Soluble ST2 as a Potential Biomarker for Abdominal Aortic Aneurysms—A Single-Center Retrospective Cohort Study
Abstract
1. Introduction
2. Results
2.1. Patient and Control Collectives
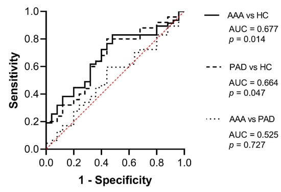
2.2. Soluble ST2 Is Increased in AAA and PAD
2.3. Soluble ST2 Levels Are Only Weakly Associated with AAA Progression
3. Discussion
4. Materials and Methods
4.1. Study Population
4.2. Morphometric AAA Analyses, Serum Sample Collection and Determination of sST2 Levels
4.3. Statistical Analysis
5. Conclusions
Author Contributions
Funding
Institutional Review Board Statement
Informed Consent Statement
Data Availability Statement
Acknowledgments
Conflicts of Interest
References
- Wanhainen, A.; Verzini, F.; Van Herzeele, I.; Allaire, E.; Bown, M.; Cohnert, T.; Dick, F.; van Herwaarden, J.; Karkos, C.; Koelemay, M.; et al. Editor’s choice—European Society for Vascular Surgery (ESVS) 2019 clinical practice guidelines on the management of abdominal aorto-iliac artery aneurysms. Eur. J. Vasc. Endovasc. Surg. 2019, 57, 8–93. [Google Scholar] [CrossRef] [PubMed]
- Chaikof, E.L.; Dalman, R.L.; Eskandari, M.K.; Jackson, B.M.; Lee, W.A.; Mansour, M.A.; Mastracci, T.M.; Mell, M.; Murad, M.H.; Nguyen, L.L.; et al. The Society for Vascular Surgery practice guidelines on the care of patients with an abdominal aortic aneurysm. J. Vasc. Surg. 2018, 67, 2–77.e72. [Google Scholar] [CrossRef] [PubMed]
- Kent, K.C. Clinical practice. Abdominal aortic aneurysms. N. Engl. J. Med. 2014, 371, 2101–2108. [Google Scholar] [CrossRef]
- Kent, K.C.; Zwolak, R.M.; Egorova, N.N.; Riles, T.S.; Manganaro, A.; Moskowitz, A.J.; Gelijns, A.C.; Greco, G. Analysis of risk factors for abdominal aortic aneurysm in a cohort of more than 3 million individuals. J. Vasc. Surg. 2010, 52, 539–548. [Google Scholar] [CrossRef] [PubMed]
- Golledge, J. Abdominal aortic aneurysm: Update on pathogenesis and medical treatments. Nat. Rev. Cardiol. 2019, 16, 225–242. [Google Scholar] [CrossRef] [PubMed]
- Klopf, J.; Brostjan, C.; Eilenberg, W.; Neumayer, C. Neutrophil extracellular traps and their implications in cardiovascular and inflammatory disease. Int. J. Mol. Sci. 2021, 22, 559. [Google Scholar] [CrossRef] [PubMed]
- Nordon, I.; Hinchliffe, R.; Holt, P.; Loftus, I.; Thompson, M. Review of current theories for abdominal aortic aneurysm pathogenesis. Vascular 2009, 17, 253–263. [Google Scholar] [CrossRef]
- Kuivaniemi, H.; Ryer, E.J.; Elmore, J.R.; Tromp, G. Understanding the pathogenesis of abdominal aortic aneurysms. Expert Rev. Cardiovasc. Ther. 2015, 13, 975–987. [Google Scholar] [CrossRef]
- Ristl, R.; Klopf, J.; Scheuba, A.; Wolf, F.; Funovics, M.; Gollackner, B.; Wanhainen, A.; Neumayer, C.; Posch, M.; Brostjan, C.; et al. Growth prediction model for abdominal aortic aneurysms. Br. J. Surg. 2021, 109, 211–219. [Google Scholar] [CrossRef]
- Zhang, T.; Xu, C.; Zhao, R.; Cao, Z. Diagnostic value of sST2 in cardiovascular diseases: A systematic review and meta-analysis. Front. Cardiovasc. Med. 2021, 8, 697837. [Google Scholar] [CrossRef]
- Demyanets, S.; Stojkovic, S.; Huber, K.; Wojta, J. The paradigm change of IL-33 in vascular biology. Int. J. Mol. Sci. 2021, 22, 13288. [Google Scholar] [CrossRef] [PubMed]
- Stojkovic, S.; Kaun, C.; Heinz, M.; Krychtiuk, K.A.; Rauscher, S.; Lemberger, C.E.; de Martin, R.; Gröger, M.; Petzelbauer, P.; Huk, I.; et al. Interleukin-33 induces urokinase in human endothelial cells—Possible impact on angiogenesis. J. Thromb. Haemost. 2014, 12, 948–957. [Google Scholar] [CrossRef] [PubMed]
- Joshi, A.D.; Oak, S.R.; Hartigan, A.J.; Finn, W.G.; Kunkel, S.L.; Duffy, K.E.; Das, A.; Hogaboam, C.M. Interleukin-33 contributes to both M1 and M2 chemokine marker expression in human macrophages. BMC Immunol. 2010, 11, 52. [Google Scholar] [CrossRef] [PubMed]
- Ohno, T.; Oboki, K.; Morita, H.; Kajiwara, N.; Arae, K.; Tanaka, S.; Ikeda, M.; Iikura, M.; Akiyama, T.; Inoue, J.-i.; et al. Paracrine IL-33 stimulation enhances lipopolysaccharide-mediated macrophage activation. PLoS ONE 2011, 6, e18404. [Google Scholar] [CrossRef]
- Yang, Z.; Grinchuk, V.; Urban, J.F., Jr.; Bohl, J.; Sun, R.; Notari, L.; Yan, S.; Ramalingam, T.; Keegan, A.D.; Wynn, T.A.; et al. Macrophages as IL-25/IL-33-responsive cells play an important role in the induction of type 2 immunity. PLoS ONE 2013, 8, e59441. [Google Scholar] [CrossRef]
- Stojkovic, S.; Thulin, Å.; Hell, L.; Thaler, B.; Rauscher, S.; Baumgartner, J.; Gröger, M.; Ay, C.; Demyanets, S.; Neumayer, C.; et al. IL-33 stimulates the release of procoagulant microvesicles from human monocytes and differentially increases tissue factor in human monocyte subsets. Thromb. Haemost. 2017, 117, 1379–1390. [Google Scholar] [CrossRef]
- Mildner, M.; Storka, A.; Lichtenauer, M.; Mlitz, V.; Ghannadan, M.; Hoetzenecker, K.; Nickl, S.; Dome, B.; Tschachler, E.; Ankersmit, H.J. Primary sources and immunological prerequisites for sST2 secretion in humans. Cardiovasc. Res. 2010, 87, 769–777. [Google Scholar] [CrossRef]
- Bandara, G.; Beaven, M.A.; Olivera, A.; Gilfillan, A.M.; Metcalfe, D.D. Activated mast cells synthesize and release soluble ST2-a decoy receptor for IL-33. Eur. J. Immunol. 2015, 45, 3034–3044. [Google Scholar] [CrossRef]
- Marino, R.; Magrini, L.; Orsini, F.; Russo, V.; Cardelli, P.; Salerno, G.; Hur, M.; Di Somma, S. Comparison between soluble ST2 and high-sensitivity troponin I in predicting short-term mortality for patients presenting to the emergency department with chest pain. Ann. Lab. Med. 2017, 37, 137–146. [Google Scholar] [CrossRef]
- Altara, R.; Ghali, R.; Mallat, Z.; Cataliotti, A.; Booz, G.W.; Zouein, F.A. Conflicting vascular and metabolic impact of the IL-33/sST2 axis. Cardiovasc. Res. 2018, 114, 1578–1594. [Google Scholar] [CrossRef]
- Li, J.; Xia, N.; Wen, S.; Li, D.; Lu, Y.; Gu, M.; Tang, T.; Jiao, J.; Lv, B.; Nie, S.; et al. IL (Interleukin)-33 suppresses abdominal aortic aneurysm by enhancing regulatory T-cell expansion and activity. Arterioscler. Thromb. Vasc. Biol. 2019, 39, 446–458. [Google Scholar] [CrossRef] [PubMed]
- Stojkovic, S.; Kaun, C.; Basilio, J.; Rauscher, S.; Hell, L.; Krychtiuk, K.A.; Bonstingl, C.; de Martin, R.; Gröger, M.; Ay, C.; et al. Tissue factor is induced by interleukin-33 in human endothelial cells: A new link between coagulation and inflammation. Sci. Rep. 2016, 6, 25171. [Google Scholar] [CrossRef] [PubMed]
- Schmitz, J.; Owyang, A.; Oldham, E.; Song, Y.; Murphy, E.; McClanahan, T.K.; Zurawski, G.; Moshrefi, M.; Qin, J.; Li, X.; et al. IL-33, an interleukin-1-like cytokine that signals via the IL-1 receptor-related protein ST2 and induces T helper type 2-associated cytokines. Immunity 2005, 23, 479–490. [Google Scholar] [CrossRef] [PubMed]
- Yancy, C.W.; Jessup, M.; Bozkurt, B.; Butler, J.; Casey, D.E.; Colvin, M.M.; Drazner, M.H.; Filippatos, G.S.; Fonarow, G.C.; Givertz, M.M.; et al. 2017 ACC/AHA/HFSA focused update of the 2013 ACCF/AHA guideline for the management of heart failure: A report of the american college of cardiology/american heart association task force on clinical practice guidelines and the heart failure society of America. Circulation 2017, 136, e137–e161. [Google Scholar] [CrossRef]
- Wang, Y.; Tan, X.; Gao, H.; Yuan, H.; Hu, R.; Jia, L.; Zhu, J.; Sun, L.; Zhang, H.; Huang, L.; et al. Magnitude of soluble ST2 as a novel biomarker for acute aortic dissection. Circulation 2018, 137, 259–269. [Google Scholar] [CrossRef]
- Klopf, J.; Brostjan, C.; Neumayer, C.; Eilenberg, W. Neutrophils as regulators and biomarkers of cardiovascular inflammation in the context of abdominal aortic aneurysms. Biomedicines 2021, 9, 1236. [Google Scholar] [CrossRef] [PubMed]
- Martínez-Martínez, E.; Miana, M.; Jurado-López, R.; Rousseau, E.; Rossignol, P.; Zannad, F.; Cachofeiro, V.; López-Andrés, N. A role for soluble ST2 in vascular remodeling associated with obesity in rats. PLoS ONE 2013, 8, e79176. [Google Scholar] [CrossRef]
- Griesenauer, B.; Paczesny, S. The ST2/IL-33 axis in immune cells during inflammatory diseases. Front. Immunol. 2017, 8, 475. [Google Scholar] [CrossRef]
- Januzzi, J.L.; Peacock, W.F.; Maisel, A.S.; Chae, C.U.; Jesse, R.L.; Baggish, A.L.; O’Donoghue, M.; Sakhuja, R.; Chen, A.A.; van Kimmenade, R.R.J.; et al. Measurement of the interleukin family member ST2 in patients with acute dyspnea: Results from the Pride (pro-brain natriuretic peptide investigation of dyspnea in the emergency department) study. J. Am. Coll. Cardiol. 2007, 50, 607–613. [Google Scholar] [CrossRef]
- Socrates, T.; deFilippi, C.; Reichlin, T.; Twerenbold, R.; Breidhardt, T.; Noveanu, M.; Potocki, M.; Reiter, M.; Arenja, N.; Heinisch, C.; et al. Interleukin family member ST2 and mortality in acute dyspnoea. J. Intern. Med. 2010, 268, 493–500. [Google Scholar] [CrossRef]
- Ip, C.; Luk, K.S.; Yuen, V.L.C.; Chiang, L.; Chan, C.K.; Ho, K.; Gong, M.; Lee, T.T.L.; Leung, K.S.K.; Roever, L.; et al. Soluble suppression of tumorigenicity 2 (sST2) for predicting disease severity or mortality outcomes in cardiovascular diseases: A systematic review and meta-analysis. IJC Heart Vasc. 2021, 37, 100887. [Google Scholar] [CrossRef]
- Braunwald, E. Biomarkers in heart failure. N. Engl. J. Med. 2008, 358, 2148–2159. [Google Scholar] [CrossRef] [PubMed]
- Pascual-Figal, D.A.; Lax, A.; Perez-Martinez, M.T.; Asensio-Lopez, M.d.C.; Sanchez-Mas, J. Clinical relevance of sST2 in cardiac diseases. Clin. Chem. Lab. Med. (CCLM) 2016, 54, 29–35. [Google Scholar] [CrossRef] [PubMed]
- Morello, F.; Lupia, E. Soluble ST2 for the diagnosis of acute aortic syndromes: A new hope or just another clone war? J. Lab. Precis. Med. 2018, 3. [Google Scholar] [CrossRef]
- Mathew, G.; Agha, R. STROCSS 2021: Strengthening the reporting of cohort, cross-sectional and case-control studies in surgery. Int. J. Surg. 2021, 96, 106165. [Google Scholar] [CrossRef] [PubMed]
- von Elm, E.; Altman, D.G.; Egger, M.; Pocock, S.J.; Gotzsche, P.C.; Vandenbroucke, J.P.; Initiative, S. The Strengthening the Reporting of Observational Studies in Epidemiology (STROBE) statement: Guidelines for reporting observational studies. Lancet 2007, 370, 1453–1457. [Google Scholar] [CrossRef]
- Klopf, J.; Fuchs, L.; Schernthaner, R.; Domenig, C.M.; Gollackner, B.; Brostjan, C.; Neumayer, C.; Eilenberg, W. The prognostic impact of vascular calcification on abdominal aortic aneurysm progression. J. Vasc. Surg. 2022, 75, 1926–1934. [Google Scholar] [CrossRef]
- Zagrapan, B.; Eilenberg, W.; Scheuba, A.; Klopf, J.; Brandau, A.; Story, J.; Dosch, K.; Hayden, H.; Domenig, C.M.; Fuchs, L.; et al. Complement factor C5a is increased in blood of patients with abdominal aortic aneurysm and has prognostic potential for aneurysm growth. J. Cardiovasc. Transl. Res. 2020, 14, 761–769. [Google Scholar] [CrossRef]
- Stojkovic, S.; Kaider, A.; Koller, L.; Brekalo, M.; Wojta, J.; Diedrich, A.; Demyanets, S.; Pezawas, T. GDF-15 is a better complimentary marker for risk stratification of arrhythmic death in non-ischaemic, dilated cardiomyopathy than soluble ST2. J. Cell. Mol. Med. 2018, 22, 2422–2429. [Google Scholar] [CrossRef]
- Stojkovic, S.; Demyanets, S.; Kopp, C.W.; Hengstenberg, C.; Wojta, J.; Eichelberger, B.; Panzer, S.; Gremmel, T. Association of soluble suppression of tumorigenesis 2 (sST2) with platelet activation, monocyte tissue factor and ischemic outcomes following angioplasty and stenting. Front. Cardiovasc. Med. 2020, 7, 605669. [Google Scholar] [CrossRef]
- Vega de Ceniga, M.; Gomez, R.; Estallo, L.; Rodriguez, L.; Baquer, M.; Barba, A. Growth rate and associated factors in small abdominal aortic aneurysms. Eur. J. Vasc. Endovasc. Surg. 2006, 31, 231–236. [Google Scholar] [CrossRef] [PubMed][Green Version]




| Parameter | Healthy (n = 25) | AAA cohort 1 (n = 25) | AAA cohort 2 (n = 22) | PAD (n = 25) | p-Value | ||
|---|---|---|---|---|---|---|---|
| Metric Variables | n | Median (IQR) | Median (IQR) | Median (IQR) | Median (IQR) | ||
| Age (years) | 25/25/22/25 | 67.3 (11) | 67.6 (11) | 66.3 (10) | 68.4 (11) | H:A1—0.009 a | |
| Body mass index (kg/m2) | 25/24/22/25 | 27.0 (5.0) | 28.1 (6.9) | 27.5 (6.3) | 25.5 (3.0) | A1:P—0.018 a | |
| Smoking pack-years (py) | 17/22/20/23 | 20.0 (33.0) | 45.0 (25.8) | 47.5 (23.1) | 37.0 (33.0) | H:A2—0.033 a | |
| Mean systolic blood pressure (mmHg) | 25/24/19/25 | 130.0 (15.0) | 131.7 (17.0) | 130.0 (12.0) | 143.0 (33.0) | H:P—0.004 a | |
| Mean diastolic blood pressure (mmHg) | 25/24/19/25 | 80.0 (10.0) | 80.0 (12.0) | 80.0 (16.0) | 71.0 (22.0) | n.s. a | |
| Maximal AAA diameter (mm) | 24/20 | 52.7 (17.5) | 48.4 (11.1) | 0.546 a | |||
| Aortic segment volume (cm3) | 19/19 | 114.2 (87.4) | 96.3 (83.9) | 0.256 a | |||
| Maximal ILT diameter (mm) | 21/19 | 13.8 (15.2) | 14.5 (11.0) | 0.705 a | |||
| ILT volume (cm3) | 19/19 | 62.9 (80.5) | 27.5 (55.9) | 0.256 a | |||
| Categorical variables | n (%) | n (%) | n (%) | n (%) | |||
| Sex | Men | 23 (92.0) | 23 (92.0) | 21 (95.5) | 23 (92.0) | 0.959 b | |
| Women | 2 (8.0) | 2 (8.0) | 1 (4.5) | 2 (8.0) | |||
| Smoking | Never | 8 (32.0) | 2 (8.0) | 0 (0) | 2 (8.0) | H:A1—0.034 b H:A2—0.010 b H:P—0.034 b | |
| Past | 13 (52.0) | 11 (44.0) | 9 (40.9) | 15 (60.0) | 0.090 b | ||
| Current | 4 (16.0) | 12 (48.0) | 12 (54.5) | 8 (32.0) | H:A1—0.015 b H:A2—0.008 b | ||
| AAA family history | 2 (8.0) | 2 (8.0) | 4 (18.2) | 2 (8.0) | 0.352 b | ||
| Hypertension | 13 (52.0) | 24 (96.0) | 16 (72.7) | 23 (92.0) | H:A1—<0.001 b H:P—0.002 b A1:A2—0.040 c | ||
| Hyperlipidemia | 7 (28.0) | 21 (84.0) | 17 (77.3) | 19 (76.0) | H:A1—<0.001 b H:A2—0.001 b H:P—0.001 b | ||
| Coronary heart disease | 0 (0) | 11 (44.0) | 8 (36.4) | 9 (36.0) | H:A1—<0.001 b H:A2—0.001 c H:P—0.002 c | ||
| Myocardial infarction | 0 (0) | 6 (24.0) | 5 (22.7) | 4 (16.0) | 0.125 b | ||
| Stroke | 1 (4.0) | 3 (12.0) | 1 (4.5) | 5 (20.0) | 0.214 b | ||
| Diabetes mellitus type 2 | 3 (12.0) | 13 (52.0) | 3 (13.6) | 9 (36.0) | H:A1—0.002 b H:P—0.047 b A1:A2—0.006 b | ||
| COPD | 1 (4.0) | 4 (16.0) | 11 (50.0) | 5 (20.0) | H:A2—<0.001 b A1:A2—0.013 b A2:P—0.030 b | ||
| Antiplatelet therapy | 5 (20.0) | 22 (88.0) | 18 (81.8) | 21 (84.0) | H:A1—<0.001 b H:A2—<0.001 b H:P—<0.001 b | ||
| Anticoagulation therapy | 2 (8.0) | 3 (12.0) | 4 (18.2) | 4 (16.0) | 0.741 b | ||
| Antihypertensive therapy | 13 (52.0) | 24 (96.0) | 19 (86.4) | 20 (80.0) | H:A1—<0.001 b H:A2—0.012 b HC:P—0.037 b | ||
| Lipid-lowering agents | 4 (16.0) | 23 (92.0) | 17 (77.3) | 23 (92.0) | H:A1—<0.001 b H:A2—<0.001 b H:P—<0.001 b | ||
| Parameter | AAA cohort (n = 50) | ||
|---|---|---|---|
| Metric Variables | n | Median (IQR) | |
| Age (years) at first visit | 50 | 71.4 (12.0) | |
| Body mass index (kg/m2) | 50 | 27.6 (6.0) | |
| Smoking pack-years (py) | 46 | 40.0 (28.5) | |
| Mean systolic blood pressure (mmHg) | 50 | 132.7 (20.0) | |
| Mean diastolic blood pressure (mmHg) | 50 | 79.2 (11.0) | |
| Maximal AAA diameter (mm) at first visit | 50 | 43.7 (11.6) | |
| Aortic segment volume (cm3) at first visit | 45 | 68.2 (64.2) | |
| Maximal ILT diameter (mm) at first visit | 46 | 12.3 (11.8) | |
| ILT volume (cm3) at first visit | 45 | 24.5 (40.8) | |
| Categorical variables | n (%) | ||
| Sex | Women | 7 (14.0) | |
| Men | 43 (86.0) | ||
| Smoking | Never | 4 (8.0) | |
| Past | 23 (46.0) | ||
| Current | 23 (46.0) | ||
| AAA family history | 8 (16.0) | ||
| Hypertension | 45 (90.0) | ||
| Hyperlipidemia | 42 (84.0) | ||
| Coronary heart disease | 21 (42.0) | ||
| Myocardial infarction | 9 (18.0) | ||
| Stroke | 5 (10.0) | ||
| Diabetes mellitus type 2 | 15 (30.0) | ||
| COPD | 10 (20.0) | ||
| Antiplatelet therapy | 46 (92.0) | ||
| Anticoagulation therapy | 8 (16.0) | ||
| Antihypertensive therapy | 44 (88.0) | ||
| Lipid-lowering agents | 47 (94.0) | ||
Publisher’s Note: MDPI stays neutral with regard to jurisdictional claims in published maps and institutional affiliations. |
© 2022 by the authors. Licensee MDPI, Basel, Switzerland. This article is an open access article distributed under the terms and conditions of the Creative Commons Attribution (CC BY) license (https://creativecommons.org/licenses/by/4.0/).
Share and Cite
Klopf, J.; Demyanets, S.; Brekalo, M.; Eilenberg, W.; Wojta, J.; Neumayer, C.; Brostjan, C.; Stojkovic, S. Soluble ST2 as a Potential Biomarker for Abdominal Aortic Aneurysms—A Single-Center Retrospective Cohort Study. Int. J. Mol. Sci. 2022, 23, 9598. https://doi.org/10.3390/ijms23179598
Klopf J, Demyanets S, Brekalo M, Eilenberg W, Wojta J, Neumayer C, Brostjan C, Stojkovic S. Soluble ST2 as a Potential Biomarker for Abdominal Aortic Aneurysms—A Single-Center Retrospective Cohort Study. International Journal of Molecular Sciences. 2022; 23(17):9598. https://doi.org/10.3390/ijms23179598
Chicago/Turabian StyleKlopf, Johannes, Svitlana Demyanets, Mira Brekalo, Wolf Eilenberg, Johann Wojta, Christoph Neumayer, Christine Brostjan, and Stefan Stojkovic. 2022. "Soluble ST2 as a Potential Biomarker for Abdominal Aortic Aneurysms—A Single-Center Retrospective Cohort Study" International Journal of Molecular Sciences 23, no. 17: 9598. https://doi.org/10.3390/ijms23179598
APA StyleKlopf, J., Demyanets, S., Brekalo, M., Eilenberg, W., Wojta, J., Neumayer, C., Brostjan, C., & Stojkovic, S. (2022). Soluble ST2 as a Potential Biomarker for Abdominal Aortic Aneurysms—A Single-Center Retrospective Cohort Study. International Journal of Molecular Sciences, 23(17), 9598. https://doi.org/10.3390/ijms23179598

