Evaluation of Anti-Candida albicans Activity and Release of Ketoconazole in PMMA-G-PEG 4000 Films
Abstract
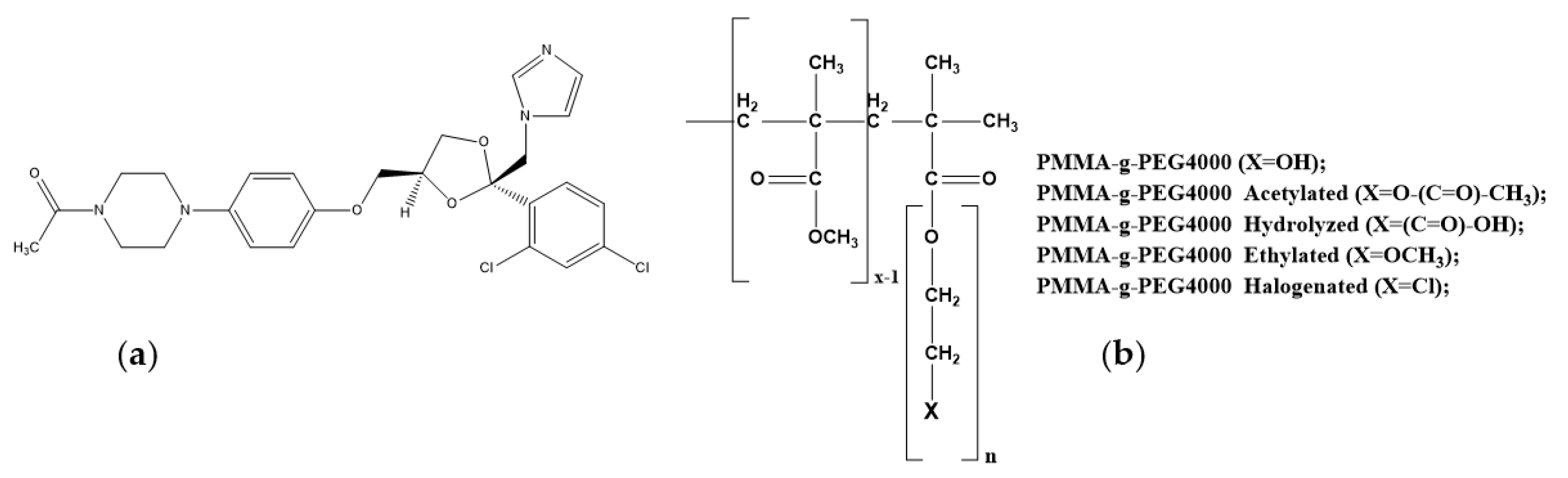
1. Introduction
2. Results
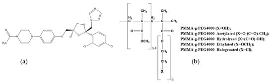
2.1. AFM Analyses of PMMA-g-PEG and Derivatives with Ketoconazole Incorporated
2.2. TGA Analysis of PMMA-g-PEG 4000, PMMA-g-PEG 4000 Derivatives and with Ketoconazole Incorporated
2.3. DTA Analysis of PMMA-g-PEG 4000, PMMA-g-PEG 4000 Derivatives and with Ketoconazole Incorporated
2.4. Analysis XRD of PMMA-g-PEG 4000, PMMA-g-PEG 4000 Derivatives and with Ketoconazole Incorporated
2.5. Analysis FTIR of PMMA-g-PEG 4000, PMMA-g-PEG 4000 Derivatives and with Ketoconazole Incorporated
2.6. In Vitro Release Study
2.7. In Vitro Anti-C. albicans Evaluation
2.8. Cell Viability
3. Materials and Methods
3.1. Chemical Reagents
3.2. Incorporation of the Ketoconazole
3.3. Characterizations
3.3.1. Atomic Force Microscope (AFM)
3.3.2. Thermogravimetrics (TGA) and Thermal Differential (DTA) Analyses
3.3.3. X-ray Diffraction (XRD)
3.3.4. Fourier-Transform Infrared Spectroscopy (FTIR)
3.4. In Vitro Release Study
3.5. In Vitro Anti-C. albicans Evaluation
3.6. Cell Viability
3.7. Statistical Analysis
4. Conclusions
Author Contributions
Funding
Institutional Review Board Statement
Informed Consent Statement
Data Availability Statement
Conflicts of Interest
References
- Sharma, N.; Harikumar, S.L. Polymers for Colon Targeted Drug Delivery: A Review. J. Drug Dev. Res. 2013, 5, 21–31. [Google Scholar]
- Wilson, C.; Mukherji, G.; Sha, H.K. Biopolymers and Colonic Delivery; Informa Healthcare: New York, NY, USA, 2008; Volume 1, pp. 295–309. [Google Scholar] [CrossRef]
- Jose, S.; Dhanya, K.; Cinu, T.; Litty, J.; Chacko, A. Colon targeted drug delivery: Different approaches. J. Young Pharm. 2009, 1, 13. [Google Scholar] [CrossRef]
- Godwin, A.; Bolina, K.; Clochard, M.-C.; Dinand, E.; Rankin, S.; Simic, S.; Brocchini, S. New strategies for polymer development in pharmaceutical science—A short review. J. Pharm. Pharmacol. 2001, 53, 1175–1184. [Google Scholar] [CrossRef]
- Grassi, M.; Grassi, G. Mathematical Modelling and Controlled Drug Delivery: Matrix Systems. Curr. Drug Deliv. 2005, 2, 97–116. [Google Scholar] [CrossRef]
- Langer, R.S.; Wise, D.L. (Eds.) Medical Applications of Controlled Release, Applications and Evaluation; CRC Press: Boca Raton, FL, USA, 1984; Volumes I–II. [Google Scholar]
- Langer, R. New Methods of Drug Delivery. Science 1990, 249, 1527–1533. [Google Scholar] [CrossRef] [PubMed]
- Pillai, O.; Dhanikula, A.B.; Panchagnula, R. Drug delivery: An odyssey of 100 years. Curr. Opin. Chem. Biol. 2001, 5, 439–446. [Google Scholar] [CrossRef]
- Şen, M.; Yakar, A. Controlled release of antifungal drug terbinafine hydrochloride from poly(N-vinyl 2-pyrrolidone/itaconic acid) hydrogels. Int. J. Pharm. 2001, 228, 33–41. [Google Scholar] [CrossRef]
- Kathryn, E.U.; Scott, M.; Cannizzaro, R.S.L. Polymeric systems for controlled drug release. Chem. Rev. 1999, 99, 3181–3198. [Google Scholar] [CrossRef]
- Villanova, J.C.O.; Orefice, R.L.; Cunha, A.S. Aplicações Farmacêuticas de Polímeros. Polímeros 2010, 20, 51–64. [Google Scholar] [CrossRef]
- Pillai, O.; Panchagnula, R. Polymers in drug delivery. Curr. Opin. Chem. Biol. 2001, 5, 447. [Google Scholar] [CrossRef]
- Shuang, L.; Ronak, M.; Kristi, L.K. A label-free Geno sensor for BRCA1 related sequence based on impedance spectroscopy. Macromolecules 2009, 42, 3–13. [Google Scholar] [CrossRef]
- Oliveira, R.B.; Lima, E.M. Polímeros na Obtenção de Sistemas de Liberação de fármacos. Rev. Eletrôn. Farm. 2006, 3, 29–35. [Google Scholar] [CrossRef]
- Rios, M. Polymers for Controlled Release: Formulation Follows Function. Pharm. Technol. 2005, 29, 42–50. [Google Scholar]
- Mano, E.B.; Mendes, L.C. Introdução a Polímeros; Edgard Blücher: São Paulo, Brazil, 1999. [Google Scholar]
- Mohamed, M.S.; Eid, A.M.; Elgadir, M.; Mahdy, M.A. Preparation and release characteristics of Itraconazole polymeric films for topical application. Int. J. Pharm. Pharm. Sci. 2013, 5, 167–170. [Google Scholar]
- Salama, M.; Mahdy, M.A.; Mohamed, A.; Mohamed, A.T.; Keleb, E.I.; Omar, A.A.; Elmarzugi, N.A. Formulation and Evaluation of Ketoconazole Polymeric Films for Topical Application. J. Appl. Pharm. Sci. 2015, 5, 028–032. [Google Scholar] [CrossRef]
- dos Santos Rosa, J.; Silveira, B.M.; Novack, K.M. Chemistry Modification of PMMA-g-PEG copolymer. Macromol. Symp. 2014, 343, 78–87. [Google Scholar] [CrossRef]
- Dos Santos, V.M.R.; NovacK, M.K.; De Sousa, D.V.M.; Oliveira, S.R.; Donnici, C.L. Síntese e Caracterização de novos copolímeros fosforilados. Polímeros 2015, 25, 19–24. [Google Scholar] [CrossRef][Green Version]
- Dos Santos, V.M.R.; Novack, K.M.; Silveira, B.M.; Marcondes, H.C. Preparation, Characterization, and Biological Activity against Artemia Salina of News Copolymer PMMA-g-PEG Derivatives Incorporated with Fluconazole. Macromol. Symp. 2018, 378, 1700066. [Google Scholar] [CrossRef]
- Nascimento, L.; Lopes, S.; Teodolino, A.; Novack, K.; Barboza, A.P.; Neves, B.; Azevedo, M.L.; Sousa, L.; Dos Santos, V. Novel Peg 4000 Derivatives and Its use in Controlled Release of Drug Indomethacin. Quím. Nova 2020, 43, 685–691. [Google Scholar] [CrossRef]
- Azevedo, M.L.S.; Silveira, B.M.; Novack, K.M.; Barboza, A.P.M.; Neves, B.R.A.; Dos Santos, V.M.R. Study of Controlled Release of PMMA-g-PEG Copolymer and Derivatives Incorporated with the Indomethacin Drug. Macromol. Symp. 2018, 381, 1800145. [Google Scholar] [CrossRef]
- Rapalli, V.k.; Banerjee, S.; Khan, S.; NathJha, P.; Gupta, G.; Dua, K.; Hasnain, M.D.S.; Nayak, A.K.; Dubey, S.K.; Singhvi, G. QbD-driven formulation development and evaluation of topical hydrogel containing ketoconazole loaded cubosomes. Mater. Sci. Eng. C 2021, 119, 111548. [Google Scholar] [CrossRef]
- Mayer, F.L.; Wilson, D.; Hube, B. Candida albicans pathogenicity mechanisms. Virulence 2013, 4, 119–128. [Google Scholar] [CrossRef] [PubMed]
- Monroy-Pérez, E.; Paniagua-Contreras, G.L.; Rodríguez-Purata, P.; Vaca-Paniagua, F.; Vázquez-Villaseñor, M.; Díaz-Velásquez, C.; Uribe-García, A.; Vaca, S. High Virulence and Antifungal Resistance in Clinical Strains of Candida albicans. Can. J. Infect. Dis. Med. Microbiol. 2016, 2016, 5930489. [Google Scholar] [CrossRef] [PubMed]
- Kenechukwu, F.C.; Attama, A.A.; Ibezim, E.C.; Nnamani, P.O.; Umeyor, C.E.; Uronnachi, E.M.; Momoh, M.A.; Akpa, P.A.; Ozioko, A.C. Novel Intravaginal Drug Delivery System Based on Molecularly PEGylated Lipid Matrices for Improved Antifungal Activity of Miconazole Nitrate. BioMed Res. Int. 2018, 2018, 3714329. [Google Scholar] [CrossRef] [PubMed]
- Kim, K.-I.; Kim, D.-A.; Patel, K.D.; Shin, U.S.; Kim, H.-W.; Lee, J.-H.; Lee, H.-H. Carbon nanotube incorporation in PMMA to prevent microbial adhesion. Sci. Rep. 2019, 9, 4921. [Google Scholar] [CrossRef] [PubMed]
- Neves, B.R.A.; Salmon, M.E.; Russell, P.E.; Troughton, E.B. Spread Coating of OPA on Mica: From Multilayers to Self-Assembled Monolayers. Langmuir 2001, 17, 8193–8198. [Google Scholar] [CrossRef]
- Nagaonkar, D.; Gaikwad, S.; Rai, M. Catharanthus roseus leaf extract-synthesized chitosan nanoparticles for controlled in vitro release of chloramphenicol and ketoconazole. Colloid Polym. Sci. 2015, 293, 1465–1473. [Google Scholar] [CrossRef]
- Chen, M.; Borlak, J.; Tong, W. High lipophilicity and high daily dose of oral medications are associated with significant risk for drug-induced liver injury. Hepatology 2013, 58, 388–396. [Google Scholar] [CrossRef]
- Dick, M.K.; Miao, J.H.; Limaiem, F. Histology, Fibroblast. In StatPearls; StatPearls Publishing: Treasure Island, FL, USA, 2022. [Google Scholar]
- CLSI. Methods for Dilution Antimicrobial Susceptibility Tests for Bacteria That Grow Aerobically, 2nd ed.; Clinical and Laboratory Standards Institute: Malvern, PA, USA, 2012. [Google Scholar]
- Skehan, P.; Storeng, R.; Scudiero, D.; Monks, A.; McMahon, J.; Vistica, D.; Warren, J.T.; Bokesch, H.; Kenney, S.; Boyd, M.R. New Colorimetric Cytotoxicity Assay for Anticancer-Drug Screening. J. Natl. Cancer Inst. 1990, 82, 1107–1112. [Google Scholar] [CrossRef]













| Sample | MIC (µg/mL) |
|---|---|
| Ketoconazole | 125 |
| PMMA-g-PEG 4000 with ketoconazole incorporated | 500 * (96 #) |
| PMMA-g-PEG 4000 acetylate with ketoconazole incorporated | 1000 * (192 #) |
| PMMA-g-PEG 4000 hydrolyzed with ketoconazole incorporated | 500 * (96 #) |
| PMMA-g-PEG 4000 ethylated with ketoconazole incorporated | 500 * (96 #) |
| PMMA-g-PEG 4000 halogenated with ketoconazole incorporated | 500 * (96 #) |
Publisher’s Note: MDPI stays neutral with regard to jurisdictional claims in published maps and institutional affiliations. |
© 2022 by the authors. Licensee MDPI, Basel, Switzerland. This article is an open access article distributed under the terms and conditions of the Creative Commons Attribution (CC BY) license (https://creativecommons.org/licenses/by/4.0/).
Share and Cite
Reynaldo, J.R.; Novack, K.M.; Sousa, L.R.D.; Vieira, P.M.d.A.; Amparo, T.R.; Souza, G.H.B.d.; Teixeira, L.F.M.; Barboza, A.P.M.; Neves, B.R.A.; Alvarenga, M.E.; et al. Evaluation of Anti-Candida albicans Activity and Release of Ketoconazole in PMMA-G-PEG 4000 Films. Int. J. Mol. Sci. 2022, 23, 10775. https://doi.org/10.3390/ijms231810775
Reynaldo JR, Novack KM, Sousa LRD, Vieira PMdA, Amparo TR, Souza GHBd, Teixeira LFM, Barboza APM, Neves BRA, Alvarenga ME, et al. Evaluation of Anti-Candida albicans Activity and Release of Ketoconazole in PMMA-G-PEG 4000 Films. International Journal of Molecular Sciences. 2022; 23(18):10775. https://doi.org/10.3390/ijms231810775
Chicago/Turabian StyleReynaldo, Juliana Ribeiro, Kátia Monteiro Novack, Lucas Resende Dutra Sousa, Paula Melo de Abreu Vieira, Tatiane Roquete Amparo, Gustavo Henrique Bianco de Souza, Luiz Fernando Medeiros Teixeira, Ana Paula Moreira Barboza, Bernardo Ruegger Almeida Neves, Meiry Edivirges Alvarenga, and et al. 2022. "Evaluation of Anti-Candida albicans Activity and Release of Ketoconazole in PMMA-G-PEG 4000 Films" International Journal of Molecular Sciences 23, no. 18: 10775. https://doi.org/10.3390/ijms231810775
APA StyleReynaldo, J. R., Novack, K. M., Sousa, L. R. D., Vieira, P. M. d. A., Amparo, T. R., Souza, G. H. B. d., Teixeira, L. F. M., Barboza, A. P. M., Neves, B. R. A., Alvarenga, M. E., Martins, F. T., & Santos, V. M. R. d. (2022). Evaluation of Anti-Candida albicans Activity and Release of Ketoconazole in PMMA-G-PEG 4000 Films. International Journal of Molecular Sciences, 23(18), 10775. https://doi.org/10.3390/ijms231810775

