scholar] [CrossRef]
- Bedi, T.S.; Singh, A.K. Magnetorheological methods for nanofinishing—A review. Part. Sci. Technol. 2016, 34, 412–422. [Google Scholar] [CrossRef]
- Kumari, C.; Chak, S.K. Study on influential parameters of hybrid AFM processes: A review. Manuf. Rev. 2019, 6, 23. [Google Scholar] [CrossRef]
- Plachy, T.; Kutalkova, E.; Sedlacik, M.; Vesel, A.; Masar, M.; Kuritka, I. Impact of corrosion process of carbonyl iron particles on magnetorheological behavior of their suspensions. J. Ind. Eng. Chem. 2018, 66, 362–369. [Google Scholar] [CrossRef]
- Choi, H.J.; Zhang, W.L.; Kim, S.; Seo, Y. Core-Shell Structured Electro- and Magneto-Responsive Materials: Fabrication and Characteristics. Materials 2014, 7, 7460–7471. [Google Scholar] [CrossRef]
- Kim, H.M.; Kang, S.H.; Choi, H.J. Polyaniline coated ZnFe2O4 microsphere and its electrorheological and magnetorheological response. Coll. Surf. A Physicochem. Eng. Asp. 2021, 626, 127079. [Google Scholar] [CrossRef]
- Zhang, P.; Dong, Y.Z.; Choi, H.J.; Lee, C.H. Tribological and rheological tests of core-shell typed carbonyl iron/polystyrene particle-based magnetorheological fluid. J. Ind. Eng. Chem. 2018, 68, 342–349. [Google Scholar] [CrossRef]
- Park, B.J.; Hong, M.K.; Choi, H.J. Atom transfer radical polymerized PMMA/magnetite nanocomposites and their magnetorheology. Coll. Polym. Sci. 2009, 287, 501–504. [Google Scholar] [CrossRef]
- Jamari, S.K.M.; Nordin, N.A.; Ubaidillah; Aziz, S.A.A.; Nazmi, N.; Mazlan, S.A. Systematic Review on the Effects, Roles and Methods of Magnetic Particle Coatings in Magnetorheological Materials. Materials 2020, 13, 5317. [Google Scholar] [CrossRef]
- Hajalilou, A.; Abouzari-Lotf, E.; Abbasi-Chianeh, V.; Shojaei, T.R.; Rezaie, E. Inclusion of octahedron-shaped ZnFe2O4 nanoparticles in combination with carbon dots into carbonyl iron based magnetorheological suspension as additive. J. Alloys Compd. 2018, 737, 536–548. [Google Scholar] [CrossRef]
- Xu, J.H.; Li, J.Y.; Cao, J.G. Effects of fumed silica weight fraction on rheological properties of magnetorheological polishing fluids. Coll. Polym. Sci. 2018, 296, 1145–1156. [Google Scholar] [CrossRef]
- Bai, Y.; Xue, D.L.; Zhang, X.J. Polishing performance of magnetorheological finishing with flocculated and deflocculated aqueous polishing fluid. Opt. Eng. 2019, 58, 025104. [Google Scholar]
- Kutalkova, E.; Plachy, T.; Sedlacik, M. On the enhanced sedimentation stability and electrorheological performance of intelligent fluids based on sepiolite particles. J. Mol. Liquids 2020, 309, 113120. [Google Scholar] [CrossRef]
- Marins, J.A.; Plachy, T.; Kuzhir, P. Iron-sepiolite magnetorheological fluids with improved performances. J. Rheol. 2019, 63, 125–139. [Google Scholar]
- Lopez-Lopez, M.T.; Kuzhir, P.; Lacis, S.; Bossis, G.; Gonzalez-Caballero, F.; Duran, J.D.G. Magnetorheology for suspensions of solid particles dispersed in ferrofluids. J. Phys. Condens. Matter 2006, 18, S2803–S2813. [Google Scholar] [CrossRef]
- Cho, M.S.; Choi, H.J.; Jhon, M.S. Shear stress analysis of a semiconducting polymer based electrorheological fluid system. Polymer 2005, 46, 11484–11488. [Google Scholar] [CrossRef]
- Ginder, J.M.; Davis, L.C.; Elie, L.D. Rheology of magnetorheological fluids: Models and measurements. Int. J. Mod. Phys. B 1996, 10, 3293–3303. [Google Scholar] [CrossRef]
- Roupec, J.; Berka, P.; Mazurek, I.; Strecker, Z.; Kubik, M.; Machacek, O.; Andani, M.T. A novel method for measurement of MR fluid sedimentation and its experimental verification. Smart Mater. Struct. 2017, 26, 13. [Google Scholar] [CrossRef]
- Cvek, M.; Mrlik, M.; Moucka, R.; Sedlacik, M. A systematical study of the overall influence of carbon allotrope additives on performance, stability and redispersibility of magnetorheological fluids. Coll. Surf. A Physicochem. Eng. Asp. 2018, 543, 83–92. [Google Scholar] [CrossRef]
- Zhuang, G.Z.; Zhang, Z.P.; Yang, H.; Tang, J.J. Structures and rheological properties of organo-sepiolite in oil-based drilling fluids. Appl. Clay Sci. 2018, 154, 43–51. [Google Scholar]
- Hong, K.P.; Song, K.H.; Cho, M.W.; Kwon, S.H.; Choi, H.J. Magnetorheological properties and polishing characteristics of silica-coated carbonyl iron magnetorheological fluid. J. Intell. Mater. Syst. Struct. 2018, 29, 137–146. [Google Scholar] [CrossRef]
- Sedlacik, M.; Pavlinek, V. A tensiometric study of magnetorheological suspensions’ stability. Rsc. Adv. 2014, 4, 58377–58385. [Google Scholar] [CrossRef]
- Milde, R.; Bilek, O.; Sedlacik, M.; Kovarik, M. Construction of magnetorheological device for finishing of non-metallic materials. In Development of Materials Science in Research and Education; Behulova, M., Kozisek, Z., Potucek, Z., Eds.; IOP Publishing Ltd.: Bristol, UK, 2020; Volume 726. [Google Scholar]
- Guo, C.; Liu, J.; Li, X.H.; Yang, S.Q. Effect of cavitation bubble on the dispersion of magnetorheological polishing fluid under ultrasonic preparation. Ultrason. Sonochem. 2021, 79, 105782. [Google Scholar] [CrossRef] [PubMed]








| Component | Concentration (wt.%) | Function |
|---|---|---|
| iron | 55 | magnetic part |
| carrier liquid | 30 | provides liquid character |
| Al2O3 | 10 | abrasion |
| clay | 5 | lowers sedimentation |
Publisher’s Note: MDPI stays neutral with regard to jurisdictional claims in published maps and institutional affiliations. |
© 2022 by the authors. Licensee MDPI, Basel, Switzerland. This article is an open access article distributed under the terms and conditions of the Creative Commons Attribution (CC BY) license (https://creativecommons.org/licenses/by/4.0/).
Share and Cite
Milde, R.; Moucka, R.; Sedlacik, M.; Pata, V. Iron-Sepiolite High-Performance Magnetorheological Polishing Fluid with Reduced Sedimentation. Int. J. Mol. Sci. 2022, 23, 12187. https://doi.org/10.3390/ijms232012187
Milde R, Moucka R, Sedlacik M, Pata V. Iron-Sepiolite High-Performance Magnetorheological Polishing Fluid with Reduced Sedimentation. International Journal of Molecular Sciences. 2022; 23(20):12187. https://doi.org/10.3390/ijms232012187
Chicago/Turabian StyleMilde, Radoslav, Robert Moucka, Michal Sedlacik, and Vladimir Pata. 2022. "Iron-Sepiolite High-Performance Magnetorheological Polishing Fluid with Reduced Sedimentation" International Journal of Molecular Sciences 23, no. 20: 12187. https://doi.org/10.3390/ijms232012187
APA StyleMilde, R., Moucka, R., Sedlacik, M., & Pata, V. (2022). Iron-Sepiolite High-Performance Magnetorheological Polishing Fluid with Reduced Sedimentation. International Journal of Molecular Sciences, 23(20), 12187. https://doi.org/10.3390/ijms232012187

