Truxene-Centered Electron Acceptors for Non-Fullerene Solar Cells: Alkyl Chain and Branched Arm Engineering
Abstract
:1. Introduction
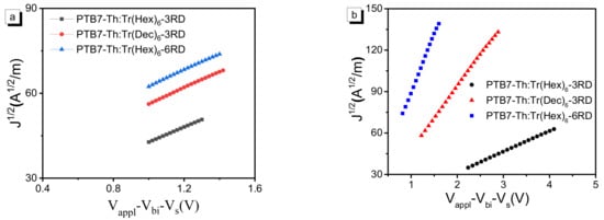
2. Results and Discussion
3. Materials and Methods
Materials
4. Conclusions
Supplementary Materials
Author Contributions
Funding
Institutional Review Board Statement
Informed Consent Statement
Data Availability Statement
Acknowledgments
Conflicts of Interest
References
- Lu, L.; Zheng, T.; Wu, Q.; Schneider, A.M.; Zhao, D.; Yu, L. Recent advances in bulk heterojunction polymer solar cells. Chem. Rev. 2015, 115, 12666–12731. [Google Scholar] [CrossRef] [PubMed]
- He, Z.; Xiao, B.; Liu, F.; Wu, H.; Yang, Y.; Xiao, S.; Wang, C.; Russell, T.P.; Cao, Y. Single-junction polymer solar cells with high efficiency and photovoltage. Nat. Photon. 2015, 9, 174–179. [Google Scholar] [CrossRef]
- Meng, L.; Zhang, Y.; Wan, X.; Li, C.; Zhang, X.; Wang, Y.; Ke, X.; Xiao, Z.; Ding, L.; Xia, R.; et al. Organic and solution-processed tandem solar cells with 17.3% efficiency. Science 2018, 361, 1094–1098. [Google Scholar] [CrossRef] [PubMed]
- Hou, J.; Inganäs, O.; Friend, R.H.; Gao, F. Organic solar cells based on non-fullerene acceptors. Nat. Mater. 2018, 17, 119–128. [Google Scholar] [CrossRef]
- Wang, J.; Zhan, X. Fused-ring electron acceptors for photovoltaics and beyond. Acc. Chem. Res. 2020, 54, 132–143. [Google Scholar] [CrossRef]
- Liu, W.; Xu, X.; Yuan, J.; Leclerc, M.; Zou, Y.; Li, Y. Low-bandgap non-fullerene acceptors enabling high-performance organic solar cells. ACS Energy Lett. 2021, 6, 598–608. [Google Scholar] [CrossRef]
- Zheng, Z.; Wang, J.; Bi, P.; Ren, J.; Wang, Y.; Yang, Y.; Liu, X.; Zhang, S.; Hou, J. Tandem organic solar cell with 20.2% efficiency. Joule 2022, 6, 171–184. [Google Scholar] [CrossRef]
- Armin, A.; Li, W.; Sandberg, O.J.; Xiao, Z.; Ding, L.; Nelson, J.; Neher, D.; Vandewal, K.; Shoaee, S.; Wang, T.; et al. A history and perspective of non-fullerene electron acceptors for organic solar cells. Adv. Energy Mater. 2021, 11, 2003570. [Google Scholar] [CrossRef]
- Lin, Y.; Wang, J.; Zhang, Z.; Bai, H.; Li, Y.; Zhu, D.; Zhan, X. An electron acceptor challenging fullerenes for efficient polymer solar cells. Adv. Mater. 2015, 27, 1170–1174. [Google Scholar] [CrossRef]
- Yuan, J.; Zhang, Y.Q.; Zhou, L.; Zhang, G.; Yip, H.-L.; Lau, T.-K.; Lu, X.; Zhu, C.; Peng, H.; Johnson, P.; et al. Single-junction organic solar cell with over 15% efficiency using fused-ring acceptor with electron-deficient core. Joule 2019, 3, 1140–1151. [Google Scholar] [CrossRef]
- Wang, J.; Liu, K.; Ma, L.; Zhan, X. Triarylamine: Versatile platform for organic, dye-sensitized, and perovskite solar cells. Chem. Rev. 2016, 116, 14675–14725. [Google Scholar] [CrossRef]
- Zhang, A.; Li, C.; Yang, F.; Zhang, J.; Wang, Z.; Wei, Z. An electron acceptor with porphyrin and perylene bisimides for efficient non-fullerene solar cells. Angew. Chem. Int. Ed. 2017, 129, 2738–2742. [Google Scholar] [CrossRef]
- Chen, S.; Meng, D.; Huang, J.; Liang, N.; Li, Y.; Liu, F.; Yan, H.; Wang, Z. Symmetry-induced orderly assembly achieving high-performance perylene diimide-based nonfullerene organic solar cells. CCS Chem. 2021, 3, 78–84. [Google Scholar] [CrossRef]
- Lin, K.; Xie, B.; Wang, Z.; Yin, Q.; Wang, Y.; Duan, C.; Huang, F.; Cao, Y. Truxene functionalized star-shaped non-fullerene acceptor with selenium-annulated perylene diimides for efficient organic solar cells. Front. Chem. 2021, 9, 681994. [Google Scholar] [CrossRef]
- Pan, Y.; Sun, G. Star-shaped non-fullerene small acceptors for organic solar cells. ChemSusChem 2019, 12, 4570–4600. [Google Scholar] [CrossRef]
- Huang, C.; Fu, W.; Li, C.Z.; Zhang, Z.; Qiu, W.; Shi, M. Dopant-free hole-transporting material with a C3h symmetrical truxene core for highly efficient perovskite solar cells. J. Am. Chem. Soc. 2016, 138, 2528–2531. [Google Scholar] [CrossRef]
- Wang, Z.; Wang, H.; Liang, M.; Tan, Y.; Cheng, F.; Sun, Z. Judicious design of indoline chromophores for high-efficiency iodine-free dye-sensitized solar cells. ACS Appl. Mater. Interfaces. 2014, 6, 5768–5778. [Google Scholar] [CrossRef]
- Lin, T.-C.; Tsai, B.-K.; Huang, T.-Y.; Chien, W.; Liu, Y.-Y.; Li, M.-H.; Tsai, M.-Y. Synthesis and two-photon absorption properties of truxene-cored chromophores with functionalized pyrazine units fused as the end-groups. Dyes Pigm. 2015, 120, 99–111. [Google Scholar] [CrossRef]
- Tehfe, M.-A.; Dumur, F.; Telitel, S.; Gigmes, D.; Lalevée, J. Zinc-based metal complexes as new photocatalysts in polymerization initiating systems. Eur. Polym. J. 2013, 49, 1040–1049. [Google Scholar] [CrossRef]
- Vinayakumara, D.R.; Kumar, M.; Sreekanth, P.; Philip, R.; Kumar, S. Synthesis, characterization and nonlinear optical studies of novel blue-light emitting room temperature truxene discotic liquid crystals. RSC Adv. 2015, 5, 26596–26603. [Google Scholar] [CrossRef]
- Luo, J.; Zhou, Y.; Niu, Z.; Zhou, Q.; Ma, Y.; Pei, J. Three-dimensional architectures for highly stable pure blue emission. J. Am. Chem. Soc. 2007, 129, 11314–11315. [Google Scholar] [CrossRef] [PubMed]
- Pei, J.; Wang, J.; Cao, X.; Zhou, X.; Zhang, W. Star-shaped polycyclic aromatics based on oligothiophene-functionalized truxene: Synthesis, properties, and facile emissive wavelength tuning. J. Am. Chem. Soc. 2003, 125, 9944–9945. [Google Scholar] [CrossRef] [PubMed]
- Li, P.; Wu, F.; Fang, Y.; Dahiya, H.; Sharma, G. Truxene π-expanded bodipy star-shaped molecules as acceptors for non-fullerene solar cells with over 13% efficiency. ACS Appl. Energy Mater. 2022, 5, 2279–2289. [Google Scholar] [CrossRef]
- Luo, J.; Lei, T.; Wang, L.; Ma, Y.; Cao, Y.; Wang, J.; Pei, J. Highly fluorescent rigid supramolecular polymeric nanowires constructed through multiple hydrogen bonds. J. Am. Chem. Soc. 2009, 131, 2076–2077. [Google Scholar] [CrossRef]
- Lin, K.; Wang, S.; Wang, Z.; Yin, Q.; Liu, X.; Jia, J.; Jia, X.; Luo, P.; Jiang, X.; Duan, C.; et al. Electron acceptors with a truxene core and perylene Diimide branches for organic solar cells: The effect of ring-fusion. Front. Chem. 2018, 6, 328. [Google Scholar] [CrossRef] [PubMed]
- Wang, J.; Tang, Z.; Xiao, Q.; Ma, Y.; Pei, J. Star-shaped D-π-A conjugated molecules: Synthesis and broad absorption bands. Org. Lett. 2009, 11, 863–866. [Google Scholar] [CrossRef] [PubMed]
- Xu, X.; Zhang, G.; Yu, L.; Li, R.; Peng, Q. P3HT-based polymer solar cells with 8.25% efficiency enabled by a matched molecular acceptor and smart green-solvent processing technology. Adv. Mater. 2019, 31, 1906045. [Google Scholar] [CrossRef]
- Wang, C.; Qin, Y.; Sun, Y.; Guan, Y.; Xu, W.; Zhu, D. Thiophene-diketopyrrolopyrrole-based quinoidal small molecules as solution-processable and air-stable organic semiconductors: Tuning of the length and branching position of the alkyl side chain toward a high-performance n-channel organic field-effect transistor. ACS Appl. Mater. Interfaces 2015, 7, 15978–15987. [Google Scholar]
- Balakrishnan, K.; Datar, A.; Naddo, T.; Huang, J.; Oitker, R.; Yen, M.; Zhao, J.; Zang, L. Effect of side-chain substituents on self-assembly of perylene diimide molecules: Morphology control. J. Am. Chem. Soc. 2006, 128, 7390–7398. [Google Scholar] [CrossRef]
- Lin, K.; Xie, B.; Wang, Z.; Xie, R.; Huang, Y.; Duan, C.; Huang, F.; Cao, Y. Star-shaped electron acceptors containing a truxene core for non-fullerene solar cells. Org. Electron. 2018, 52, 42–50. [Google Scholar] [CrossRef]
- Frisch, M.J.; Trucks, G.W.; Schlegel, H.B.; Scuseria, G.E.; Robb, M.A.; Cheeseman, J.R.; Scalmani, G.; Barone, V.; Mennucci, B.; Petersson, G.A.; et al. Gaussian 09, Revision A.02; Gaussian, Inc.: Wallingford, CT, USA, 2009. [Google Scholar]
- Lin, K.; Liang, H.; Zheng, Y.; Hu, R.; Chen, H.; Wu, Z.; Zhang, X.; Xie, H.; Wang, Y.; Jiang, Q.; et al. Unraveling the main chain effects of fused thiophene conjugated polymers in electrochromism. Soft Sci. 2021, 1, 12. [Google Scholar] [CrossRef]
- Li, Y.; Cao, Y.; Gao, J.; Wang, D.; Yu, G.; Heeger, A.J. Electrochemical properties of luminescent polymers and polymer light-emitting electrochemical cells. Synth. Met. 1999, 99, 243–248. [Google Scholar] [CrossRef]
- Mihailetchi, V.; Wildeman, J.; Blom, P. Space-charge limited photocurrent. Phys. Rev. Lett. 2005, 94, 126602. [Google Scholar] [CrossRef] [Green Version]








| Acceptors | λmaxsol (nm) | λmaxfilm (nm) | Egopt a (eV) | Eox (V) | Ered (V) | EHOMO b (eV) | ELUMO c (eV) | EgCV d (eV) |
|---|---|---|---|---|---|---|---|---|
| Tr(Hex)6-3RD | 481 | 468 | 2.22 | 1.35 | −0.85 | −5.78 | −3.58 | 2.20 |
| Tr(Dec)6-3RD | 481 | 468 | 2.27 | 1.41 | −0.83 | −5.84 | −3.60 | 2.24 |
| Tr(Hex)6-6RD | 425 | 428 | 2.33 | 1.54 | −0.83 | −5.97 | −3.60 | 2.37 |
| PTB7-Th | Voc (V) | Jsc (mA cm−2) | FF (%) | PCE (%) |
|---|---|---|---|---|
| Tr(Hex)6-3RD | 0.83 | 1.0 | 29.2 | 0.3 |
| Tr(Dec)6-3RD | 0.81 | 0.4 | 25.7 | 0.1 |
| Tr(Hex)6-6RD | 0.82 | 4.2 | 31.2 | 1.1 |
Publisher’s Note: MDPI stays neutral with regard to jurisdictional claims in published maps and institutional affiliations. |
© 2022 by the authors. Licensee MDPI, Basel, Switzerland. This article is an open access article distributed under the terms and conditions of the Creative Commons Attribution (CC BY) license (https://creativecommons.org/licenses/by/4.0/).
Share and Cite
Lin, K.; Du, W.; Shen, S.; Liang, H.; Zhang, X.; Xiao, M.; Wang, Y. Truxene-Centered Electron Acceptors for Non-Fullerene Solar Cells: Alkyl Chain and Branched Arm Engineering. Int. J. Mol. Sci. 2022, 23, 10402. https://doi.org/10.3390/ijms231810402
Lin K, Du W, Shen S, Liang H, Zhang X, Xiao M, Wang Y. Truxene-Centered Electron Acceptors for Non-Fullerene Solar Cells: Alkyl Chain and Branched Arm Engineering. International Journal of Molecular Sciences. 2022; 23(18):10402. https://doi.org/10.3390/ijms231810402
Chicago/Turabian StyleLin, Kaiwen, Wenhao Du, Shuqi Shen, Haoshen Liang, Xiaobin Zhang, Manjun Xiao, and Yuehui Wang. 2022. "Truxene-Centered Electron Acceptors for Non-Fullerene Solar Cells: Alkyl Chain and Branched Arm Engineering" International Journal of Molecular Sciences 23, no. 18: 10402. https://doi.org/10.3390/ijms231810402
APA StyleLin, K., Du, W., Shen, S., Liang, H., Zhang, X., Xiao, M., & Wang, Y. (2022). Truxene-Centered Electron Acceptors for Non-Fullerene Solar Cells: Alkyl Chain and Branched Arm Engineering. International Journal of Molecular Sciences, 23(18), 10402. https://doi.org/10.3390/ijms231810402

