Aminopeptidase N Inhibitors as Pointers for Overcoming Antitumor Treatment Resistance
Abstract
:1. Introduction
2. Results
2.1. Synthesis of Target Compounds
2.2. APN Inhibitory Activity and QSAR in It
2.2.1. Determination of APN Inhibition
2.2.2. QSAR in APN Inhibitory Activity
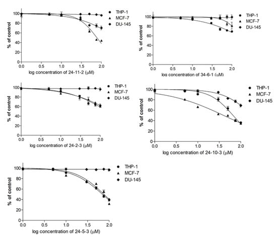
2.3. Proliferation Inhibitory Effects Induced by Thiosemicarbazides of Basically Substituted Acetamidoacetophenone Compounds in Human Cancer Cell Lines
2.4. The Most Active Compounds and SAR
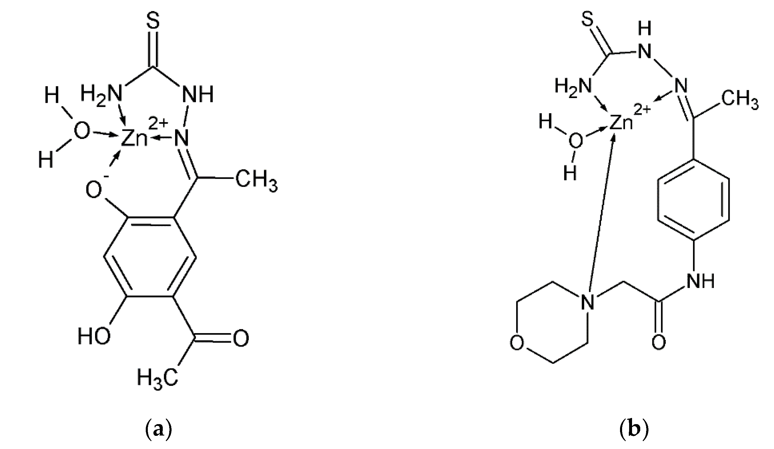
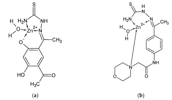
2.4.1. SAR in APN Inhibition
2.4.2. APN Inhibition vs. Antiproliferative Activity
3. Discussion
4. Materials and Methods
4.1. Chemistry
4.1.1. General Information
4.1.2. General Procedure for the Preparation of 12-1, 13-1, and 14-1
4.1.3. General Procedure for the Preparation of 12-2-1 to 14-14-1
4.1.4. General Procedure for the Preparation of 22-2-1 to 24-14-1 [28]
4.1.5. General Procedure for the Preparation of 22-2-2 to 24-14-2 [29]
4.1.6. General Procedure for the Preparation of 22-2-3 to 24-14-3 [30]
4.1.7. General Procedure for the Preparation of 32-2-1 to 34-14-1 [31]
4.2. Assessment of APN Inhibitory Activity
4.3. QSAR Statistic and Parameters Calculations
4.4. Evaluation of Proliferation Inhibitor Effects
4.4.1. Reagents
4.4.2. Cell Culture
4.4.3. WST-1 Analysis of Cell Proliferation
5. Conclusions
Supplementary Materials
Author Contributions
Funding
Institutional Review Board Statement
Informed Consent Statement
Data Availability Statement
Acknowledgments
Conflicts of Interest
References
- Mina-Osorio, P. The moonlighting enzyme CD13: Old and new functions to target. Trends Mol. Med. 2008, 14, 362–371. [Google Scholar] [CrossRef]
- Li, Z.; Tomlinson, A.C.A.; Wong, A.H.M.; Zhou, D.; Desforges, M.; Talbot, P.J.; Benlekbir, S.; Rubinstein, J.L.; Rini, J.M. The human coronavirus HCoV-229E S-protein structure and receptor binding. eLife 2019, 8, e51230. [Google Scholar] [CrossRef]
- Kis, A.; Dénes, N.; Szabó, J.P.; Arató, V.; Beke, L.; Matolay, O.; Enyedi, K.N.; Méhes, G.; Mező, G.; Bai, P.; et al. In Vivo Molecular Imaging of the Efficacy of Aminopeptidase N (APN/CD13) Receptor Inhibitor Treatment on Experimental Tumors Using 68Ga-NODAGA-c(NGR) Peptide. Bio. Med. Res. Int. 2021, 2021, 6642973. [Google Scholar] [CrossRef]
- Zhang, Q.; Wang, J.; Zhang, H.; Zhao, D.; Zhang, Z.; Zhang, S. Expression and clinical significance of aminopeptidase N/CD13 in non-small cell lung cancer. J. Cancer Res. Ther. 2015, 11, 223–228. [Google Scholar] [CrossRef]
- Wȩglarz-Tomczak, E.; Talma, M.; Giurg, M.; Westerhoff, H.V.; Janowski, R.; Mucha, A. Neutral metalloaminopeptidases APN and MetAP2 as newly discovered anticancer molecular targets of actinomycin D and its simple analogs. Oncotarget 2018, 9, 29365–29378. [Google Scholar] [CrossRef]
- Ichinose, Y.; Genka, K.; Koike, T.; Kato, H.; Watanabe, Y.; Mori, T.; Iioka, S.; Sakuma, A.; Ohta, M. Randomized double-blind placebo-controlled trial of bestatin in patients with resected stage I squamous-cell lung carcinoma. J. Natl. Cancer Inst. 2003, 95, 605–610. [Google Scholar] [CrossRef]
- Scornik, O.A.; Botbol, V. Bestatin as an experimental tool in mammals. Curr. Drug Metab. 2001, 2, 67–85. [Google Scholar] [CrossRef] [PubMed]
- Shuai, L.; Fang, X.; Hafeng, W.; Zheng, L.; Xiaowen, L.; Liang, S.; Zhihong, N. Ubenimex inhibits cell proliferation, migration, and invasion in renal cell carcinoma: The effect is autophagy-associated. Oncol. Rep. 2015, 33, 1372–1380. [Google Scholar] [CrossRef]
- Wang, X.; Niu, Z.; Jia, Y.; Cui, M.; Han, L.; Zhang, Y.; Liu, Z.; Bi, D.; Liu, S. Ubenimex inhibits cell proliferation, migration, and invasion by inhibiting the expression of APN and inducing autophagic cell death in prostate cancer cells. Oncol. Rep. 2016, 35, 2121–2130. [Google Scholar] [CrossRef] [PubMed]
- Liu, S.; Gao, M.; Wang, X.; Ding, S.; Lv, J.; Gao, D.; Wang, Z.; Niu, Z. Ubenimex attenuates acquired sorafenib resistance in renal cell carcinoma by inhibiting Akt signaling in a lipophagy associated mechanism. Oncotarget 2016, 7, 79141–79153. [Google Scholar] [CrossRef] [Green Version]
- DiNardo, C.D.; Cortes, J.E. Tosedostat for the treatment of relapsed and refractory acute myeloid leukemia. Expert Opin. Investig. Drugs 2013, 23, 265–272. [Google Scholar] [CrossRef]
- US National Library of Medicine. ClinicalTrials.gov. Available online: https://clinicaltrials.gov/ct2/results?intr=Apo2L%2FTRAIL+OR+dulanermin&draw=2&rank=5#rowId4 (accessed on 12 January 2022).
- Ni, J.; Wang, X.; Shang, Y.; Li, Y.; Chen, S. CD13 inhibition augments DR4-induced tumor cell death in a p-ERK1/2-independent manner. Cancer Biol. Med. 2021, 18, 570–586. [Google Scholar] [CrossRef]
- Amin, S.A.; Adhikari, N.; Jha, T. Design of Aminopeptidase N Inhibitors as Anti-cancer Agents. J. Med. Chem. 2018, 61, 6468–6490. [Google Scholar] [CrossRef]
- Ma, C.; Jin, K.; Cao, J.; Zhang, L.; Li, X.; Xu, W. Novel leucine ureido derivatives as inhibitors of aminopeptidase N (APN). Bioorg. Med. Chem. 2013, 21, 1621–1627. [Google Scholar] [CrossRef]
- Ma, C.; Cao, J.; Liang, X.; Huang, Y.; Wu, P.; Li, Y.; Xu, W.; Zhang, Y. Novel leucine ureido derivatives as aminopeptidase N inhibitors. Design, synthesis, and activity evaluation. Eur. J. Med. Chem. 2016, 108, 21–27. [Google Scholar] [CrossRef]
- Zhang, X.; Zhang, L.; Zhang, J.; Feng, J.; Yuan, Y.; Fang, H.; Xu, W. Design, synthesis, and preliminary activity evaluation of novel 3-amino-2-hydroxyl-3-phenylpropanoic acid derivatives as aminopeptidase N/CD13 inhibitors. J. Enzym. Inhib. Med. Chem. 2013, 28, 545–551. [Google Scholar] [CrossRef]
- Schalk, C.; d’Orchymont, H.; Jauch, M.F.; Tarnus, C. 3-Amino-2-tetralone derivatives: Novel potent and selective inhibitors of aminopeptidase-M (EC 3.4.11.2). Arch. Biochem. Biophys. 1994, 311, 42–46. [Google Scholar] [CrossRef]
- Reddy, P.S.; Satyanarayana, B.; Raju, V.J. Synthesis and structural studies on divalent transition metal complexes of 5-acetyl 2,4-dihydroxy acetophenone semicarbazone. J. Indian Chem. Soc. 2006, 83, 1204–1207. [Google Scholar]
- Reddy, P.S.; Satyanarayana, B. Synthesis and structural studies on the transition metal complexes of 5-acetyl 2,4-dihydroxy acetophenone thiosemicarbazone. Acta Cienc. Indica Chem. 2006, 32, 311–315. [Google Scholar]
- Xiong, X.; Barathi, A.; Beuermann, R.W.; Tan, D.T.H. Assay of leucine aminopeptidase activity in vitro using large-pore reversed-phase chromatography with fluorescence detection. J. Chromatogr. B 2003, 796, 63–70. [Google Scholar] [CrossRef]
- Partition Coefficient Calculation with ACD/LogP. Available online: https://www.acdlabs.com/products/percepta/predictors/logP (accessed on 7 December 2021).
- Isoelectric Point Plugin. Available online: https://docs.chemaxon.com/display/docs/isoelectric-point-plugin.md#src-1806643-isoelectricpointplugin-introduction (accessed on 7 December 2021).
- Licona-Limón, I.; Garay-Canales, C.A.; Muñoz-Paleta, O.; Ortega, E. CD13 mediates phagocytosis in human monocytic cells. J. Leukoc. Biol. 2015, 98, 85–98. [Google Scholar] [CrossRef]
- Gai, Y.; Jiang, Y.; Long, Y.; Sun, L.; Liu, S.; Qin, C.; Zhang, Y.; Zeng, D.; Lan, X. Evaluation of an Integrin αvβ3 and Aminopeptidase N Dual-Receptor Targeting Tracer for Breast Cancer Imaging. Mol. Pharm. 2020, 17, 349–358. [Google Scholar] [CrossRef]
- Joshi, S.; Chen, L.; Winter, M.B.; Lin, Y.L.; Yang, Y.; Shapovalova, M.; Smith, P.M.; Liu, C.; Li, F.; LeBeau, A.M. The Rational Design of Therapeutic Peptides for Aminopeptidase N using a Substrate-Based Approach. Sci. Rep. 2017, 7, 1424. [Google Scholar] [CrossRef]
- Ito, K.; Nakajima, Y.; Onohara, Y.; Takeo, M.; Nakashima, K.; Matsubara, F.; Ito, T.; Yoshimoto, T. Crystal structure of aminopeptidase N (proteobacteria alanyl aminopeptidase) from Escherichia coli and conformational change of methionine 260 involved in substrate recognition. J. Biol. Chem. 2006, 281, 3364–3376. [Google Scholar] [CrossRef]
- Zubáč, P.; (Masaryk University, Brno, South Moravia, Czech Republic). Personal communication, 2020.
- Amishro, C.; Yoji, I.; Junichiro, Y.; Toshiyuki, A.; Ryuchiro, N.; Tomohisa, N. Thiazolidine derivatives. U.S. Patent US2007112044 A1, 17 May 2007. [Google Scholar]
- Nakhamovich, A.S.; Elokhina, G.V.; Dolgusin, G.V.; Gushin, A.S.; Poljakov, R.A.; Volkova, K.A.; Punija, V.S. Method for preparing 4-thioureidoiminimethyl-pyridinium perchlorate possessing tuberculostatic activity. RU Patent RU2265014 C1, 27 November 2005. [Google Scholar]
- Pizzo, C.; Farral-Tello, P.; Yaluff, G.; Serna, E.; Torres, S.; Vera, N.; Saiz, C.; Robello, C.; Mahler, G. New approach towards the synthesis of selenosemicarbazones, useful compounds for Chagas’ disease. Eur. J. Med. Chem. 2016, 109, 107–113. [Google Scholar] [CrossRef]
- Kollar, P.; Barta, T.; Zavalova, V.; Smejkal, K.; Hampl, A. Geranylated flavanone tomentodiplacone B inhibits proliferation of human monocytic leukaemia (THP-1) cells. Br. J. Pharmacol. 2011, 162, 1534–1541. [Google Scholar] [CrossRef]
- Kauerova, T.; Kos, J.; Gonec, T.; Jampilek, J.; Kollar, P. Antiproliferative and Pro-Apoptotic Effect of Novel Nitro-Substituted Hydroxynaphthanilides on Human Cancer Cell Lines. Int. J. Mol. Sci. 2016, 17, 1219. [Google Scholar] [CrossRef]




| Substance Code | Yield [%] | Purity [%] |
|---|---|---|
| 12-1 | 93 | 99.7 |
| 13-1 | 95 | 99.9 |
| 14-1 | 96 | 99.9 |
| 14-2-1 | 87 | 95.1 |
| 14-6-1 | 72 | 91.8 |
| 14-8-1 | 69.4 | 92.4 |
| 14-10-1 | 70 | 91.6 |
| 22-5-1 | 49 | 98.2 |
| 22-6-1 | 54.7 | 96.4 |
| 22-7-1 | 46 | 97.7 |
| 23-2-1 | 75 | 93.1 |
| 23-3-1 | 72 | 94.2 |
| 23-5-1 | 53 | 96.6 |
| 23-6-1 | 58.9 | 97.1 |
| 23-8-1 | 62 | 95.7 |
| 23-11-1 | 69 | 98.2 |
| 24-3-1 | 61 | 95.7 |
| 24-4-1 | 53 | 95.5 |
| 24-5-1 | 53 | 98.0 |
| 24-6-1 | 60 | 94.3 |
| 24-7-1 | 49 | 97.9 |
| 24-8-1 | 65 | 99.9 |
| 24-9-1 | 62.6 | 95.5 |
| 24-2-2 | 59 | 96.2 |
| 24-11-2 | 71 | 96.0 |
| 23-7-3 | 59 | 97.3 |
| 24-2-3 | 68 | 94.7 |
| 24-5-3 | 71 | 97.6 |
| 24-6-3 | 74 | 95.1 |
| 24-10-3 | 58 | 97.9 |
| 24-11-3 | 63 | 96.5 |
| 34-2-1 | 45 | 97.9 |
| 34-6-1 | 36 | 98.8 |
| 34-7-1 | 21 | 98.4 |
| 34-8-1 | 19 | 97.7 |
| Substance Code | logP | pI | IC50 Experimental [µmol/L] | Log IC50 Experimental | Log IC50 Optimized |
|---|---|---|---|---|---|
| 14-2-1 | 1.6 | 9.67 | 366 2 | 2.5635 | - |
| 14-6-1 | 2.72 | 9.46 | 173 | 2.6288 | - |
| 14-8-1 | 1.4 | 9.67 | 425.4 | 2.6307 | - |
| 14-10-1 | 2.65 | 10.34 | 427.3 2 | 2.8910 | - |
| 22-6-1 | 2.78 | 9.38 | 778.0 | 2.2380 | 6.9918 |
| 22-7-1 | 3.34 | 9.68 | 169.3 | 2.2287 | 1.8688 |
| 23-7-3 | 2.57 | 9.68 | 35.6 | 1.5514 | 1.7158 |
| 24-2-2 | 0.97 | 9.67 | 46.4 | 1.6665 | - |
| 24-2-3 | 0.97 | 9.67 | 18.9 | 1.2765 | 1.9172 |
| 24-3-1 | 2.03 | 9.95 | 1266 | 3.1024 | 2.8204 |
| 24-4-1 | 3.1 | 9.97 | 1679 1 | 3.2251 | - |
| 24-5-1 | 1.53 | 9.52 | 35.6 1 | 1.5514 | - |
| 24-5-3 | 1.53 | 9.52 | 23.5 1 | 1.3711 | 1.1489 |
| 24-6-1 | 2.09 | 9.46 | 1549 1 | 3.1901 | 2.9154 |
| 24-6-3 | 2.09 | 9.46 | 4732 2 | 3.6750 | - |
| 24-7-1 | 2.66 | 9.69 | 44.1 | 1.6444 | 1.6200 |
| 24-8-1 | 0.78 | 8.67 | 6.79 | 0.8319 | 0.8753 |
| 24-10-3 | 2.03 | 9.64 | 22.3 | 1.3483 | 1.7886 |
| 24-11-2 | 0.5 | 9.61 | 13.3 | 1.1239 | 0.8174 |
| 24-11-3 | 0.5 | 9.61 | 150.1 | 2.1764 | - |
| 34-6-1 | 1.49 | 9.53 | 18.4 | 1.2648 | 1.0857 |
| 34-8-1 | 0.17 | 8.45 | 1644 | 3.2159 | - |
| Substance Code | logP | pI | IC50 [µmol/L] |
|---|---|---|---|
| 22-5-1 1 | 2.21 | 9.45 | 149.2 |
| 23-6-1 1 | 2.01 | 9.46 | 83.1 |
| 23-8-1 1 | 0.69 | 8.37 | 397.7 |
| 23-11-1 1 | 0.42 | 9.61 | 7.86 |
| 24-9-1 1 | 1.72 | 8.97 | 1372 |
| 34-7-1 1 | 2.05 | 9.77 | 121.9 |
| 22-2-1 2 | 1.66 | 9.62 | 50.4 |
| 22-3-1 2 | 2.72 | 9.9 | 70.7 |
| 22-4-1 2 | 3.78 | 9.93 | 3.4 |
| 23-2-1 1 | 0.89 | 9.67 | 39.5 |
| 23-3-1 1 | 1.95 | 9.95 | 686.5 |
| 23-4-1 2 | 3.01 | 9.97 | 34.6 |
| 23-5-1 1 | 1.44 | 9.51 | 20.26 |
| 23-9-1 2 | 1.64 | 8.97 | 714.7 |
| 32-2-1 2 | 1.05 | 9.7 | 68.3 |
| 32-3-1 2 | 2.12 | 9.97 | 538.1 |
| 32-4-1 2 | 3.18 | 9.99 | 19.5 |
| 32-5-1 2 | 1.61 | 9.51 | 30.0 |
| 32-6-1 2 | 2.18 | 9.46 | 130.5 |
| 32-7-1 2 | 2.74 | 9.68 | 92.4 |
| 32-8-1 2 | 0.86 | 8.37 | 5137 |
| 32-11-1 2 | 0.58 | 9.65 | 20.6 |
| 33-2-1 2 | 0.28 | 9.75 | 135.1 |
| 33-4-1 2 | 2.41 | 10.04 | 413.7 |
| 33-5-1 2 | 0.84 | 9.58 | 10.4 |
| 33-6-1 2 | 1.41 | 9.52 | 19.7 |
| 33-7-1 2 | 1.97 | 9.76 | 121.0 |
| 33-10-1 2 | 1.34 | 9.72 | 96.8 |
| 34-2-1 2 | 0.37 | 9.75 | 138.0 |
| 34-4-1 2 | 2.49 | 10.04 | 305.3 |
| 34-5-1 2 | 0.92 | 9.59 | 13.6 |
| 34-9-1 2 | 1.12 | 9.04 | 5.9 |
| 34-10-1 2 | 1.43 | 9.73 | 109.12 |
| Substance Code | IC50 ± SD [μmol/L] | ||
|---|---|---|---|
| THP-1 | MCF-7 | DU-145 | |
| 24-11-2 | >100 | 77.11 ± 2.19 | >100 |
| 34-6-1 | >100 | >100 | >100 |
| 24-2-3 | >100 | >100 | >100 |
| 24-10-3 | 66.05 ± 1.71 | 39.94 ± 2.83 | >100 |
| 24-5-3 | 70.18 ±4.51 | 75.47 ± 3.14 | >100 |
Publisher’s Note: MDPI stays neutral with regard to jurisdictional claims in published maps and institutional affiliations. |
© 2022 by the authors. Licensee MDPI, Basel, Switzerland. This article is an open access article distributed under the terms and conditions of the Creative Commons Attribution (CC BY) license (https://creativecommons.org/licenses/by/4.0/).
Share and Cite
Farsa, O.; Ballayová, V.; Žáčková, R.; Kollar, P.; Kauerová, T.; Zubáč, P. Aminopeptidase N Inhibitors as Pointers for Overcoming Antitumor Treatment Resistance. Int. J. Mol. Sci. 2022, 23, 9813. https://doi.org/10.3390/ijms23179813
Farsa O, Ballayová V, Žáčková R, Kollar P, Kauerová T, Zubáč P. Aminopeptidase N Inhibitors as Pointers for Overcoming Antitumor Treatment Resistance. International Journal of Molecular Sciences. 2022; 23(17):9813. https://doi.org/10.3390/ijms23179813
Chicago/Turabian StyleFarsa, Oldřich, Veronika Ballayová, Radka Žáčková, Peter Kollar, Tereza Kauerová, and Peter Zubáč. 2022. "Aminopeptidase N Inhibitors as Pointers for Overcoming Antitumor Treatment Resistance" International Journal of Molecular Sciences 23, no. 17: 9813. https://doi.org/10.3390/ijms23179813
APA StyleFarsa, O., Ballayová, V., Žáčková, R., Kollar, P., Kauerová, T., & Zubáč, P. (2022). Aminopeptidase N Inhibitors as Pointers for Overcoming Antitumor Treatment Resistance. International Journal of Molecular Sciences, 23(17), 9813. https://doi.org/10.3390/ijms23179813

