A Toxoplasma gondii Oxopurine Transporter Binds Nucleobases and Nucleosides Using Different Binding Modes
Abstract
1. Introduction
2. Results
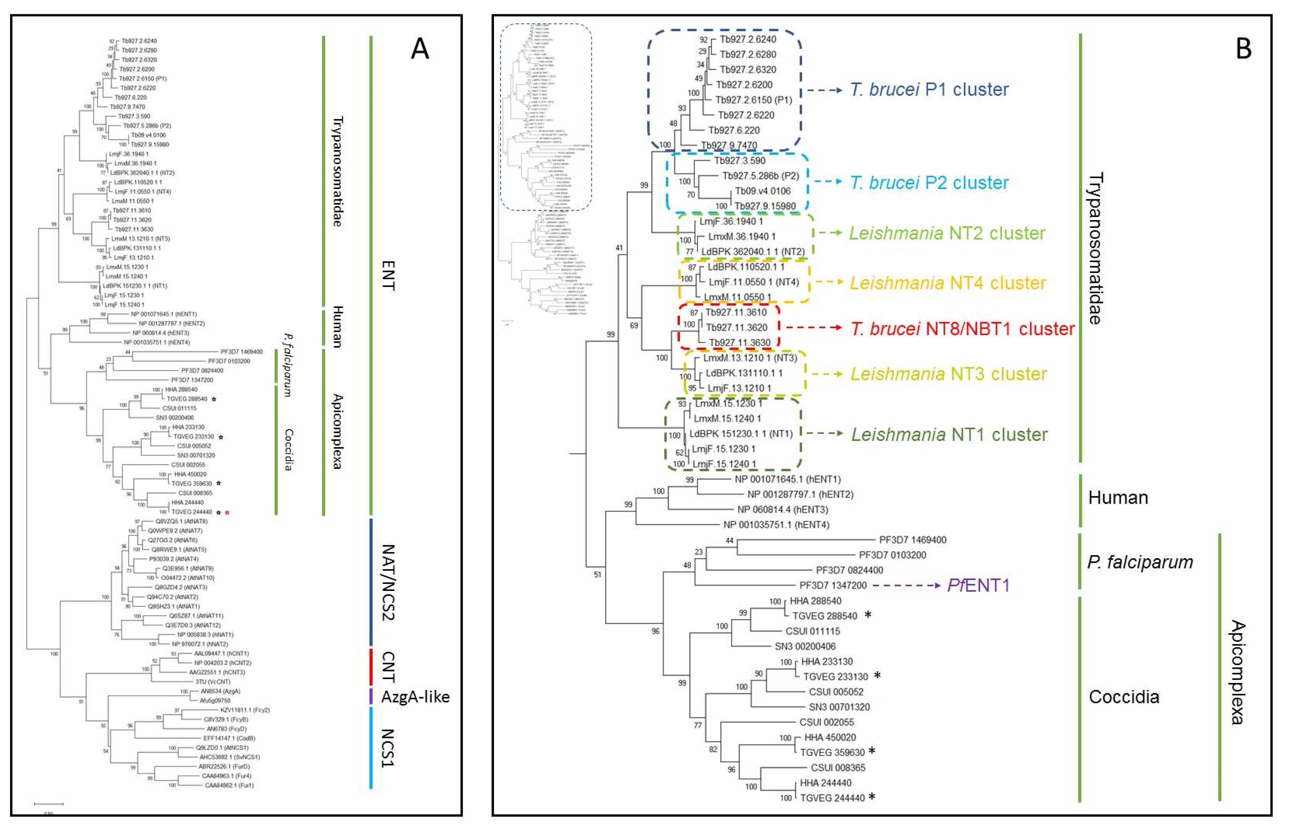
2.1. Equilibrative Nucleoside Transporters from Coccidian Parasites form a Separate Phylogenetic Cluster within the Family
2.2. Tg244440 Is a High-Affinity Oxopurine Transporter
2.3. Tg244440 Binds Purine Nucleobases and Nucleosides in Different Manners
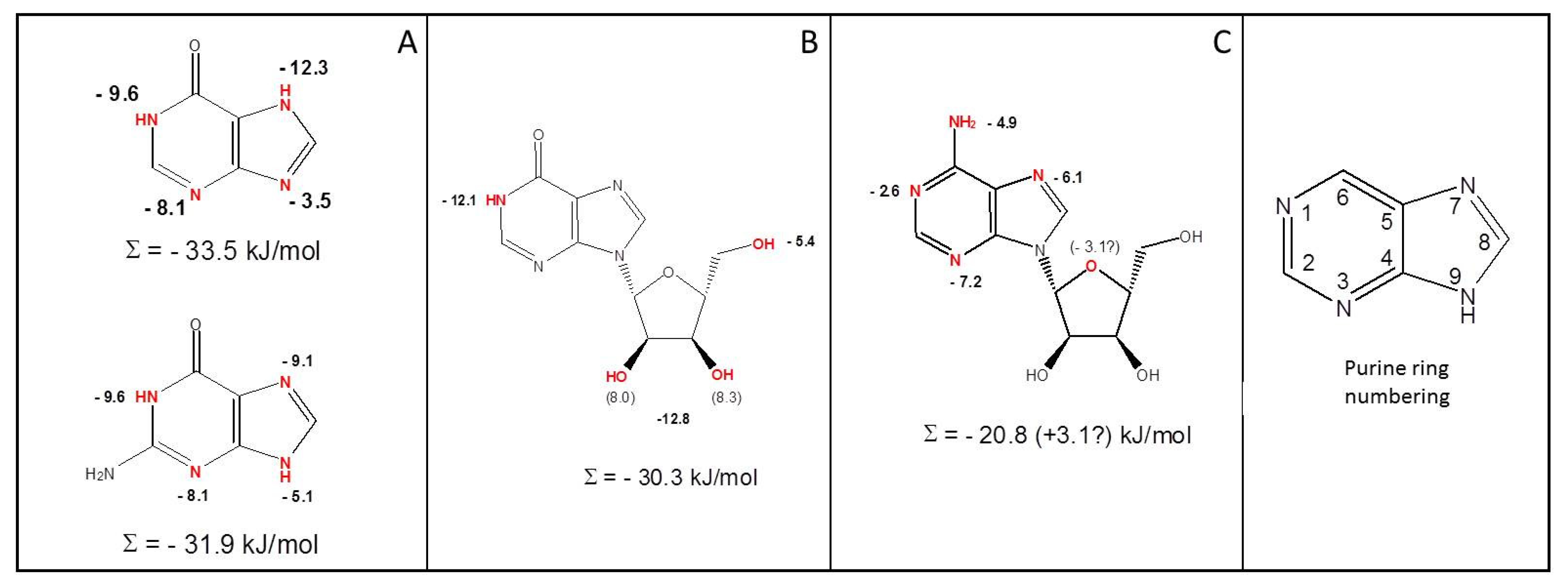
2.3.1. Binding of Purine Nucleobases
2.3.2. Binding of Purine Nucleosides
3. Discussion
4. Materials and Methods
4.1. In Vitro Culture of T. gondii
4.2. mRNA Isolation and cDNA Synthesis
4.3. T. brucei Axenic Culture and Genetic Modification
4.4. Uptake Assays
4.5. Calculation of Transport Kinetic Parameters
4.6. Synthesis of Nucleoside and Nucleobase Analogues
4.7. Phylogenetic Analysis
Supplementary Materials
Author Contributions
Funding
Institutional Review Board Statement
Informed Consent Statement
Conflicts of Interest
References
- Montoya, J.G.; Liesenfeld, O. Toxoplasmosis. Lancet 2004, 363, 1965–1976. [Google Scholar] [CrossRef]
- Robert-Gangneux, F.; Dardé, M.-L. Epidemiology of and diagnostic strategies for toxoplasmosis. Clin. Microbiol. Rev. 2012, 25, 264–296. [Google Scholar] [CrossRef]
- Innes, E.A. A brief history and overview of Toxoplasma gondii. Zoonoses Public Health 2010, 57, 1–7. [Google Scholar] [CrossRef]
- Bowen, L.N.; Smith, B.; Reich, D.; Quezado, M.; Nath, A. HIV-associated opportunistic CNS infections: Pathophysiology, diagnosis and treatment. Nat. Rev. Neurol. 2016, 12, 662–674. [Google Scholar] [CrossRef]
- Lindsay, D.S.; Dubey, J.P. Neosporosis, toxoplasmosis, and sarcocystosis in ruminants: An update. Vet. Clin. N. Am. Food Anim. Pract. 2020, 36, 205–222. [Google Scholar] [CrossRef]
- Stelzer, S.; Basso, W.; Benavides Silván, J.; Ortega-Mora, L.M.; Maksimov, P.; Gethmann, J.; Conraths, F.J.; Schares, G. Toxoplasma gondii infection and toxoplasmosis in farm animals: Risk factors and economic impact. Food Waterborne Parasitol. 2019, 15, e00037. [Google Scholar] [CrossRef]
- Khan, K.; Khan, W. Congenital toxoplasmosis: An overview of the neurological and ocular manifestations. Parasitol. Int. 2018, 67, 715–721. [Google Scholar] [CrossRef]
- Dunay, I.R.; Gajurel, K.; Dhakal, R.; Liesenfeld, O.; Montoya, J.G. Treatment of toxoplasmosis: Historical perspective, animal models, and current clinical practice. Clin. Microbiol. Rev. 2018, 31, e00057-17. [Google Scholar] [CrossRef]
- Alday, H.; Doggett, J. Drugs in development for toxoplasmosis: Advances, challenges, and current status. Drug Des. Devel. Ther. 2017, 11, 273–293. [Google Scholar] [CrossRef]
- Montazeri, M.; Mehrzadi, S.; Sharif, M.; Sarvi, S.; Tanzifi, A.; Aghayan, S.A.; Daryani, A. Drug resistance in Toxoplasma gondii. Front. Microbiol. 2018, 9, 2587. [Google Scholar] [CrossRef]
- Montazeri, M.; Sharif, M.; Sarvi, S.; Mehrzadi, S.; Ahmadpour, E.; Daryani, A. A systematic review of in vitro and in vivo activities of anti-Toxoplasma drugs and compounds (2006–2016). Front. Microbiol. 2017, 8, 25. [Google Scholar] [CrossRef]
- Campagnaro, G.D.; De Koning, H.P. Purine and pyrimidine transporters of pathogenic protozoa—Conduits for therapeutic agents. Med. Res. Rev. 2020, 40, 1679–1714. [Google Scholar] [CrossRef]
- De Koning, H.P.; Bridges, D.J.; Burchmore, R.J.S. Purine and pyrimidine transport in pathogenic protozoa: From biology to therapy. FEMS Microbiol. Rev. 2005, 29, 987–1020. [Google Scholar] [CrossRef]
- Quashie, N.B.; Dorin-Semblat, D.; Bray, P.G.; Biagini, G.A.; Doerig, C.; Ranford-Cartwright, L.C.; De Koning, H.P. A comprehensive model of purine uptake by the malaria parasite Plasmodium falciparum: Identification of four purine transport activities in intraerythrocytic parasites. Biochem. J. 2008, 411, 287–295. [Google Scholar] [CrossRef]
- Cheviet, T.; Lefebvre-Tournier, I.; Wein, S.; Peyrottes, S. Plasmodium purine metabolism and its inhibition by nucleoside and nucleotide analogues. J. Med. Chem. 2019, 62, 8365–8391. [Google Scholar] [CrossRef]
- Kim, Y.A.; Rawal, R.K.; Yoo, J.; Sharon, A.; Jha, A.K.; Chu, C.K.; Rais, R.H.; Al Safarjalani, O.N.; Naguib, F.N.M.; el Kouni, M.H. Structure–activity relationships of carbocyclic 6-benzylthioinosine analogues as subversive substrates of Toxoplasma gondii adenosine kinase. Bioorg. Med. Chem. 2010, 18, 3403–3412. [Google Scholar] [CrossRef]
- Rais, R.H.; Al Safarjalani, O.N.; Yadav, V.; Guarcello, V.; Kirk, M.; Chu, C.K.; Naguib, F.N.M.; el Kouni, M.H. 6-benzylthioinosine analogues as subversive substrate of Toxoplasma gondii adenosine kinase: Activities and selective toxicities. Biochem. Pharmacol. 2005, 69, 1409–1419. [Google Scholar] [CrossRef]
- Kim, Y.A.; Sharon, A.; Chu, C.K.; Rais, R.H.; Al Safarjalani, O.N.; Naguib, F.N.M.; el Kouni, M.H. Synthesis, biological evaluation and molecular modeling studies of N6-benzyladenosine analogues as potential anti-toxoplasma agents. Biochem. Pharmacol. 2007, 73, 1558–1572. [Google Scholar] [CrossRef]
- Kim, Y.A.; Sharon, A.; Chu, C.K.; Rais, R.H.; Al Safarjalani, O.N.; Naguib, F.N.M.; el Kouni, M.H. Structure-activity relationships of 7-deaza-6-benzylthioinosine analogues as ligands of Toxoplasma gondii adenosine kinase. J. Med. Chem. 2008, 51, 3934–3945. [Google Scholar] [CrossRef]
- Al Safarjalani, O.N.; Rais, R.H.; Kim, Y.A.; Chu, C.K.; Naguib, F.N.M.; el Kouni, M.H. Carbocyclic 6-benzylthioinosine analogues as subversive substrates of Toxoplasma gondii adenosine kinase: Biological activities and selective toxicities. Biochem. Pharmacol. 2010, 80, 955–963. [Google Scholar] [CrossRef]
- Al Safarjalani, O.N.; Rais, R.H.; Kim, Y.A.; Chu, C.K.; Naguib, F.N.M.; el Kouni, M.H. 7-Deaza-6-benzylthioinosine analogues as subversive substrate of Toxoplasma gondii adenosine kinase: Activities and selective toxicities. Biochem. Pharmacol. 2008, 76, 958–966. [Google Scholar] [CrossRef]
- Pfefferkorn, E.R.; Bzik, D.J.; Honsinger, C.P. Toxoplasma gondii: Mechanism of the parasitostatic action of 6-thioxanthine. Exp. Parasitol. 2001, 99, 235–243. [Google Scholar] [CrossRef]
- Pfefferkorn, E.R.; Pfefferkorn, L.C. Arabinosyl nucleosides inhibit Toxoplasma gondii and allow the selection of resistant mutants. J. Parasitol. 1976, 62, 993–999. [Google Scholar] [CrossRef]
- Gherardi, A.; Sarciron, M.E.; Peyron, F. Toxoplasma encephalitis: Influence of the vehicle on the efficacy of different doses of 2’,3’-dideoxyinosine in mice. Parasite 2000, 7, 39–42. [Google Scholar] [CrossRef][Green Version]
- Sarciron, M.E.; Lawton, P.; Petavy, A.F.; Peyron, F. Alterations of Toxoplasma gondii induced by 2′,3′-dideoxyinosine in vitro. J. Parasitol. 1998, 84, 1055–1059. [Google Scholar] [CrossRef]
- Sarciron, M.E.; Lawton, P.; Saccharin, C.; Petavy, A.F.; Peyron, F. Effects of 2’,3’-dideoxyinosine on Toxoplasma gondii cysts in mice. Antimicrob. Agents Chemother. 1997, 41, 1531–1536. [Google Scholar] [CrossRef][Green Version]
- Schwab, J.C.; Afifi Afifi, M.; Pizzorno, G.; Handschumacher, R.E.; Joiner, K.A. Toxoplasma gondii tachyzoites possess an unusual plasma membrane adenosine transporter. Mol. Biochem. Parasitol. 1995, 70, 59–69. [Google Scholar] [CrossRef]
- Chiang, C.W.; Carter, N.; Sullivan, W.J.; Donald, R.G.K.; Roos, D.S.; Naguib, F.N.M.; El Kouni, M.H.; Ullman, B.; Wilson, C.M. The adenosine transporter of Toxoplasma gondii. Identification by insertional mutagenesis, cloning, and recombinant expression. J. Biol. Chem. 1999, 274, 35255–35261. [Google Scholar] [CrossRef]
- De Koning, H.P.; Al-Salabi, M.I.; Cohen, A.M.; Coombs, G.H.; Wastling, J.M. Identification and characterisation of high affinity nucleoside and nucleobase transporters in Toxoplasma gondii. Int. J. Parasitol. 2003, 33, 821–831. [Google Scholar] [CrossRef]
- Alzahrani, K.J.H.; Ali, J.A.M.; Eze, A.A.; Looi, W.L.; Tagoe, D.N.A.; Creek, D.J.; Barrett, M.P.; De Koning, H.P. Functional and genetic evidence that nucleoside transport is highly conserved in Leishmania species: Implications for pyrimidine-based chemotherapy. Int. J. Parasitol. Drugs Drug Resist. 2017, 7, 206–226. [Google Scholar] [CrossRef]
- Munday, J.C.; Rojas López, K.E.; Eze, A.A.; Delespaux, V.; Van Den Abbeele, J.; Rowan, T.; Barrett, M.P.; Morrison, L.J.; De Koning, H.P. Functional expression of TcoAT1 reveals it to be a P1-type nucleoside transporter with no capacity for diminazene uptake. Int. J. Parasitol. Drugs Drug Resist. 2013, 3, 69–76. [Google Scholar] [CrossRef] [PubMed]
- Campagnaro, G.D.; de Freitas Nascimento, J.; Girard, R.B.M.; Silber, A.M.; De Koning, H.P. Cloning and characterisation of the Equilibrative Nucleoside Transporter family of Trypanosoma cruzi: Ultra-high affinity and selectivity to survive in the intracellular niche. Biochim. Biophys. Acta Gen. Subj. 2018, 1862, 2750–2763. [Google Scholar] [CrossRef] [PubMed]
- Natto, M.J.; Munday, J.C.; AlSiari, T.A.; Quashie, N.B.; Eze, A.A.; Ahmed, W.; Karra, V.; Eckmann, L.; De Koning, H.P. Trichomonas vaginalis: Overview of nucleoside and nucleobase transport activities and functional cloning of a trichomonad nucleoside transporter. Mol. Microbiol. 2021, in press. [Google Scholar] [CrossRef]
- Chaliotis, A.; Vlastaridis, P.; Ntountoumi, C.; Botou, M.; Yalelis, V.; Lazou, P.; Tatsaki, E.; Mossialos, D.; Frillingos, S.; Amoutzias, G. NAT/NCS2-hound: A webserver for the detection and evolutionary classification of prokaryotic and eukaryotic nucleobase-cation symporters of the NAT/NCS2 family. GigaScience 2018, 7, 1–8. [Google Scholar] [CrossRef]
- Papakostas, K.; Botou, M.; Frillingos, S. Functional identification of the hypoxanthine/guanine transporters YjcD and YgfQ and the adenine transporters PurP and YicO of Escherichia coli K-12. J. Biol. Chem. 2013, 288, 36827–36840. [Google Scholar] [CrossRef]
- Walzer, K.A.; Adomako-Ankomah, Y.; Dam, R.A.; Herrmann, D.C.; Schares, G.; Dubey, J.P.; Boyle, J.P. Hammondia hammondi, an avirulent relative of Toxoplasma gondii, has functional orthologs of known T. gondii virulence genes. Proc. Natl. Acad. Sci. USA 2013, 110, 7446–7451. [Google Scholar] [CrossRef]
- Ali, J.A.M.; Creek, D.J.; Burgess, K.; Allison, H.C.; Field, M.C.; Mäser, P.; De Koning, H.P. Pyrimidine salvage in Trypanosoma brucei bloodstream forms and the trypanocidal action of halogenated pyrimidines. Mol. Pharmacol. 2013, 83, 439–453. [Google Scholar] [CrossRef]
- Gudin, S.; Quashie, N.B.; Candlish, D.; Al-Salabi, M.I.; Jarvis, S.M.; Ranford-Cartwright, L.C.; De Koning, H.P. Trypanosoma brucei: A survey of pyrimidine transport activities. Exp. Parasitol. 2006, 114, 118–125. [Google Scholar] [CrossRef]
- De Koning, H.P.; Watson, C.J.; Jarvis, S.M. Characterization of a nucleoside/proton symporter in procyclic Trypanosoma brucei brucei. J. Biol. Chem. 1998, 273, 9486–9494. [Google Scholar] [CrossRef]
- De Koning, H.P.; Jarvis, S.M. Adenosine transporters in bloodstream forms of Trypanosoma brucei brucei: Substrate recognition motifs and affinity for trypanocidal drugs. Mol. Pharmacol. 1999, 56, 1162–1170. [Google Scholar] [CrossRef]
- Wallace, L.J.M.; Candlish, D.; De Koning, H.P. Different substrate recognition motifs of human and trypanosome nucleobase transporters. Selective uptake of purine antimetabolites. J. Biol. Chem. 2002, 277, 26149–26156. [Google Scholar] [CrossRef] [PubMed]
- Al-Salabi, M.I.; De Koning, H.P. Purine nucleobase transport in amastigotes of Leishmania mexicana: Involvement in allopurinol uptake. Antimicrob. Agents Chemother. 2005, 49, 3682–3689. [Google Scholar] [CrossRef] [PubMed]
- Al-Salabi, M.I.; Wallace, L.J.; Luscher, A.; Mäser, P.; Candlish, D.; Rodenko, B.; Gould, M.K.; Jabeen, I.; Ajith, S.N.; De Koning, H.P. Molecular interactions underlying the unusually high adenosine affinity of a novel Trypanosoma brucei nucleoside transporter. Mol. Pharmacol. 2007, 71, 921–929. [Google Scholar] [CrossRef]
- Rodenko, B.; Wanner, M.J.; Alkhaldi, A.A.M.; Ebiloma, G.U.; Barnes, R.L.; Kaiser, M.; Brun, R.; McCulloch, R.; Koomen, G.J.; De Koning, H.P. Targeting the parasite’s DNA with methyltriazenyl purine analogs is a safe, selective, and efficacious antitrypanosomal strategy. Antimicrob. Agents Chemother. 2015, 59, 6708–6716. [Google Scholar] [CrossRef] [PubMed]
- Vodnala, S.K.; Lundbäck, T.; Yeheskieli, E.; Sjöberg, B.; Gustavsson, A.L.; Svensson, R.; Olivera, G.C.; Eze, A.A.; De Koning, H.P.; Hammarström, L.G.J.; et al. Structure-activity relationships of synthetic cordycepin analogues as experimental therapeutics for Africa trypanosomiasis. J. Med. Chem. 2013, 56, 9861–9873. [Google Scholar] [CrossRef]
- Hulpia, F.; Mabille, D.; Campagnaro, G.D.; Schuman, G.; Maes, L.; Roditi, I.; Hofer, A.; De Koning, H.P.; Caljon, G.; Van Calenbergh, S. Combining the tubercidin and cordycepin scaffolds results in highly active candidates for the treatment of late stage sleeping sickness. Nat. Commun. 2019, 10, 5564. [Google Scholar] [CrossRef] [PubMed]
- Munday, J.C.; Settimo, L.; De Koning, H.P. Transport proteins determine drug sensitivity and resistance in a protozoan parasite, Trypanosoma brucei. Front. Pharmacol. 2015, 6, 32. [Google Scholar] [CrossRef]
- Collar, C.J.; Al-Salabi, M.I.; Stewart, M.L.; Barrett, M.P.; Wilson, W.D.; De Koning, H.P. Predictive computational models of substrate binding by a nucleoside transporter. J. Biol. Chem. 2009, 284, 34028–34035. [Google Scholar] [CrossRef]
- El Kouni, M.H. Adenosine metabolism in Toxoplasma gondii: Potential targets for chemotherapy. Curr. Pharm. Des. 2007, 13, 581–597. [Google Scholar] [CrossRef]
- Schwartzman, J.D.; Pfefferkorn, E.R. Toxoplasma gondii: Purine synthesis and salvage in mutant host cells and parasites. Exp. Parasitol. 1982, 53, 77–86. [Google Scholar] [CrossRef]
- Ghosh, M.; Mukherjee, T. Stage-specific development of a novel adenosine transporter in Leishmania donovani amastigotes. Mol. Biochem. Parasitol. 2000, 108, 93–99. [Google Scholar] [CrossRef]
- Boison, D. Adenosine kinase: Exploitation for therapeutic gain. Pharmacol. Rev. 2013, 65, 906–943. [Google Scholar] [CrossRef]
- Daddona, P.E.; Wiesmann, W.P.; Lambros, C.; Kelley, W.N.; Webster, H.K. Human malaria parasite adenosine deaminase. Characterization in host enzyme-deficient erythrocyte culture. J. Biol. Chem. 1984, 259, 1472–1475. [Google Scholar] [CrossRef]
- Ward, J.L.; Sherali, A.; Mo, Z.P.; Tse, C.M. Kinetic and pharmacological properties of cloned human equilibrative nucleoside transporters, ENT1 and ENT2, stably expressed in nucleoside transporter-deficient PK15 cells. ENT2 exhibits a low affinity for guanosine and cytidine but a high affinity for inosine. J. Biol. Chem. 2000, 275, 8375–8381. [Google Scholar]
- Griffith, D.A.; Jarvis, S.M. Nucleoside and nucleobase transport systems of mammalian cells. Biochim. Biophys. Acta Rev. Biomembr. 1996, 1286, 153–181. [Google Scholar] [CrossRef]
- Wright, N.J.; Lee, S.-Y. Structures of human ENT1 in complex with adenosine reuptake inhibitors. Nat. Struct. Mol. Biol. 2019, 26, 599–606. [Google Scholar] [CrossRef] [PubMed]
- Diallinas, G. Allopurinol and xanthine use different translocation mechanisms and trajectories in the fungal UapA transporter. Biochimie 2013, 95, 1755–1764. [Google Scholar] [CrossRef]
- Kourkoulou, A.; Zantza, I.; Foti, K.; Mikros, E.; Diallinas, G. Context-dependent cryptic roles of specific residues in substrate selectivity of the UapA purine transporter. J. Mol. Biol. 2021, 433, 166814. [Google Scholar] [CrossRef]
- Tatsaki, E.; Anagnostopoulou, E.; Zantza, I.; Lazou, P.; Mikros, E.; Frillingos, S. Identification of new specificity determinants in bacterial purine nucleobase transporters based on an ancestral sequence reconstruction approach. J. Mol. Biol. 2021, 433, 167329. [Google Scholar] [CrossRef]
- Hulpia, F.; Bouton, J.; Campagnaro, G.D.; Alfayez, I.A.; Mabille, D.; Maes, L.; De Koning, H.P.; Caljon, G.; Van Calenbergh, S. C6–O-alkylated 7-deazainosine nucleoside analogues: Discovery of potent and selective anti-sleeping sickness agents. Eur. J. Med. Chem. 2020, 188, 112018. [Google Scholar] [CrossRef]
- Bouton, J.; Furquim d’Almeida, A.; Maes, L.; Caljon, G.; Van Calenbergh, S.; Hulpia, F. Synthesis and evaluation of 3′-fluorinated 7-deazapurine nucleosides as antikinetoplastid agents. Eur. J. Med. Chem. 2021, 216, 113290. [Google Scholar] [CrossRef]
- Natto, M.J.; Hulpia, F.; Kalkman, E.R.; Baillie, S.; Alhejeli, A.; AlSiari, T.; Eckmann, S.; Van Calenbergh, S.; De Koning, H.P. Validation of a resorufin-based in vitro high throughput screen for Trichomonas vaginalis identifies highly potent deazapurine nucleoside analogues with in vivo efficacy. ACS Infect. Dis. 2021, 7, 1752–1764. [Google Scholar] [CrossRef]
- Bouton, J.; Ferreira de Almeida Fiuza, L.; Cardoso Santos, C.; Mazzarella, M.A.; de Soeiro, M.N.C.; Maes, L.; Karalic, I.; Caljon, G.; Van Calenbergh, S. Revisiting pyrazolo[3,4-d]pyrimidine nucleosides as anti-Trypanosoma cruzi and antileishmanial agents. J. Med. Chem. 2021, 64, 4206–4238. [Google Scholar] [CrossRef] [PubMed]
- Biebinger, S.; Elizabeth Wirtz, L.; Lorenz, P.; Clayton, C. Vectors for inducible expression of toxic gene products in bloodstream and procyclic Trypanosoma brucei. Mol. Biochem. Parasitol. 1997, 85, 99–112. [Google Scholar] [CrossRef]
- Al-Salabi, M.I.; Wallace, L.J.M.; De Koning, H.P. A Leishmania major nucleobase transporter responsible for allopurinol uptake is a functional homolog of the Trypanosoma brucei H2 transporter. Mol. Pharmacol. 2003, 63, 814–820. [Google Scholar] [CrossRef] [PubMed]
- Campagnaro, G.D.; Alzahrani, K.J.H.; Munday, J.C.; De Koning, H.P. Trypanosoma brucei bloodstream forms express highly specific and separate transporters for adenine and hypoxanthine; evidence for a new protozoan purine transporter family? Mol. Biochem. Parasitol. 2018, 220, 46–56. [Google Scholar] [CrossRef] [PubMed]
- Cheng, Y.-C.; Prusoff, W.H. Relationship between the inhibition constant (KI) and the concentration of inhibitor which causes 50 per cent inhibition (I50) of an enzymatic reaction. Biochem. Pharmacol. 1973, 22, 3099–3108. [Google Scholar]
- Madeira, F.; mi Park, Y.; Lee, J.; Buso, N.; Gur, T.; Madhusoodanan, N.; Basutkar, P.; Tivey, A.R.N.; Potter, S.C.; Finn, R.D.; et al. The EMBL-EBI search and sequence analysis tools APIs in 2019. Nucleic Acids Res. 2019, 47, W636–W641. [Google Scholar] [CrossRef]
- Kumar, S.; Stecher, G.; Li, M.; Knyaz, C.; Tamura, K. MEGA X: Molecular Evolutionary Genetics Analysis across Computing Platforms. Mol. Biol. Evol. 2018, 35, 1547–1549. [Google Scholar] [CrossRef]





| Substrate | [Permeant] (μM) | Rate (pmol(107 Cells)−1s−1 ± SD) | |||||
|---|---|---|---|---|---|---|---|
| EV | P1 (Non-Zero) | P2 (Non-Linear) | +Tg244440 | P1 (Non-Zero) | P2 (Non-Linear) | ||
| Guanine | 0.05 | 0.0.00059 ± 0.900026 | 0.11 | 0.90 | 0.037 ± 0.003 | 0.0012 | >0.99 |
| 25 * | 0.0015 ± 0.0002 | 0.05 | >0.99 | 0.00092 ± 0.00067 | 0.40 | >0.99 | |
| Hypoxanthine | 0.1 | 0.0066 ± 0.0007 | 0.012 | >0.99 | 0.048 ± 0.0004 | <0.0001 | >0.99 |
| 1000 * | 0.00055 | N/A | N/A | −0.01 ± 0.01 | N/A | N/A | |
| Km or Ki (µM) | n | ΔG0 (kJ/mol) | δ(ΔG0) (kJ/mol) | Relative to | |
|---|---|---|---|---|---|
| Purine nucleobases | |||||
| Guanine | 1.25 ± 0.16 | 3 | −33.7 | ||
| Hypoxanthine | 2.26 ± 0.36 | 4 | −32.2 | 1.5 | Guanine |
| Xanthine | 42.4 ± 4.2 | 3 | −24.9 | 8.7 | Guanine |
| Adenine | 425 ± 80 | 8 | −19.2 | 13.0 | Hypoxanthine |
| 6-Chloropurine | 109 ± 8 | 4 | −22.6 | 9.6 | Hypoxanthine |
| 6-Mercaptopurine | 3.60 ± 0.80 | 3 | −31.1 | 1.2 | Hypoxanthine |
| 6-Thioguanine | 1.64 ± 0.25 | 3 | −33.0 | 0.7 | Guanine |
| 1-deazahypoxanthine | 194 ± 43 | 5 | −21.2 | 11.0 | Hypoxanthine |
| 1-methylhypoxanthine | 86.2 ± 7.8 | 4 | −23.2 | 9.0 | Hypoxanthine |
| 2,6-diaminopurine | 211 ± 3.5 | 3 | −21.0 | −1.7 | Adenine |
| 3-deazahypoxanthine | 59.5 ± 7.2 | 4 | −24.1 | 8.1 | Hypoxanthine |
| 3-methylxanthine | 14.6 ± 3.1 | 4 | −27.6 | −2.7 | Xanthine |
| 7-deazahypoxanthine | 318 ± 30 | 4 | −20.0 | 12.3 | Hypoxanthine |
| 7-deazaguanine | 49.2 ± 5.8 | 4 | −24.6 | 9.1 | Guanine |
| Allopurinol | 185 ± 15 | 4 | −21.3 | 10.9 | Hypoxanthine |
| 7-Br-allopurinol | 65.7 ± 3.7 | 3 | −23.9 | −2.5 | Allopurinol |
| Aminopurinol | 223 ± 27 | 3 | −20.8 | −1.6 | Adenine |
| 8-azahypoxanthine | >1000 | 2 | <−17.1 | >15.1 | Hypoxanthine |
| 9-deazahypoxanthine | 9.12 ± 0.66 | 3 | −28.8 | 3.5 | Hypoxanthine |
| 9-deazaguanine | 9.64 ± 1.59 | 4 | −28.6 | 5.1 | Guanine |
| 9-deazaxanthine | 48.2 ± 5.4 | 3 | −24.6 | 0.3 | Xanthine |
| 9-Me,1-deazahypoxanthine | >1000 | 2 | <−17.1 | >15.1 | Hypoxanthine |
| Purine nucleosides | |||||
| Guanosine | 3.30 ± 0.30 | 7 | −31.3 | 2.4 | Guanine |
| Inosine | 4.05 ± 1.37 | 4 | −30.8 | 1.4 | Hypoxanthine |
| Adenosine | 68.18 ± 2.86 | 5 | −23.8 | −4.5 | Adenine |
| 2′-deoxyinosine | 117 ± 12 | 4 | −22.4 | 8.3 | Inosine |
| 3′-deoxyinosine | 102 ± 15 | 3 | −22.8 | 8.0 | Inosine |
| 2′,3′-dideoxyinosine | 698 ± 52 | 3 | −18.0 | 12.8 | Inosine |
| 5′-deoxyinosine | 35.3 ± 3.0 | 3 | −25.4 | 5.4 | Inosine |
| 2′-deoxyguanosine | 281 ± 6 | 3 | −20.3 | 11.0 | Guanosine |
| 3′-deoxyguanosine | 196 ± 12 | 3 | −21.2 | 10.1 | Guanosine |
| 2′-deoxyadenosine | 83.9 ± 6.2 | 4 | −23.3 | 0.5 | Adenosine |
| 3′-deoxyadenosine | 71.9 ± 2.3 | 3 | −23.6 | 0.1 | Adenosine |
| 5′-deoxyadenosine | 85.2 ± 4.2 | 3 | −23.2 | 0.6 | Adenosine |
| 3′-deoxy,7-deazaadenosine | 797 ± 116 | 3 | −17.7 | 6.1 | Adenosine |
| Adenine arabinoside (Ara-A) | 310 ± 14.0 | 3 | −20.0 | −3.8 | Adenosine |
| 1-deazainosine | 524 ± 53 | 3 | −18.7 | 12.1 | Inosine |
| 1-deazaadenosine | 191 ± 10 | 3 | −21.2 | 2.6 | Adenosine |
| 3-deazaadenosine | 1220 ± 140 | 3 | −16.6 | 7.2 | Adenosine |
| Nebularine | 491 ± 75 | 3 | −18.9 | 4.9 | Adenosine |
| 6-thioinosine | 7.3 ± 1.2 | 4 | −29.3 | 1.4 | Inosine |
| 6-O-methyl,7-deaza,7-Cl-inosine | 39.6 ± 2.8 | 3 | −25.1 | 5.7 | Inosine |
| 6-O-ethyl,7-deaza,7-Cl-inosine | 169 ± 10 | 3 | −21.5 | 9.2 | Inosine |
| 7-deazainosine | 6.32 ± 0.32 | 3 | −29.7 | 1.1 | Inosine |
| 7-deaza-7-Chloroinosine | 8.9 ± 1.3 | 3 | −28.8 | 1.9 | Inosine |
| 7-deaza-7-Bromoinosine | 7.8 ± 1.2 | 3 | −29.2 | 1.6 | Inosine |
| 7-deaza-2′-deoxyinosine | 52.3 ± 8.4 | 3 | −24.4 | −2.0 | 2′-Deoxyinosine |
| 7-deaza-3′-deoxyinosine | 70.8 ± 11.2 | 3 | −23.7 | −0.9 | 3′-Deoxyinosine |
| S-(4-nitrobenzyl)-6-thioinosine (NBMPR) | 78 ± 6 | 3 | −23.4 | 0.35 | Adenosine |
Publisher’s Note: MDPI stays neutral with regard to jurisdictional claims in published maps and institutional affiliations. |
© 2022 by the authors. Licensee MDPI, Basel, Switzerland. This article is an open access article distributed under the terms and conditions of the Creative Commons Attribution (CC BY) license (https://creativecommons.org/licenses/by/4.0/).
Share and Cite
Campagnaro, G.D.; Elati, H.A.A.; Balaska, S.; Martin Abril, M.E.; Natto, M.J.; Hulpia, F.; Lee, K.; Sheiner, L.; Van Calenbergh, S.; de Koning, H.P. A Toxoplasma gondii Oxopurine Transporter Binds Nucleobases and Nucleosides Using Different Binding Modes. Int. J. Mol. Sci. 2022, 23, 710. https://doi.org/10.3390/ijms23020710
Campagnaro GD, Elati HAA, Balaska S, Martin Abril ME, Natto MJ, Hulpia F, Lee K, Sheiner L, Van Calenbergh S, de Koning HP. A Toxoplasma gondii Oxopurine Transporter Binds Nucleobases and Nucleosides Using Different Binding Modes. International Journal of Molecular Sciences. 2022; 23(2):710. https://doi.org/10.3390/ijms23020710
Chicago/Turabian StyleCampagnaro, Gustavo D., Hamza A. A. Elati, Sofia Balaska, Maria Esther Martin Abril, Manal J. Natto, Fabian Hulpia, Kelly Lee, Lilach Sheiner, Serge Van Calenbergh, and Harry P. de Koning. 2022. "A Toxoplasma gondii Oxopurine Transporter Binds Nucleobases and Nucleosides Using Different Binding Modes" International Journal of Molecular Sciences 23, no. 2: 710. https://doi.org/10.3390/ijms23020710
APA StyleCampagnaro, G. D., Elati, H. A. A., Balaska, S., Martin Abril, M. E., Natto, M. J., Hulpia, F., Lee, K., Sheiner, L., Van Calenbergh, S., & de Koning, H. P. (2022). A Toxoplasma gondii Oxopurine Transporter Binds Nucleobases and Nucleosides Using Different Binding Modes. International Journal of Molecular Sciences, 23(2), 710. https://doi.org/10.3390/ijms23020710

