Vasoactive Effects of Chronic Treatment with Fructose and Slow-Releasing H2S Donor GYY-4137 in Spontaneously Hypertensive Rats: The Role of Nitroso and Sulfide Signalization
Abstract
:1. Introduction
2. Results
2.1. General Characteristics of Experimental Animals
2.2. Systolic Blood Pressure in Response to Fructose and GYY-4137 Treatment
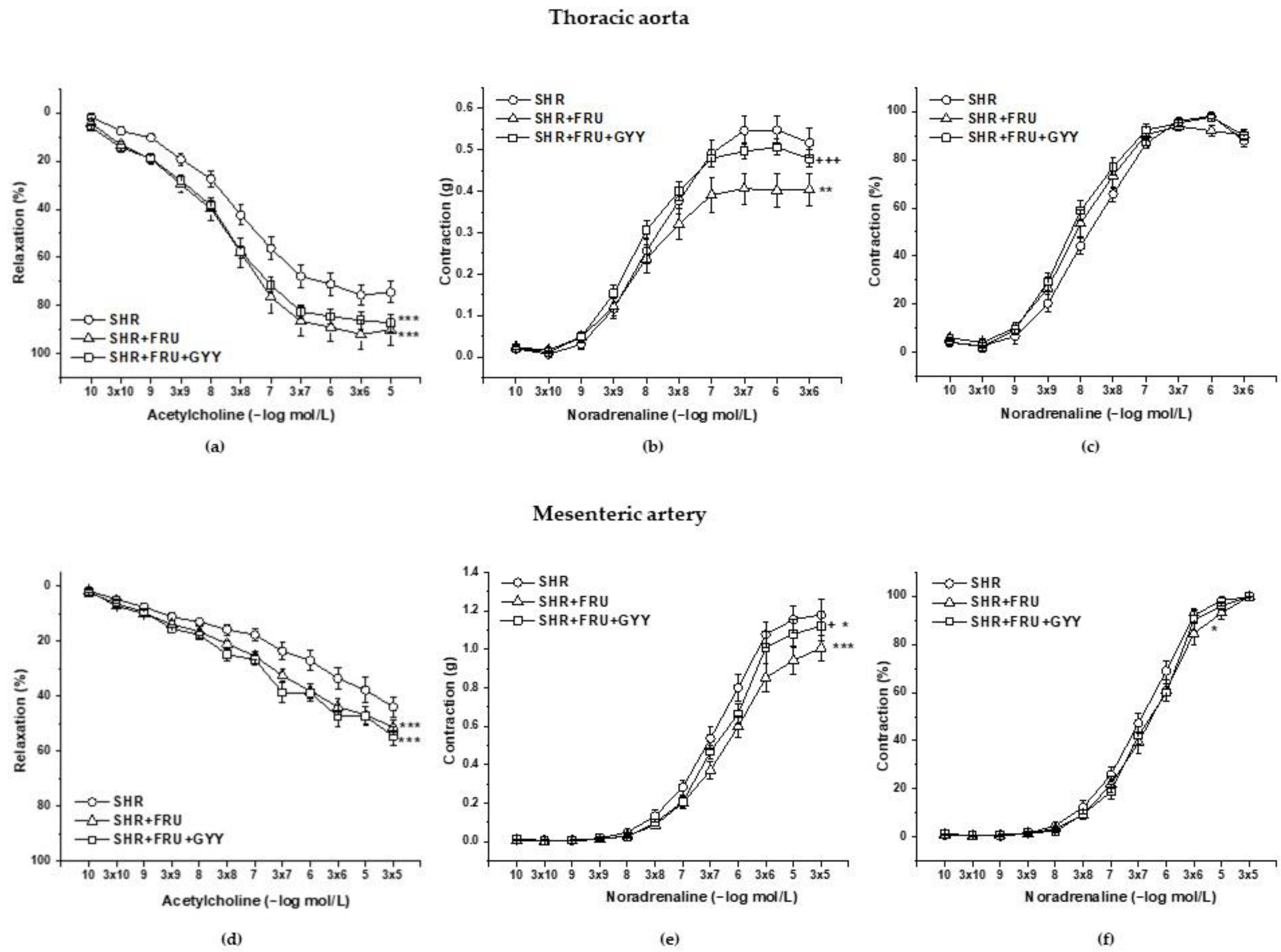
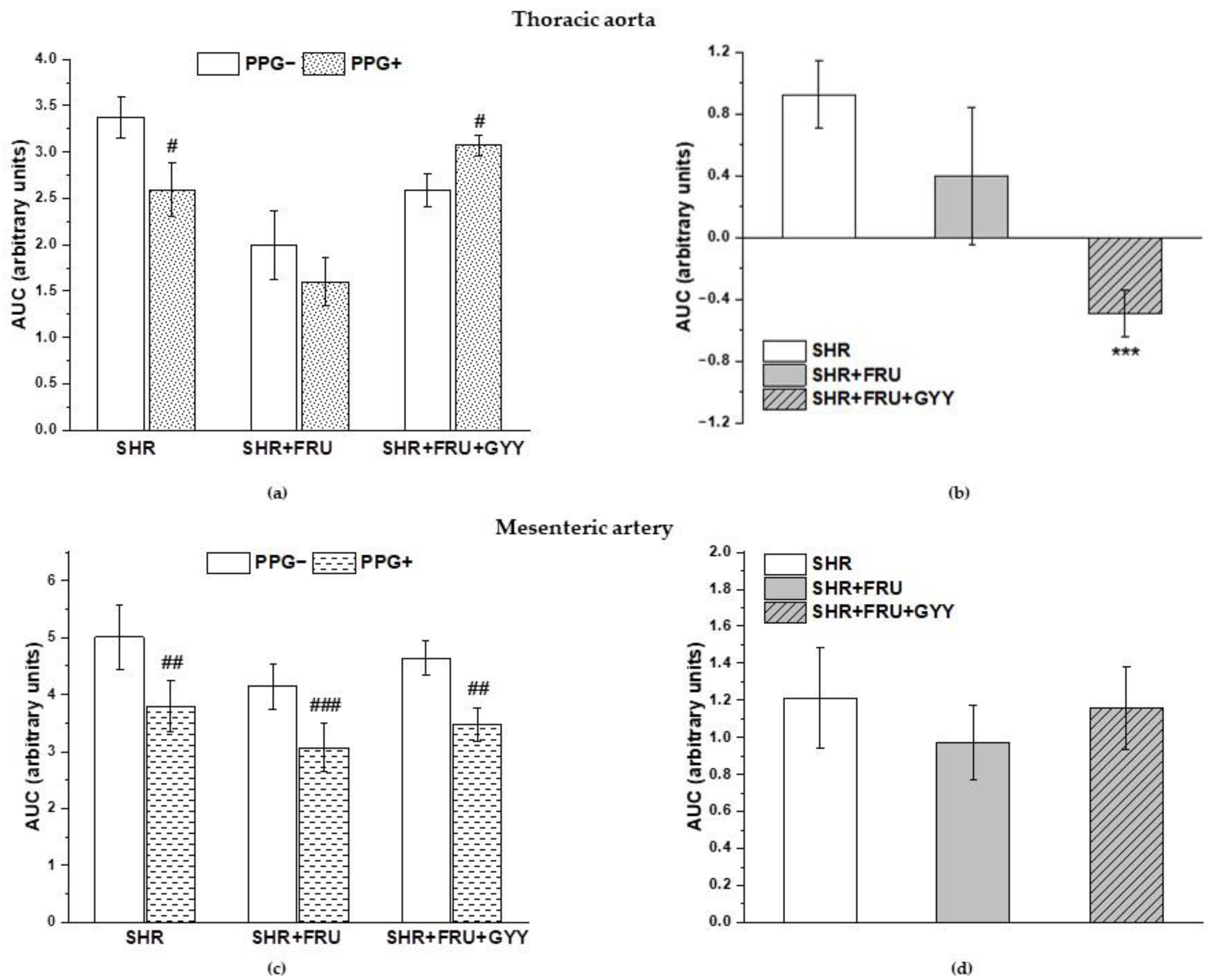
2.3. Endothelial Function and Contractile Properties of Isolated Arteries
2.4. Analyses of NO/NOS Pathway
2.5. Analyses of H2S/CSE Pathway
2.6. Markers of Inflammation and Lipid Peroxidation
2.7. Geometry of the Thoracic Aorta
3. Discussion
3.1. The Effect of Chronic Fructose Intake
3.2. The Effect of GYY-4137 Treatment
4. Materials and Methods
4.1. Guide for the Use and Care of Laboratory Animals
4.2. Experimental Model
4.3. Blood Pressure, Selected Biometric and Plasma Parameters
4.4. Vasoactive Responses of Thoracic Aorta and Mesenteric Artery
4.5. Measurement of Superoxide Production in Selected Tissues
4.6. Total NO Synthase Activity
4.7. Western Blotting
4.8. Morphological Study
4.9. Determination of Conjugated Dienes Concentration (CD)
4.10. Statistical Analysis
4.11. Drugs
5. Conclusions
Author Contributions
Funding
Institutional Review Board Statement
Informed Consent Statement
Data Availability Statement
Acknowledgments
Conflicts of Interest
References
- Kim, M.; Do, G.Y.; Kim, I. Activation of the Renin-Angiotensin System in High Fructose-Induced Metabolic Syndrome. Korean J. Physiol. Pharmacol. 2020, 24, 319–328. [Google Scholar] [CrossRef] [PubMed]
- Berenyiova, A.; Golas, S.; Drobna, M.; Cebova, M.; Cacanyiova, S. Fructose Intake Impairs the Synergistic Vasomotor Manifestation of Nitric Oxide and Hydrogen Sulfide in Rat Aorta. Int. J. Mol. Sci. 2021, 22, 4749. [Google Scholar] [CrossRef] [PubMed]
- Zemancikova, A.; Torok, J. Effect of Perivascular Adipose Tissue on Arterial Adrenergic Contractions in Normotensive and Hypertensive Rats with High Fructose Intake. Physiol. Res. 2017, 66, S537–S544. [Google Scholar] [CrossRef]
- Golas, S.; Berenyiova, A.; Majzunova, M.; Drobna, M.; Tuorkey, M.J.; Cacanyiova, S. The Vasoactive Effect of Perivascular Adipose Tissue and Hydrogen Sulfide in Thoracic Aortas of Normotensive and Spontaneously Hypertensive Rats. Biomolecules 2022, 12, 457. [Google Scholar] [CrossRef]
- Cacanyiova, S.; Berenyiova, A.; Kristek, F.; Drobna, M.; Ondrias, K.; Grman, M. The Adaptive Role of Nitric Oxide and Hydrogen Sulphide in Vasoactive Responses of Thoracic Aorta Is Triggered Already in Young Spontaneously Hypertensive Rats. J. Physiol. Pharmacol. 2016, 67, 501–512. [Google Scholar]
- Berenyiova, A.; Drobna, M.; Cebova, M.; Kristek, F.; Cacanyiova, S. Changes in the Vasoactive Effects of Nitric Oxide, Hydrogen Sulfide and the Structure of the Rat Thoracic Aorta: The Role of Age and Essential Hypertension. J. Physiol. Pharmacol. 2018, 69, 4. [Google Scholar] [CrossRef]
- Sun, Y.; Huang, Y.; Zhang, R.; Chen, Q.; Chen, J.; Zong, Y.; Liu, J.; Feng, S.; Liu, A.D.; Holmberg, L.; et al. Hydrogen Sulfide Upregulates KATP Channel Expression in Vascular Smooth Muscle Cells of Spontaneously Hypertensive Rats. J. Mol. Med. 2015, 93, 439–455. [Google Scholar] [CrossRef] [PubMed]
- Tain, Y.L.; Hsu, C.N.; Lu, P.C. Early Short-Term Treatment with Exogenous Hydrogen Sulfide Postpones the Transition from Prehypertension to Hypertension in Spontaneously Hypertensive Rat. Clin. Exp. Hypertens. 2018, 40, 58–64. [Google Scholar] [CrossRef] [PubMed]
- Li, J.; Teng, X.; Jin, S.; Dong, J.; Guo, Q.; Tian, D.; Wu, Y. Hydrogen Sulfide Improves Endothelial Dysfunction by Inhibiting the Vicious Cycle of NLRP3 Inflammasome and Oxidative Stress in Spontaneously Hypertensive Rats. J. Hypertens. 2019, 37, 1633–1643. [Google Scholar] [CrossRef]
- Jackson-Weaver, O.; Osmond, J.M.; Riddle, M.A.; Naik, J.S.; Gonzalez Bosc, L.V.; Walker, B.R.; Kanagy, N.L. Hydrogen sulfide dilates rat mesenteric arteries by activating endothelial large-conductance Ca2+-activated K+ channels and smooth muscle Ca2+ sparks. Am. J. Physiol. Heart Circ. Physiol. 2013, 304, H1446–H1454. [Google Scholar] [CrossRef]
- Li, L.; Whiteman, M.; Guan, Y.Y.; Neo, K.L.; Cheng, Y.; Lee, S.W.; Zhao, Y.; Baskar, R.; Tan, C.H.; Moore, P.K. Characterization of a Novel, Water-Soluble Hydrogen Sulfide-Releasing Molecule (GYY4137): New Insights into the Biology of Hydrogen Sulfide. Circulation 2008, 117, 2351–2360. [Google Scholar] [CrossRef] [PubMed]
- Meng, G.; Zhu, J.; Xiao, Y.; Huang, Z.; Zhang, Y.; Tang, X.; Xie, L.; Chen, Y.; Shao, Y.; Ferro, A.; et al. Hydrogen Sulfide Donor GYY4137 Protects against Myocardial Fibrosis. Oxid Med. Cell. Longev. 2015, 2015, 691070. [Google Scholar] [CrossRef]
- Liu, Z.; Han, Y.; Li, L.; Lu, H.; Meng, G.; Li, X.; Shirhan, M.; Peh, M.T.; Xie, L.; Zhou, S.; et al. The Hydrogen Sulfide Donor, GYY4137, Exhibits Anti-Atherosclerotic Activity in High Fat Fed Apolipoprotein E(-/-) Mice. Br. J. Pharmacol. 2013, 169, 1795–1809. [Google Scholar] [CrossRef] [PubMed]
- Wei, W.B.; Hu, X.; Zhuang, X.D.; Liao, L.Z.; Li, W.D. GYY4137, a Novel Hydrogen Sulfide-Releasing Molecule, Likely Protects against High Glucose-Induced Cytotoxicity by Activation of the AMPK/MTOR Signal Pathway in H9c2 Cells. Mol. Cell. Biochem. 2014, 389, 249–256. [Google Scholar] [CrossRef] [PubMed]
- Cacanyiova, S.; Majzunova, M.; Golas, S.; Berenyiova, A. The role of perivascular adipose tissue and endogenous hydrogen sulfide in vasoactive responses of isolated mesenteric arteries in normotensive and spontaneously hypertensive rats. J. Physiol. Pharmacol. 2019, 70, 295–306. [Google Scholar] [CrossRef]
- Matsumoto, T.; Takayanagi, K.; Tomoki Katome, T.; Kojima, M.; Taguchi, K.; Kobayashi, T. Reduced Relaxant Response to Adenine in the Superior Mesenteric Artery of Spontaneously Hypertensive Rats. Biol. Pharm. Bull. 2021, 44, 1530–1535. [Google Scholar] [CrossRef]
- Stanhope, K.L.; Schwarz, J.M.; Havel, P.J. Adverse Metabolic Effects of Dietary Fructose: Results from the Recent Epidemiological, Clinical, and Mechanistic Studies. Curr. Opin. Lipidol. 2013, 24, 198–206. [Google Scholar] [CrossRef]
- Chong, M.F.F.; Fielding, B.A.; Frayn, K.N. Mechanisms for the Acute Effect of Fructose on Postprandial Lipemia. Am. J. Clin. Nutr. 2007, 85, 1511–1520. [Google Scholar] [CrossRef]
- Sánchez-Lozada, L.G.; Tapia, E.; Jiménez, A.; Bautista, P.; Cristóbal, M.; Nepomuceno, T.; Soto, V.; Ávila-Casado, C.; Nakagawa, T.; Johnson, R.J.; et al. Fructose-induced metabolic syndrome is associated with glomerular hypertension and renal microvascular damage in rats. Am. J. Physiol. Renal. Physiol. 2007, 292, F423–F429. [Google Scholar] [CrossRef]
- Sangüesa, G.; Shaligram, S.; Akther, F.; Roglans, N.; Laguna, J.C.; Rahimian, R.; Alegret, M. Type of supplemented simple sugar, not merely calorie intake, determines adverse effects on metabolism and aortic function in female rats. Am. J. Physiol. Heart Circ. Physiol. 2017, 312, H289–H304. [Google Scholar] [CrossRef]
- Miller, A.; Adeli, K. Dietary fructose and the metabolic syndrome Current Opinion. Gastroenterol 2008, 24, 204–209. [Google Scholar] [CrossRef]
- Kurbel, S. Arterial Hypertension Due to Fructose Ingestion: Model Based on Intermittent Osmotic Fluid Trapping in the Small Bowel. Theor. Biol. Med. Model. 2010, 7, 27. [Google Scholar] [CrossRef] [PubMed]
- Yang, N.; Gonzalez-Vicente, A.; Garvin, J.L. Angiotensin II-Induced Superoxide and Decreased Glutathione in Proximal Tubules: Effect of Dietary Fructose. Am. J. Physiol. Renal. Physiol. 2020, 318, F183–F192. [Google Scholar] [CrossRef]
- Xu, L.; Liu, J.T.; Li, K.; Wang, S.Y.; Xu, S. Genistein Inhibits Ang II-Induced CRP and MMP-9 Generations via the ER-P38/ERK1/2-PPARgamma-NF-KappaB Signaling Pathway in Rat Vascular Smooth Muscle Cells. Life Sci. 2019, 216, 140–146. [Google Scholar] [CrossRef] [PubMed]
- Meza, C.A.; La Favor, J.D.; Kim, D.-H.; Hickner, R.C. Endothelial Dysfunction: Is There a Hyperglycemia-Induced Imbalance of NOX and NOS? Int. J. Mol. Sci. 2019, 20, 3775. [Google Scholar] [CrossRef]
- Beltowski, J.; Wojcicka, G.; Jamroz-Wisniewska, A. Role of Nitric Oxide and Endothelium-Derived Hyperpolarizing Factor (EDHF) in the Regulation of Blood Pressure by Leptin in Lean and Obese Rats. Life Sci. 2006, 79, 63–71. [Google Scholar] [CrossRef]
- Mokhtar, S.S.; Vanhoutte, P.M.; Leung, S.W.S.; Yusof, M.I.; Wan Sulaiman, W.A.; Mat Saad, A.Z.; Suppian, R.; Rasool, A.H.G. Endothelium Dependent Hyperpolarization-Type Relaxation Compensates for Attenuated Nitric Oxide-Mediated Responses in Subcutaneous Arteries of Diabetic Patients. Nitric Oxide 2016, 53, 35–44. [Google Scholar] [CrossRef]
- Wen, J.Y.; Zhang, J.; Chen, S.; Chen, Y.; Zhang, Y.; Ma, Z.Y.; Zhang, F.; Xie, W.M.; Fan, Y.F.; Duan, J.S.; et al. Endothelium-Derived Hydrogen Sulfide Acts as a Hyperpolarizing Factor and Exerts Neuroprotective Effects via Activation of Large-Conductance Ca(2+) -Activated K(+) Channels. Br. J. Pharmacol. 2021, 178, 4155–4175. [Google Scholar] [CrossRef]
- Mustafa, A.K.; Sikka, G.; Gazi, S.K.; Steppan, J.; Jung, S.M.; Bhunia, A.K.; Barodka, V.M.; Gazi, F.K.; Barrow, R.K.; Wang, R.; et al. Hydrogen Sulfide as Endothelium-Derived Hyperpolarizing Factor Sulfhydrates Potassium Channels. Circ. Res. 2011, 109, 1259–1268. [Google Scholar] [CrossRef]
- Briones, A.M.; Alonso, M.J.; Marin, J.; Balfagon, G.; Salaices, M. Influence of Hypertension on Nitric Oxide Synthase Expression and Vascular Effects of Lipopolysaccharide in Rat Mesenteric Arteries. Br. J. Pharmacol. 2000, 131, 185–194. [Google Scholar] [CrossRef]
- He, X.; Zhang, H.-L.; Zhao, M.; Yang, J.-L.; Cheng, G.; Sun, L.; Li, D.-L.; Jiang, H.-K.; Zhao, Q.; Yu, X.-J.; et al. Amlodipine ameliorates endothelial dysfunction in mesenteric arteries fromspontaneously hypertensive rats. Clin. Exp. Pharmacol. Physiol. 2011, 38, 255–261. [Google Scholar] [CrossRef] [PubMed]
- Kalra, J.; Mangali, S.; Bhat, A.; Jadhav, K.; Dhar, A. Selective Inhibition of PKR Improves Vascular Inflammation and Remodelling in High Fructose Treated Primary Vascular Smooth Muscle Cells. Biochim. Biophys. Acta Mol. Basis Dis. 2020, 1866, 165606. [Google Scholar] [CrossRef] [PubMed]
- Zhou, Y.; Zhang, J.; Cai, Y.; Teng, X.; Duan, X.; Song, J.; Du, J.; Tang, C.; Qi, Y. Insulin Resistance Induces Medial Artery Calcification in Fructose-Fed Rats. Exp. Biol. Med. (Maywood) 2012, 237, 50–57. [Google Scholar] [CrossRef]
- Pan, Z.; Wang, J.; Xu, M.; Chen, S.; Li, X.; Sun, A.; Lou, N.; Ni, Y. Hydrogen Sulfide Protects against High Glucoseinduced Lipid Metabolic Disturbances in 3T3L1 Adipocytes via the AMPK Signaling Pathway. Mol. Med. Rep. 2019, 20, 4119–4124. [Google Scholar] [CrossRef] [PubMed]
- Zhu, M.L.; Zhao, F.R.; Zhu, T.T.; Wang, Q.Q.; Wu, Z.Q.; Song, P.; Xu, J.; Wan, G.R.; Yin, Y.L.; Li, P. The Antihypertension Effect of Hydrogen Sulfide (H2S) Is Induced by Activating VEGFR2 Signaling Pathway. Life Sci. 2021, 267, 118831. [Google Scholar] [CrossRef] [PubMed]
- Drobna, M.; Misak, A.; Holland, T.; Kristek, F.; Grman, M.; Tomasova, L.; Berenyiova, A.; Cacanyiova, S.; Ondrias, K. Captopril Partially Decreases the Effect of H(2)S on Rat Blood Pressure and Inhibits H(2)S-Induced Nitric Oxide Release from S-Nitrosoglutathione. Physiol. Res. 2015, 64, 479–486. [Google Scholar] [CrossRef]
- Nagpure, B.V.; Bian, J.S. Interaction of Hydrogen Sulfide with Nitric Oxide in the Cardiovascular System. Oxid. Med. Cell. Longev. 2016, 2016, 6904327. [Google Scholar] [CrossRef]
- Drucker, N.A.; Jensen, A.R.; Te Winkel, J.P.; Markel, T.A. Hydrogen Sulfide Donor GYY4137 Acts Through Endothelial Nitric Oxide to Protect Intestine in Murine Models of Necrotizing Enterocolitis and Intestinal Ischemia. J. Surg. Res. 2019, 234, 294–302. [Google Scholar] [CrossRef]
- Cacanyiova, S.; Golas, S.; Zemancikova, A.; Majzunova, M.; Cebova, M.; Malinska, H.; Huttl, M.; Markova, I.; Berenyiova, A. The Vasoactive Role of Perivascular Adipose Tissue and the Sulfide Signaling Pathway in a Nonobese Model of Metabolic Syndrome. Biomolecules 2021, 11, 108. [Google Scholar] [CrossRef]
- Emilova, R.; Dimitrova, D.; Mladenov, M.; Daneva, T.; Schubert, R.; Gagov, H. Cystathionine Gamma-Lyase of Perivascular Adipose Tissue with Reversed Regulatory Effect in Diabetic Rat Artery. Biotechnol. Biotechnol. Equip. 2015, 29, 147–151. [Google Scholar] [CrossRef]
- Sikura, K.E.; Potor, L.; Szerafin, T.; Oros, M.; Nagy, P.; Mehes, G.; Hendrik, Z.; Zarjou, A.; Agarwal, A.; Posta, N.; et al. Hydrogen Sulfide Inhibits Calcification of Heart Valves; Implications for Calcific Aortic Valve Disease. Br. J. Pharmacol. 2020, 177, 793–809. [Google Scholar] [CrossRef] [PubMed]
- Li, L.; Fox, B.; Keeble, J.; Salto-Tellez, M.; Winyard, P.G.; Wood, M.E.; Moore, P.K.; Whiteman, M. The complex effects of the slow-releasing hydrogen sulfide donor GYY4137 in a model of acute joint inflammation and in human cartilage cells. J. Cell. Mol. Med. 2013, 17, 365–376. [Google Scholar] [CrossRef] [PubMed]
- Li, L.; Salto-Tellez, M.; Tan, C.H.; Whiteman, M.; Moore, P.K. GYY4137, a novel hydrogen sulfide-releasing molecule, protects against endotoxic shock in the rat. Free Radic. Biol. Med. 2009, 47, 103–113. [Google Scholar] [CrossRef] [PubMed]
- Pechanova, O.; Bernatova, I.; Pelouch, V.; Simko, F. Protein remodelling of the heart in NO-deficient hypertension: The effect of captopril. J. Mol. Cell Cardiol. 1997, 29, 3365–3374. [Google Scholar] [CrossRef]
- Kogure, K.; Watson, B.D.; Busto, R.; Abe, K. Potentiation of lipid peroxides by ischemia in rat brain. Neurochem. Res. 1982, 4, 437–454. [Google Scholar] [CrossRef]












| Parameter | SHR | SHR+FRU | SHR+FRU+GYY |
|---|---|---|---|
| n | 8 | 8 | 8 |
| BW (g) | 313 ± 3.5 | 333.6 ± 5.6 ** | 331.9 ± 6 * |
| HW (g) | 1.095 ± 0.05 | 1.254 ± 0.16 * | 1.232 ± 0.15 * |
| RTW (g) | 2.03 ± 0.17 | 2.96 ± 0.16 ** | 2.98 ± 0.14 *** |
| TL (mm) | 34.79 ± 0.24 | 36.93 ± 0.34 ** | 36.98 ± 0.42 *** |
| HW/TL (mg/mm) | 28.71 ± 3.18 | 33.99 ± 0.48 | 33.34 ± 0.33 |
| RTW/TL (mg/mm) | 58.33 ± 4.98 | 79.91 ± 3.93 ** | 80.74 ± 3.93 ** |
| GLU (mmoL/L) | 8.26 ± 0.35 | 9.04 ± 0.77 | 8.14 ± 0.43 |
| CHOL (mmoL/L) | 2.67 ± 0.19 | 2.71 ± 0.22 | 2.41 ± 0.13 |
| HLD-C (mmoL/L) | 1.65 ± 0.09 | 1.9 ± 0.17 | 1.6 ± 0.09 |
| TAG (mmoL/L) | 1.2 ± 0.07 | 2.2 ± 0.24 ** | 1.67 ± 0.08 **+ |
| ALT (U/L) | 80.86 ± 4.34 | 86.14 ±7.48 | 82.75 ±9.43 |
| AST (U/L) | 221.14 ± 14.92 | 198.14 ± 18.21 | 177.63 ± 8.57 * |
| TP (g/L) | 74.43 ± 2.35 | 84.37 ± 3.86 * | 75.1 ± 2.2 + |
| ALB (g/L) | 45.56 ± 1.11 | 50.17 ±1.79 * | 45.7 ± 1.09 + |
| UREA (mmoL/L) | 7.86 ± 0.11 | 5.18 ± 0.47 *** | 4.95 ± 0.51 *** |
| Fluid intake (mL/day) | 33.45 ± 2.72 | 79.41 ± 2.45 *** | 73.8 ± 1.19 *** |
| Food intake (g/day) | 21.1 ± 0.86 | 16 ± 1.19 * | 16.49 ± 1.77 * |
| Parameter | SHR | SHR+FRU | SHR+FRU+GYY |
|---|---|---|---|
| IL-6 (aorta) (Density IL-6/β-actin) | 0.078 ± 0.02 | 0.085 ± 0.03 | 0.102 ± 0.02 |
| IL-6 (left ventricle) (Density IL-6/GAPDH) | 0.305 ± 0.02 | 0.570 ± 0.04 *** | 0.616 ± 0.04 *** |
| TNFα (aorta) (Density TNFα/β-actin) | 4.893 ± 0.35 | 5.221 ± 0.25 | 4.129 ± 0.39 |
| TNFα (left ventricle) (Density TNFα/GAPDH) | 0.108 ± 0.02 | 0.316 ± 0.05 *** | 0.160 ± 0.03 ++ |
| CD left ventricle (nmol/g) | 1493.79 ± 125.44 | 2815.33 ± 211.93 ** | 1808.37 ± 140.49 + |
| Parameter | SHR | SHR+FRU | SHR+FRU+GYY |
|---|---|---|---|
| WT (µm) | 87.88 ± 2.06 | 101.66 ± 3.87 ** | 102.41 ± 2.16 ** |
| ID (µm) | 1655.51 ± 51.74 | 1682.49 ± 65.38 | 2064.83 ± 47.31 *** ++ |
| CSA (µm2) × 103 | 404.93 ± 21.2 | 568.57 ± 23.36 | 639.75 ± 3.71 ** |
| WD (WT/ID) × 100 | 5.34 ± 0.56 | 6.09 ± 0.37 | 5.33 ± 0.31 |
Publisher’s Note: MDPI stays neutral with regard to jurisdictional claims in published maps and institutional affiliations. |
© 2022 by the authors. Licensee MDPI, Basel, Switzerland. This article is an open access article distributed under the terms and conditions of the Creative Commons Attribution (CC BY) license (https://creativecommons.org/licenses/by/4.0/).
Share and Cite
Berenyiova, A.; Cebova, M.; Aydemir, B.G.; Golas, S.; Majzunova, M.; Cacanyiova, S. Vasoactive Effects of Chronic Treatment with Fructose and Slow-Releasing H2S Donor GYY-4137 in Spontaneously Hypertensive Rats: The Role of Nitroso and Sulfide Signalization. Int. J. Mol. Sci. 2022, 23, 9215. https://doi.org/10.3390/ijms23169215
Berenyiova A, Cebova M, Aydemir BG, Golas S, Majzunova M, Cacanyiova S. Vasoactive Effects of Chronic Treatment with Fructose and Slow-Releasing H2S Donor GYY-4137 in Spontaneously Hypertensive Rats: The Role of Nitroso and Sulfide Signalization. International Journal of Molecular Sciences. 2022; 23(16):9215. https://doi.org/10.3390/ijms23169215
Chicago/Turabian StyleBerenyiova, Andrea, Martina Cebova, Basak Gunes Aydemir, Samuel Golas, Miroslava Majzunova, and Sona Cacanyiova. 2022. "Vasoactive Effects of Chronic Treatment with Fructose and Slow-Releasing H2S Donor GYY-4137 in Spontaneously Hypertensive Rats: The Role of Nitroso and Sulfide Signalization" International Journal of Molecular Sciences 23, no. 16: 9215. https://doi.org/10.3390/ijms23169215
APA StyleBerenyiova, A., Cebova, M., Aydemir, B. G., Golas, S., Majzunova, M., & Cacanyiova, S. (2022). Vasoactive Effects of Chronic Treatment with Fructose and Slow-Releasing H2S Donor GYY-4137 in Spontaneously Hypertensive Rats: The Role of Nitroso and Sulfide Signalization. International Journal of Molecular Sciences, 23(16), 9215. https://doi.org/10.3390/ijms23169215

