Sign in to use this feature.

Years

Between: -

Subjects

remove_circle_outline
remove_circle_outline
remove_circle_outline
remove_circle_outline
remove_circle_outline
remove_circle_outline
remove_circle_outline

Journals

Article Types

Countries / Regions

remove_circle_outline
remove_circle_outline
remove_circle_outline
remove_circle_outline
remove_circle_outline

Search Results (377)

Search Parameters:
Keywords = spontaneously hypertensive rats

Order results
Result details
Results per page
Select all
Export citation of selected articles as:
13 pages, 1129 KB  
Article
Transcriptomic Analysis of High-Intensity Interval Training in High-Fat-Diet-Induced Spontaneous Hypertensive Rats’ Brains
by Arslan Sadiq, Iqbal Ali Shah, Bor-Tsang Wu, Yi-Yuan Lin, Yi-An Su, Ai-Lun Yang and Shin-Da Lee
Int. J. Mol. Sci. 2026, 27(1), 304; https://doi.org/10.3390/ijms27010304 - 27 Dec 2025
Viewed by 206
Abstract
Hypertension contributes to brain dysfunction through apoptosis, oxidative stress, reduced neuronal connectivity, and neurotransmitter imbalance. Exercise training is a non-pharmacological strategy known to modulate these molecular alterations. This study investigated the effects of high-intensity interval training (HIIT) on transcriptomic changes in the cerebral [...] Read more.
Hypertension contributes to brain dysfunction through apoptosis, oxidative stress, reduced neuronal connectivity, and neurotransmitter imbalance. Exercise training is a non-pharmacological strategy known to modulate these molecular alterations. This study investigated the effects of high-intensity interval training (HIIT) on transcriptomic changes in the cerebral cortex of spontaneously hypertensive rats (SHR) fed a high-fat diet (HFD). Rats were assigned to either a HIIT intervention group (HIIT-HFD-SHR) or a sedentary control group (HFD-SHR). Cortical RNA was extracted, sequenced using the Illumina NovaSeq 6000 platform, and analyzed with DESeq2. Functional enrichment was conducted using Metascape. RNA-seq identified 1223 differentially expressed genes (DEGs) (adjusted p < 0.05), with 51 remaining significant under stringent criteria (adjusted p < 0.001, |log2FC| > 0.5). Among these, eight key genes were closely associated with the regulation of apoptosis and autophagy, including seven downregulated (Egr1, Atf3, Tgm2, Lgals1, Nr4a1, Plekhf1, Nupr1) and one upregulated (Trim39). This transcriptomic analysis following HIIT also modulated circadian rhythm, long-term memory processes, and hypoxia response in the hypertensive brain. These findings indicate that HIIT decreases apoptosis and autophagy and improves circadian rhythm, long-term memory, and hypoxia in hypertensive rats’ brains. Full article
(This article belongs to the Special Issue Molecular Mechanisms Related to Exercise)
Show Figures

Figure 1

23 pages, 11203 KB  
Article
Complexed Linalool with Beta-Cyclodextrin Improve Antihypertensive Activity: Pharmacokinetic and Pharmacodynamic Insights
by Samuel Camargo, Carla Medeiros, Liliane Silva, Rafael Leonne Jesus, Fênix Araujo, Daniele Brito, Quiara Alves, Raiana Moraes, Valdeene Santos, Francine Azeredo, Adriano Araújo, Lucindo Quintans-Júnior and Darizy Silva
Pharmaceuticals 2026, 19(1), 37; https://doi.org/10.3390/ph19010037 - 23 Dec 2025
Viewed by 229
Abstract
Background: Arterial hypertension (AH) remains a global health concern due to its multifactorial etiology, limited therapeutic success, and high cardiovascular risk. In this context, plant-derived compounds such as essential oils have gained attention as alternative strategies. The monoterpene (-)-linalool (LIN) demonstrates antihypertensive effects. [...] Read more.
Background: Arterial hypertension (AH) remains a global health concern due to its multifactorial etiology, limited therapeutic success, and high cardiovascular risk. In this context, plant-derived compounds such as essential oils have gained attention as alternative strategies. The monoterpene (-)-linalool (LIN) demonstrates antihypertensive effects. However, its clinical application is hampered by poor solubility and low bioavailability. Methods: This study aimed to investigate the chronic cardiovascular effects of free LIN and its inclusion complex with β-cyclodextrin (LIN/β-CD) in spontaneously hypertensive rats (SHR) and normotensive Wistar rats. Results: Pharmacokinetic analysis showed that complexation with β-CD markedly improved LIN plasma exposure, increasing systemic bioavailability by approximately 20-fold and prolonging its circulation time. In acute assays, intravenous LIN and LIN/β-CD (50 mg/kg) reduced blood pressure in SHR, LIN induced bradycardia, and LIN/β-CD elicited a mild, non-significant tachycardia. Orally administered LIN/β-CD exerted superior antihypertensive effects compared to free LIN. In a 60-day chronic regimen, LIN/β-CD consistently maintained reduced arterial pressure, achieving levels comparable to normotensive controls, while free LIN produced transient effects. LIN/β-CD also significantly reduced the cardiac mass index in SHR, suggesting attenuation of hypertrophic remodeling. Vascular reactivity assays revealed enhanced endothelium-dependent and -independent relaxation and diminished vasoconstriction in LIN/β-CD-treated animals, indicating improved endothelial and smooth muscle function. Histological analyses confirmed the absence of cardiac or vascular injury in both treatment groups. Conclusions: In conclusion, the LIN/β-CD complex improves the pharmacokinetic profile and enhances the arterial morphology, antihypertensive and cardioprotective effects of linalool. These findings support its translational potential as a safe and effective oral formulation for the long-term management of hypertension and associated cardiovascular dysfunction. Full article
(This article belongs to the Section Pharmacology)
Show Figures

Figure 1

21 pages, 2483 KB  
Article
Glucocorticoid Signaling-Associated Gene Expression in the Hippocampus and Frontal Cortex of Chronically Isolated Normotensive and Hypertensive Rats and the Responsiveness to Acute Restraint Stress
by Alexey Kvichansky, Liya Tretyakova, Yulia Moiseeva, Viktoriia Ovchinnikova, Diana Mamedova, Olga Nedogreeva, Natalia Lazareva, Natalia Gulyaeva and Mikhail Stepanichev
Int. J. Mol. Sci. 2025, 26(24), 12050; https://doi.org/10.3390/ijms262412050 - 15 Dec 2025
Viewed by 267
Abstract
Genotypic characteristics may determine the body’s response to stressful conditions as well as its susceptibility to cardiovascular diseases and stroke. Old age worsens the course of these diseases, and often concomitant hypertension can negatively affect brain function, especially in cases of social isolation. [...] Read more.
Genotypic characteristics may determine the body’s response to stressful conditions as well as its susceptibility to cardiovascular diseases and stroke. Old age worsens the course of these diseases, and often concomitant hypertension can negatively affect brain function, especially in cases of social isolation. In this work, we studied how social isolation and hypertension affect the transcription activity of genes associated with glucocorticoid signaling in the rat brain. The study was performed on 10-month-old rats of the outbred Wistar stock (n = 48) and the inbred spontaneously hypertensive (SHR) strain (n = 28). The animals of each genotype were divided into groups, one of which was kept in home cages in groups of 3–4 individuals, and the other in single cages for 3 months. Physiological parameters and plasma corticosterone were controlled before the start and after 3 months of isolation. Each group was additionally divided into two subgroups: one subjected to 1 h of restraint stress, and changes in blood glucose and corticosterone levels were assessed. At the end, the levels of Nr3c1, Nr3c2, Hsd11b1, and Fkbp5 mRNAs were measured in the hippocampus and frontal cortex using the Q-PCR technique. After isolation, weight gain stopped in SHRs, although blood pressure did not change, and heart rate increased in rats of both genotypes. In response to restraint, there was practically no increase in corticosterone in isolated Wistar rats, whereas in SHRs, there were significant glucose and corticosterone responses. Significant disruptions in the system responsible for corticosterone-activated signaling cascades were found in the brains of SHR rats. The transcriptional activity of genes encoding corticosterone receptors and proteins regulating their action was reduced in the hippocampus and frontal cortex in SHRs compared to Wistar rats. However, neither isolation nor acute stress significantly affected the contents of transcripts studied. Meanwhile, after isolation, the relationships between the expression of these genes changed significantly, in different directions, in rats of the studied genotypes, both within and between brain structures. Thus, the SHR genotype is associated with persistent changes in the brain that affect the expression of glucocorticoid-associated genes. This indicates a more complex regulation of the stress response, not limited only by the feedback system within the hypothalamic–pituitary–adrenocortical or sympatho-adrenomedullary systems, but operated at the level of the limbic system and the cerebral cortex. Full article
(This article belongs to the Special Issue Molecular Crosstalk in Stress-Induced Psychopathology)
Show Figures

Figure 1

19 pages, 1356 KB  
Article
Therapeutic Evaluation of Rosmarinic Acid in a Rat Model Combining Hypertension, Diabetes, and Nephrolithiasis
by Anelise Felício Macarini, Mariana Zanovello, Anelize Dada, Rita de Cássia Vilhena da Silva, Rogério Corrêa and Priscila de Souza
Pharmaceuticals 2025, 18(12), 1773; https://doi.org/10.3390/ph18121773 - 21 Nov 2025
Viewed by 358
Abstract
Background: Cardiometabolic disorders such as hypertension and diabetes are major contributors to chronic kidney disease and often coexist, amplifying dysfunction and metabolic imbalance that favor renal injury and nephrolithiasis. Although pharmacological therapies exist for blood pressure and glycemic control, few target these [...] Read more.
Background: Cardiometabolic disorders such as hypertension and diabetes are major contributors to chronic kidney disease and often coexist, amplifying dysfunction and metabolic imbalance that favor renal injury and nephrolithiasis. Although pharmacological therapies exist for blood pressure and glycemic control, few target these mechanisms simultaneously. Rosmarinic acid (RA), a polyphenolic compound, exhibits antioxidant, anti-inflammatory, and nephroprotective effects, but its role in combined models of hypertension, diabetes, and nephrolithiasis remains unexplored. Objectives: This study investigated the therapeutic potential of RA in an experimental model combining hypertension, diabetes mellitus, and nephrolithiasis. Methods: Male Wistar spontaneously hypertensive (SHR) and normotensive rats were assigned to eight groups, including controls, comorbid groups, and treatments with RA (10 mg/kg) or hydrochlorothiazide (HCTZ; 5 mg/kg). Diabetes was induced by streptozotocin and nephrolithiasis by ethylene glycol plus ammonium chloride. Hemodynamic, biochemical, oxidative stress, and histological parameters were assessed. Results: SHR exhibited sustained hypertension, further aggravated by diabetes and nephrolithiasis. RA stabilized arterial pressure progression, whereas HCTZ significantly reduced blood pressure. RA and HCTZ treatments decreased urinary calcium oxalate crystal formation by 47.34 and 58.99%, respectively, and partially restored renal morphology. RA restored superoxide dismutase activity, preserved nitrite levels, and reduced lipid peroxidation, indicating antioxidant and endothelial protection. Neither treatment normalized glycemia or fully recovered renal function. Histological analysis showed attenuation of tubular and glomerular alterations in treated groups, particularly with RA. Conclusions: Overall, RA exerted antioxidant, nephroprotective, and antilithogenic effects in this complex comorbidity model, supporting its potential as a complementary therapeutic agent in chronic metabolic and renal disorders. Full article
Show Figures

Graphical abstract

19 pages, 4408 KB  
Article
Vasopressin Contributes to Respiratory and Cardiovascular Regulation in Spontaneously Hypertensive and Normotensive Rats
by Michał Proczka, Adam Trzciński, Agnieszka Cudnoch-Jędrzejewska, Jacek Przybylski and Tymoteusz Żera
J. Clin. Med. 2025, 14(22), 8019; https://doi.org/10.3390/jcm14228019 - 12 Nov 2025
Viewed by 461
Abstract
Background: Vasopressin (AVP) and its V1a receptor (V1aR) are involved in the regulation of the cardiovascular system. Limited evidence suggests that AVP may also contribute to respiratory regulation. Arterial chemoreflex is the main reflex involved in cardiorespiratory regulation and is triggered from [...] Read more.
Background: Vasopressin (AVP) and its V1a receptor (V1aR) are involved in the regulation of the cardiovascular system. Limited evidence suggests that AVP may also contribute to respiratory regulation. Arterial chemoreflex is the main reflex involved in cardiorespiratory regulation and is triggered from the carotid bodies (CBs), specialized organs that detect changes in arterial blood content. Both increased activity of the vasopressinergic system and enhanced arterial chemoreflex have been found in hypertension. Here, we aimed at determining cardiorespiratory responses to AVP in normo- and hypertensive rats and the involvement of CBs and V1aRs. Methods: Experiments were performed in urethane-anesthetized adult male spontaneously hypertensive (SHR) and normotensive Wistar Kyoto (WKY) rats. Arterial blood pressure (MABP), heart rate (HR), femoral artery blood flow (FABF), minute ventilation (MV), respiratory rate (RR), and end-tidal carbon dioxide (ETCO2) were recorded. We evaluated cardiorespiratory responses to arterial chemoreflex activation with potassium cyanide, intravenous AVP, V1aR antagonist, and CB denervation. Results: In comparison to normotensive animals, SHR rats had significantly greater resting MABP, HR, MV, and enhanced pressor and ventilatory components of arterial chemoreflex. CB denervation caused insignificant changes in cardiorespiratory parameters. Intravenous administration of AVP resulted in a significant increase in MABP in both groups, which was greater in SHR rats, and in ventilatory inhibition, which was present only in SHR rats. CB denervation reduced the pressor response to AVP in normotensive rats and abolished the inhibitory effect of AVP on ventilation in SHR rats. Intravenous administration of the V1aR antagonist caused a significantly greater decrease in MABP in the hypertensive group. Only SHR rats responded with an increase in ventilation after the V1aR antagonist. Effects of AVP were abolished after blockade of V1aRs in both groups. Conclusions: Our study indicates that (i) SHR rats show augmented cardiorespiratory response to AVP, (ii) cardiorespiratory effects of AVP depend on V1aRs; and (iii) respiratory effects of AVP in the hypertensive rats appear to be primarily mediated by CBs. Full article
(This article belongs to the Section Cardiovascular Medicine)
Show Figures

Figure 1

23 pages, 3763 KB  
Article
Effect of Sacubitril/Valsartan, Ivabradine, and Captopril on Anxiety-like Behavior in Spontaneously Hypertensive Rats
by Maria Szighardtova, Silvia Aziriova, Peter Stanko, Kristina Repova, Tomas Baka, Kristina Krajcirovicova, Stefan Zorad, Michaela Adamcova, Peter Sabaka, Veronika Borbélyová and Fedor Simko
Int. J. Mol. Sci. 2025, 26(22), 10905; https://doi.org/10.3390/ijms262210905 - 10 Nov 2025
Viewed by 673
Abstract
Cardiovascular disorders and the medications used to treat them can affect physiological patterns of behavior. The aim of the present study was to determine whether the dual inhibition of neprilysin and angiotensin II—sacubitril/valsartan (ARNI) can modify anxiety-like behavior in male spontaneously hypertensive rats [...] Read more.
Cardiovascular disorders and the medications used to treat them can affect physiological patterns of behavior. The aim of the present study was to determine whether the dual inhibition of neprilysin and angiotensin II—sacubitril/valsartan (ARNI) can modify anxiety-like behavior in male spontaneously hypertensive rats (SHR). We compared ARNI with two other drugs in the portfolio of heart failure treatment, captopril and ivabradine. Six groups (n = 13) of 12-week-old rats were treated for six weeks: control (Wistar rats), control + ARNI, SHR, SHR + ARNI, SHR + captopril, and SHR + ivabradine. The elevated plus maze test, the open field test, and the light–dark box test were used to determine anxiety-like behavior. SHRs exhibited higher systolic blood pressure (SBP), heart rate (HR), left ventricular weight (LVW), and hydroxyproline concentration (LVHP) but displayed a reduced level of anxiety-like behavior in comparison to controls. ARNI reduced SBP, HR, and LVW but had no significant effect on the level of anxiety in SHR, and similar results were achieved by captopril and ivabradine. Additionally, correlation analysis indicated that anxiety-like behavior in Wistar rats or SHR, either with or without cardiovascular therapy, was independent of SBP, HR, LVW, or LVHP. The level of anxiety-like behavior can, therefore, be considered part of the inherent neurobehavioral traits unrelated to fundamental hemodynamic or structural cardiovascular parameters. Full article
Show Figures

Figure 1

14 pages, 1619 KB  
Article
Therapeutic Potential of Big-Belly Seahorse Derived Peptide in Blood Pressure Regulation and Protection Against Aortic, Renal, and Cardiac Injuries on Spontaneously Hypertensive Rats
by Hyo-Geun Lee, Habaragoda Dewage Tharushi Udayangani Wijerathne, Taeho Kim, Si-Hyeong Park, Won-Kyo Jung, Jae-Young Oh, Mi-Jin Yim, Jeong Min Lee, Seok-Chun Ko, Dae-Sung Lee and Hyun-Soo Kim
Pharmaceutics 2025, 17(11), 1449; https://doi.org/10.3390/pharmaceutics17111449 - 10 Nov 2025
Viewed by 496
Abstract
Background/Objectives: Marine-derived bioactive peptides have been reported to possess blood pressure-regulatory effects. However, most studies have focused on the antihypertensive effects after single-dose administration, and research on long-term administration and its protective effects against hypertension-induced tissue damage remains limited. Therefore, this study aimed [...] Read more.
Background/Objectives: Marine-derived bioactive peptides have been reported to possess blood pressure-regulatory effects. However, most studies have focused on the antihypertensive effects after single-dose administration, and research on long-term administration and its protective effects against hypertension-induced tissue damage remains limited. Therefore, this study aimed to investigate the long-term antihypertensive efficacy of IGTGIPGIW, a bioactive peptide derived from Hippocampus abdominalis (H. abdominalis), and its protective effects on hypertension-related tissue damage. Methods: To evaluate the blood pressure-regulatory effects, spontaneously hypertensive rats (SHRs) were orally administered a high-dose (50 mg/kg) IGTGIPGIW peptide group (H-IGTGIPGIW) for 8 weeks. Systolic blood pressure (SBP), diastolic blood pressure (DBP), and mean arterial pressure (MAP) were monitored weekly. Serum levels of angiotensin II (Ang II), angiotensin-converting enzyme (ACE), and angiotensin-converting enzyme 2 (ACE2) were measured to assess the peptide’s regulatory effects on the renin–angiotensin system. Histological analyses of the aorta and heart tissues were performed to evaluate the protective effects against hypertension-induced tissue damage. Results: After 8 weeks of treatment, H-IGTGIPGIW significantly reduced SBP, DBP, and MAP compared with SHRs. Serum Ang II and ACE levels were significantly decreased, while ACE2 levels were significantly increased. Histological analyses demonstrated that IGTGIPGIW alleviated aortic wall thickening and reduced renal and cardiac tissue damage in SHR. Conclusions: IGTGIPGIW, a bioactive peptide derived from H. abdominalis, effectively regulated blood pressure by modulating serum Ang II, ACE, and ACE2 levels. Moreover, it protected against hypertension-induced aortic, renal and cardiac tissue damage, suggesting its potential as a functional ingredient for managing hypertension. Full article
(This article belongs to the Section Drug Targeting and Design)
Show Figures

Graphical abstract

20 pages, 5420 KB  
Article
Effect of Antihypertensive Losartan on Ca2+ Mobilization in the Aorta of Middle-Aged Spontaneously Hypertensive Female Rats
by Swasti Rastogi, Jessica Liaw, Yingnan Zhai, Tatiana Karpova, Linxia Gu and Kenia Nunes
J. Cardiovasc. Dev. Dis. 2025, 12(11), 441; https://doi.org/10.3390/jcdd12110441 - 7 Nov 2025
Viewed by 629
Abstract
Hypertension, a leading factor for cardiovascular diseases (CVD), is a particularly heavy burden in women during middle age, when cardioprotective hormones begin to decline. The abnormal handling of calcium (Ca2+) in vascular smooth muscle cells (VSMCs) leads to increased vasoconstriction, remodeling, [...] Read more.
Hypertension, a leading factor for cardiovascular diseases (CVD), is a particularly heavy burden in women during middle age, when cardioprotective hormones begin to decline. The abnormal handling of calcium (Ca2+) in vascular smooth muscle cells (VSMCs) leads to increased vasoconstriction, remodeling, and altered arterial compliance during hypertension. The Spontaneously Hypertensive Rats (SHR) is a model of essential hypertension, and middle-aged females with hypertension represent a stage of disease where vascular dysfunction is prominent but understudied. Losartan, a widely prescribed angiotensin II (AngII) receptor (AT1R) blocker, exerts antihypertensive effects by affecting Ang II/Ca2+ signaling. However, whether it corrects the Ca2+ mishandling in the aorta of middle-aged female SHR has not been established. In this study, the thoracic aorta from 36-week-old female SHRs treated with losartan was assessed for Ca2+ mishandling using myography and biochemical assays. Meanwhile, biomechanical properties and stiffness were evaluated using Pulse Wave Velocity (PWV), Atomic Force Microscopy (AFM), and assessments of collagen and elastin contents. Compared with normotensive controls, SHR demonstrated disrupted Ca2+ handling, increased stiffness, and Extracellular Matrix (ECM) remodeling in middle-aged females. Treatment with losartan abrogated Ca2+ mishandling influx and efflux in the VSMC, decreased stiffness, and restored the aortic structural changes. These findings demonstrate that losartan abolishes Ca2+ mishandling and highlight a mechanistic role of AT1R blockade in restoring vascular function in the aorta of middle-aged females during hypertension. Full article
(This article belongs to the Section Basic and Translational Cardiovascular Research)
Show Figures

Graphical abstract

18 pages, 5513 KB  
Article
A Plant-Based Diet Alleviates Molecular Pulmonary Abnormalities in Hypertension
by Rami Salim Najjar, Jaishree Jagirdar and Andrew T. Gewirtz
Adv. Respir. Med. 2025, 93(6), 49; https://doi.org/10.3390/arm93060049 - 4 Nov 2025
Viewed by 629
Abstract
Background: Essential hypertension is associated with an increased risk of pulmonary hypertension (PH). PH is diagnosed more frequently in females. Little is known about the effects of a plant-based diet (PBD) in improving lung abnormalities in PH. Methods: We compared 28- [...] Read more.
Background: Essential hypertension is associated with an increased risk of pulmonary hypertension (PH). PH is diagnosed more frequently in females. Little is known about the effects of a plant-based diet (PBD) in improving lung abnormalities in PH. Methods: We compared 28- and 40-week-old female normotensive Wistar Kyoto and spontaneously hypertensive rats (SHR), maintained from the age of 4 weeks on a control refined diet or a PBD, comprising 28% fruits, vegetables, nuts and legumes. A subset of control SHRs were switched to the PBD at 28 weeks of age. Lungs were taken for protein and histological analysis. Results: Relative to WKYs, SHRs consuming the control diet exhibited decreased lung endothelial nitric oxide synthase (eNOS). PBD consumption by SHRs prevented and reversed this phenotype. Expression of E-cadherin was also reduced in SHRs. This reduction was attenuated by PBD consumption treatment. The phosphorylation of extracellular signal-regulated kinase (ERK)1/2 in the lung was increased in SHRs and attenuated by PBD. The expression of activated transforming growth factor (TGF)-β1 was also attenuated by a PBD. Conclusions: The PBD favorably mediated hypertension-induced pulmonary molecular abnormalities in lung endothelium, epithelial junction and pro-fibrotic signaling. Future studies should assess the effects of a PBD in improving PH and lung function. Full article
Show Figures

Figure 1

14 pages, 2661 KB  
Article
The Role of the NO/cGMP Pathway and SKCa and IKCa Channels in the Vasodilatory Effect of Apigenin 7-Glucoside
by Maria Luiza Fidelis da Silva, Erdi Can Aytar and Arquimedes Gasparotto Junior
Molecules 2025, 30(21), 4265; https://doi.org/10.3390/molecules30214265 - 31 Oct 2025
Viewed by 462
Abstract
This study aimed to elucidate the vasorelaxant mechanism of action for apigenin 7-glucoside (A7G) by integrating computational and ex vivo pharmacological approaches. Molecular docking simulations were conducted to predict the binding affinities and interactions of A7G with key vascular proteins, specifically human endothelial [...] Read more.
This study aimed to elucidate the vasorelaxant mechanism of action for apigenin 7-glucoside (A7G) by integrating computational and ex vivo pharmacological approaches. Molecular docking simulations were conducted to predict the binding affinities and interactions of A7G with key vascular proteins, specifically human endothelial nitric oxide synthase (eNOS-PDB ID: 1M9M), and human intermediate (IKCa-PDB ID: 9ED1) and small-conductance (SKCa-PDB ID: 6CNN) Ca2+-activated K+ channels. The vasodilatory properties of A7G were subsequently evaluated in isolated mesenteric vascular beds (MVBs) from normotensive Wistar Kyoto (WKY) and spontaneously hypertensive rats (SHR). The in silico analysis indicated that A7G possesses favorable binding affinities for the 1M9M, 9ED1, and 6CNN protein targets. Pharmacological assessments demonstrated that A7G induced a dose- and endothelium-dependent reduction in perfusion pressure in MVBs from WKY and SHR rats. The vasodilatory response to A7G was completely abrogated by perfusion with a high-potassium solution or a non-selective K+ channel blocker. Furthermore, co-administration of apamin and TRAM-34, selective inhibitors of SKCa and IKCa, respectively, also abolished the vasorelaxant effects of A7G. Collectively, these findings suggest that the vascular effects of A7G in both WKY and SHR rats involve an endothelium-dependent mechanism, likely initiated by the activation of the NO/cGMP pathway, which culminates in the opening of IKCa and SKCa channels. Full article
Show Figures

Figure 1

19 pages, 3762 KB  
Article
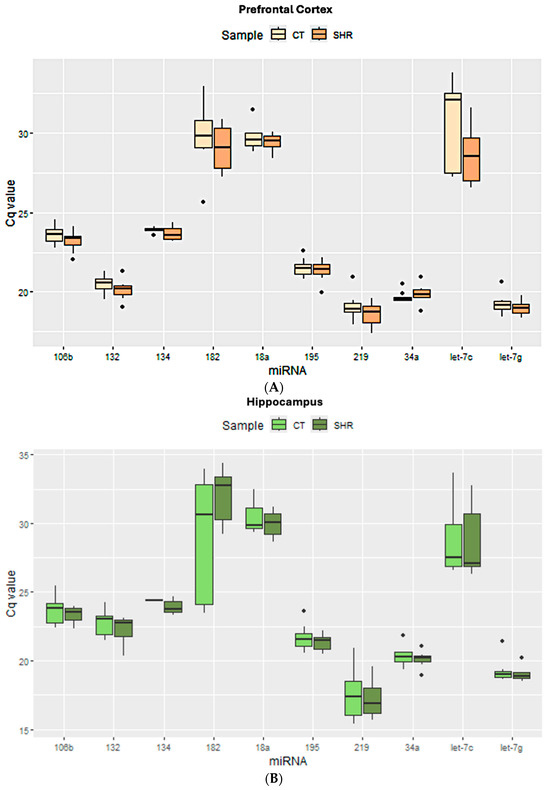
Analysis of Normalizers and Neurodevelopment-Related microRNAs in the Prefrontal Cortex and in the Sperm of SHR Rats
by Isabelle Hernandez Cantão, Gabriella Mesas Campagnoli and Taiza Stumpp
Int. J. Mol. Sci. 2025, 26(21), 10589; https://doi.org/10.3390/ijms262110589 - 30 Oct 2025
Viewed by 394
Abstract
Schizophrenia (SCZ) is a psychiatric disorder that affects around 1% of the world’s population. Despite the large number of studies about SCZ etiology and heritability, a definitive and clear genetic basis for SCZ and its inheritance has not been established so far. Considering [...] Read more.
Schizophrenia (SCZ) is a psychiatric disorder that affects around 1% of the world’s population. Despite the large number of studies about SCZ etiology and heritability, a definitive and clear genetic basis for SCZ and its inheritance has not been established so far. Considering that SCZ is influenced by environmental aspects, the participation of epigenetic mechanisms in the development and manifestation of SCZ is considered. However, longitudinal clinical and molecular studies that follow SCZ development using brain tissue are unfeasible. Thus, animal models, such as the spontaneously hypertensive rats (SHR), have been used to explore some aspects of SCZ. In this study, we investigated the expression of miRNAs related to neurodevelopment and/or to SCZ in the brains and sperm of SHR rats via RT-qPCR. For this, a previous analysis of endogenous qPCR normalizers was performed. The results showed that miR-Let-7g seems to be a candidate endogenous normalizer for the brain and sperm. However, no alteration in the expression of SCZ-related miRNA was detected. These data indicate that further studies must be performed to address the applicability of the SHR model to study the miRNA related to SCZ and its paternal transmission. Full article
(This article belongs to the Section Molecular Biology)
Show Figures

Figure 1

14 pages, 3923 KB  
Article
An Optimized Chickpea Protein Hydrolysate Exerts Long-Term Antihypertensive Effects and Upregulates ACE2 and Mas1 Gene Expression in Spontaneously Hypertensive Rats
by Oscar Gerardo Figueroa-Salcido, Jesús Gilberto Arámburo-Gálvez, Lilian Karem Flores-Mendoza, Giovanni I. Ramírez-Torres, Martina Hilda Gracia-Valenzuela, Edith Oliva Cuevas-Rodríguez and Noé Ontiveros
Foods 2025, 14(20), 3537; https://doi.org/10.3390/foods14203537 - 17 Oct 2025
Viewed by 595
Abstract
Chickpea protein hydrolysates have antihypertensive potential. However, neither the effect of their daily consumption on blood pressure (BP) nor their potential antihypertensive mechanisms has been evaluated. Thus, both the antihypertensive effect of an optimized chickpea protein hydrolysate (OCPH) and its potential mechanisms were [...] Read more.
Chickpea protein hydrolysates have antihypertensive potential. However, neither the effect of their daily consumption on blood pressure (BP) nor their potential antihypertensive mechanisms has been evaluated. Thus, both the antihypertensive effect of an optimized chickpea protein hydrolysate (OCPH) and its potential mechanisms were assessed in spontaneously hypertensive rats. OCPH (50 mg/kg of body weight) was supplemented daily (5 weeks), BP levels were measured, and mRNA relative levels (angiotensin-converting enzyme-I (ACE1), renin, AT1R receptor, ACE2 and Mas1) in the kidneys were determined. BP (systolic, diastolic, and mean) levels were lowered after five days of OCPH supplementation (p < 0.05 vs. control group) and the hypotensive effect was up to −39.80 mmHg (p < 0.05). Furthermore, the supplementation increased ACE2 (67.30%) and Mas1 (61.1%) mRNA levels (p < 0.05 vs. control group). ACE1, renin and AT1R receptor mRNA levels were similar between groups (p > 0.05). A negative correlation of ACE2 mRNA levels with BP was found (p < 0.05). The findings support that OCPH activates the ACE2/Ang-(1–7)/Mas1 pathway of the renin–angiotensin–aldosterone system, maintaining a reduction in BP after daily supplementation. Further studies to evaluate the potential of the OCPH for functional food and nutraceutical development are justified. Full article
Show Figures

Figure 1

22 pages, 3961 KB  
Article
In Vivo Antihypertensive and Ex Vivo Vasodilatory Studies of Taxifolin
by Xuye Wang, Xiangyang Xu, Wan Yin Tew, Liyun Ouyang, Xiaoning Yang, Hui Wei Loh, Wen Xu, Wei Xu and Mun Fei Yam
Pharmaceuticals 2025, 18(9), 1420; https://doi.org/10.3390/ph18091420 - 21 Sep 2025
Viewed by 1007
Abstract
Background: Hypertension is a leading cause of cardiovascular morbidity and mortality. Taxifolin has shown cardiovascular benefits, but its antihypertensive mechanisms remain poorly defined. This study aimed to comprehensively elucidate the molecular mechanisms underlying Taxifolin’s blood pressure-lowering effects by integrating network pharmacology, molecular [...] Read more.
Background: Hypertension is a leading cause of cardiovascular morbidity and mortality. Taxifolin has shown cardiovascular benefits, but its antihypertensive mechanisms remain poorly defined. This study aimed to comprehensively elucidate the molecular mechanisms underlying Taxifolin’s blood pressure-lowering effects by integrating network pharmacology, molecular docking, ex vivo functional studies, and in vivo validation. Methods: Network pharmacology and molecular docking prioritized targets. Ex vivo thoracic aortas were obtained from healthy male Sprague–Dawley (SD) rats, and rings (3–4 mm) were prepared for vasorelaxation studies. Pathway-specific inhibitors, Western blotting, and ELISA were used to investigate mechanisms. In vivo, spontaneously hypertensive rats (SHRs) received oral Taxifolin 15, 30, or 60 mg/kg once daily for 28 days; propranolol (80 mg/kg) served as the positive control. Results: Taxifolin produced robust vasorelaxation in endothelium-intact rings (Rmax ≈ 121%), falling to ~72% after denudation. Relaxation was attenuated by LY294002, ODQ, indomethacin, and glibenclamide. In SHR aorta, Taxifolin increased NO by ~132% and cGMP by ~1.9-fold and upregulated p-Akt and eNOS; LY294002 abolished these effects. In vivo, Taxifolin reduced systolic blood pressure by ≈60 mmHg without adverse changes in hematology, biochemistry, or body weight. Conclusions: Taxifolin lowers blood pressure through multiple vascular mechanisms consistent with PI3K/Akt/eNOS, NO–sGC–cGMP, COX-2/PGI2 and calcium-handling pathways, supporting its potential as a safe antihypertensive candidate. Full article
(This article belongs to the Section Pharmacology)
Show Figures

Graphical abstract

16 pages, 462 KB  
Article
Antihypertensive Effect of a Self-Microemulsifying System Obtained from an Ethanolic Extract of Heliopsis longipes Root in Spontaneously and L-NAME-Induced Hypertensive Rats
by Dailenys Marrero-Morfa, Beatriz A. Luz-Martínez, Francisco J. Luna-Vázquez, Carlos T. Quirino-Barreda, Isela Rojas-Molina, Martín García-Servín, Pedro A. Vázquez-Landaverde, Victoria Ruiz-Castillo, César Ibarra-Alvarado and Alejandra Rojas-Molina
Molecules 2025, 30(18), 3711; https://doi.org/10.3390/molecules30183711 - 12 Sep 2025
Viewed by 1044
Abstract
Arterial hypertension is a major contributor to cardiovascular disease, the leading cause of death globally. Previously, our research group has demonstrated that both organic extracts from Heliopsis longipes roots and affinin—its principal bioactive compound—induce vasodilation and exert antihypertensive effects in L-NAME-induced hypertensive rats. [...] Read more.
Arterial hypertension is a major contributor to cardiovascular disease, the leading cause of death globally. Previously, our research group has demonstrated that both organic extracts from Heliopsis longipes roots and affinin—its principal bioactive compound—induce vasodilation and exert antihypertensive effects in L-NAME-induced hypertensive rats. However, the poor water solubility of these extracts limits their oral administration and dosing. To address this limitation, a self-microemulsifying drug delivery system (HL-SMDS) was developed from an ethanolic extract of H. longipes root to enhance its aqueous solubility and oral bioavailability. This study evaluated the antihypertensive efficacy of HL-SMDS in spontaneously hypertensive and L-NAME-induced hypertensive rat models, as well as its effects on endothelial reactivity. HL-SMDS significantly reduced systolic blood pressure in both models, demonstrating greater efficacy than the crude extract, likely due to improved solubility and systemic bioavailability of the active constituents. Moreover, HL-SMDS enhanced endothelial function in aortas from L-NAME-treated rats. These findings support the potential of HL-SMDS as a lipid-based phytopharmaceutical formulation that improves the oral bioavailability and antihypertensive effect of the ethanolic extract of H. longipes root. HL-SMDS offers a promising strategy for the development of phytopharmaceutical drugs to treat hypertension. Full article
Show Figures

Figure 1

29 pages, 47768 KB  
Article
A High-Fat Diet Increases Kidney Fibrosis Through Regulating TGF-β and PDGF-β Signaling Pathways in Normotensive and Hypertensive Rat Models
by Fatema Binte Abdullah, Abdullah Md. Sheikh, Shatera Tabassum, Atsushi Nagai, Jun Yoshino, Takeshi Kanda, Toru Nabika and Shozo Yano
Int. J. Mol. Sci. 2025, 26(16), 8031; https://doi.org/10.3390/ijms26168031 - 20 Aug 2025
Viewed by 1449
Abstract
Hypertension and obesity are well-established risk factors for chronic kidney disease (CKD). This study investigates the interaction between these two factors in CKD using animal models. Twelve-week-old normotensive Wistar Kyoto (WKY), spontaneously hypertensive (SHR), and stroke-prone spontaneously hypertensive (SHR-SP) rats were fed either [...] Read more.
Hypertension and obesity are well-established risk factors for chronic kidney disease (CKD). This study investigates the interaction between these two factors in CKD using animal models. Twelve-week-old normotensive Wistar Kyoto (WKY), spontaneously hypertensive (SHR), and stroke-prone spontaneously hypertensive (SHR-SP) rats were fed either a normal diet (control) or a high-fat diet (HFD) for eight weeks. Kidney pathology and molecular mechanisms were assessed via immunostaining, real-time PCR, and Western blotting. In the control-fed groups, SHR-SP showed the most severe glomerular and tubular fibrosis, followed by SHR. The HFD exacerbated fibrosis in both the WKY and SHR rats but not in the SHR-SP rats. The levels of the mesangial marker smooth muscle α-actin (SMA) in the glomeruli were highest in the control-fed SHR-SP rats. HFD feeding increased glomerular SMA levels in WKY and SHR but not in SHR-SP. The levels of the mesenchymal marker vimentin were elevated in the control-fed SHR-SP rats compared to the other control-fed animals. The HFD increased the vimentin levels in WKY but decreased them in SHR-SP. The HFD increased senescence and inflammatory markers in the kidneys of the WKY and SHR rats. The HFD-fed WKY and SHR rats also showed upregulation of platelet-derived growth factor β (PDGFβ) signaling molecules. Among the control-fed animals, the transforming growth factor β (TGFβ) and TGFβ receptor 2 (TGFβR2) levels were elevated in SHR-SP. HFD feeding increased the TGFβR2 levels in WKY and the SHR and TGFβ levels in WKY. Similarly, SMAD2/3 activation was the highest in the SHR-SP control group. HFD feeding increased the SMAD2/3 activation in the kidneys of the WKY and SHR rats. Thus, our findings demonstrate that a high-fat diet can intensify renal fibrosis independent of hypertension through TGFβ and PDGFβ signaling within a two-month timeframe. Full article
(This article belongs to the Section Molecular Pathology, Diagnostics, and Therapeutics)
Show Figures

Figure 1

Back to TopTop