Bio-Based Polyurethane and Its Composites towards High Damping Properties
Abstract
1. Introduction
2. Results and Discussion
2.1. Preparation of BMPUs and BMPU/AO-80 Composites
2.2. Curing of the BMPUs and BMPU/AO-80 Composites
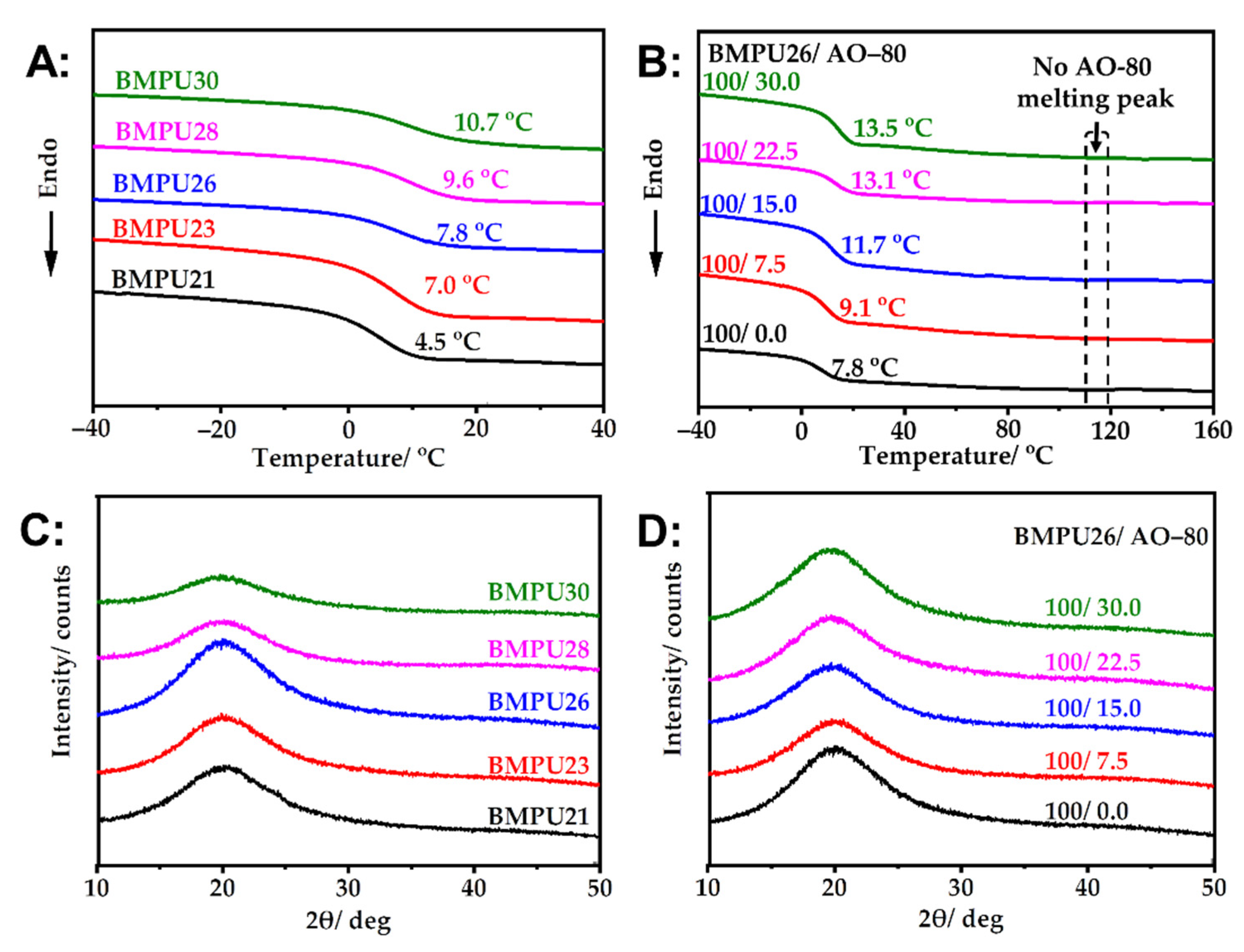
2.3. DSC and XRD Analyses of the BMPUs and BMPU/AO-80 Composites
2.4. Static and Dynamic Mechanical Analyses of BMPUs and BMPU/AO-80 Composites
2.5. Comparison of the Overall Performance of BMPU/AO-80 Composites with Other Polyurethanes
3. Material and Methods
3.1. Materials
3.2. Fabrication of BMPUs and BMPU/AO-80 Composites
3.3. Characterization
4. Conclusions
Supplementary Materials
Author Contributions
Funding
Institutional Review Board Statement
Informed Consent Statement
Data Availability Statement
Conflicts of Interest
References
- Beniah, G.; Liu, K.; Heath, W.H.; Miller, M.D.; Scheidt, K.A.; Torkelson, J.M. Novel thermoplastic polyhydroxyurethane elastomers as effective damping materials over broad temperature ranges. Eur. Polym. J. 2016, 84, 770–783. [Google Scholar] [CrossRef]
- Zhang, C.; Chen, Y.; Li, H.; Liu, H. Facile fabrication of polyurethane/epoxy IPNs filled graphene aerogel with improved damping, thermal and mechanical properties. RSC Adv. 2018, 8, 27390–27399. [Google Scholar] [CrossRef] [PubMed]
- Zhou, X.; Yu, D.; Shao, X.; Zhang, S.; Wang, S. Research and applications of viscoelastic vibration damping materials: A review. Compos. Struct. 2016, 136, 460–480. [Google Scholar] [CrossRef]
- Zhou, R.; Gao, W.; Xia, L.; Wu, H.; Guo, S. The study of damping property and mechanism of thermoplastic polyurethane/phenolic resin through a combined experiment and molecular dynamics simulation. J. Mater. Sci. 2018, 53, 9350–9362. [Google Scholar] [CrossRef]
- Lv, X.; Huang, Z.; Huang, C.; Shi, M.; Gao, G.; Gao, Q. Damping properties and the morphology analysis of the polyurethane/epoxy continuous gradient IPN materials. Compos. Part B Eng. 2016, 88, 139–149. [Google Scholar] [CrossRef]
- Zhao, X.; Shou, T.; Liang, R.; Hu, S.; Yu, P.; Zhang, L. Bio-based thermoplastic polyurethane derived from polylactic acid with high-damping performance. Ind. Crops Prod. 2020, 154, 112619. [Google Scholar] [CrossRef]
- Pochivalov, K.V.; Shilov, A.N.; Lebedeva, T.N.; Ilyasova, A.N.; Golovanov, R.Y.; Basko, A.V.; Kudryavtsev, Y.V. Development of vibration damping materials based on butyl rubber: A study of the phase equilibrium, rheological, and dynamic properties of compositions. J. Appl. Polym. Sci. 2021, 138, 50196. [Google Scholar] [CrossRef]
- Zhu, L.; Chen, X.; Shi, R.; Zhang, H.; Han, R.; Cheng, X.; Zhou, C. Tetraphenylphenyl-modified damping additives for silicone rubber: Experimental and molecular simulation investigation. Mater. Des. 2021, 202, 109551. [Google Scholar] [CrossRef]
- Lakhno, Y.V. Development of the Russian market of synthetic rubber. Stud. Russ. Econ. Dev. 2013, 24, 433–441. [Google Scholar] [CrossRef]
- BP. BP Statistical Review of World Energy 2021; BP: London, UK, 2021. [Google Scholar]
- Vaclav, S. Biomass Energies: Resources, Links, Constraints; Springer: New York, NY, USA, 1983. [Google Scholar]
- World Bioenergy Association. Global Bioenergy Statistics 2021; World Bioenergy Association: Stockholm, Sweden, 2021. [Google Scholar]
- Sreekumar, K.; Bindhu, B.; Veluraja, K. Perspectives of polylactic acid from structure to applications. Polym. Renew. Resour. 2021, 12, 60–74. [Google Scholar] [CrossRef]
- Ilyas, R.A.; Zuhri, M.Y.M.; Aisyah, H.A.; Asyraf, M.R.M.; Hassan, S.A.; Zainudin, E.S.; Sapuan, S.M.; Sharma, S.; Bangar, S.P.; Jumaidin, R.; et al. Natural Fiber-Reinforced Polylactic Acid, Polylactic Acid Blends and Their Composites for Advanced Applications. Polymers 2022, 14, 202. [Google Scholar] [CrossRef] [PubMed]
- Singhvi, M.S.; Zinjarde, S.S.; Gokhale, D.V. Polylactic acid: Synthesis and biomedical applications. J. Appl. Microbiol. 2019, 127, 1612–1626. [Google Scholar] [CrossRef] [PubMed]
- Seda, T.A.R.; Elvan, A.; Baki, H. Soybean Oil Based Polylactic Acid Membranes: Synthesis and Degradation Characteristics. J. Polym. Environ. 2018, 26, 1262–1271. [Google Scholar]
- Van Wouwe, P.; Dusselier, M.; Vanleeuw, E. Lactide Synthesis and Chirality Control for Polylactic acid Production. ChemSusChem 2016, 9, 907–921. [Google Scholar] [CrossRef]
- Zaaba, N.F.; Jaafar, M. A review on degradation mechanisms of polylactic acid: Hydrolytic, photodegradative, microbial, and enzymatic degradation. Polym. Eng. Sci. 2020, 60, 2061–2075. [Google Scholar] [CrossRef]
- Morozov, A.G.; Razborov, D.A.; Egiazaryan, T.A.; Baten’Kin, M.A.; Aleynik, D.Y.; Egorikhina, M.N.; Rubtsova, Y.P.; Charikova, I.N.; Chesnokov, S.A.; Fedushkin, I.L. In Vitro Study of Degradation Behavior, Cytotoxicity, and Cell Adhesion of the Atactic Polylactic Acid for Biomedical Purposes. J. Polym. Environ. 2020, 28, 1–9. [Google Scholar] [CrossRef]
- Dong, J.; Mao, Z.; Chen, Z. Toughening, highly thermostable, and flame retardant polylactic acid enabled by polyphosphazene microsphere. J. Appl. Polym. Sci. 2022, 139, 51973. [Google Scholar] [CrossRef]
- Sun, J.; Jin, Y.; Wang, B.; Tian, H.; Kang, K.; Men, S.; Weng, Y. High-toughening modification of polylactic acid by long-chain hyperbranched polymers. J. Appl. Polym. Sci. 2021, 138, 51295. [Google Scholar] [CrossRef]
- Zhang, Q.; Wang, W.; Gu, X.; Li, H.; Liu, X.; Sun, J.; Zhang, S. Is there any way to simultaneously enhance both the flame retardancy and toughness of polylactic acid? Polym. Compos. 2019, 40, 932–941. [Google Scholar] [CrossRef]
- Martinez Villadiego, K.; Arias Tapia, M.J.; Useche, J.; Escobar Macías, D. Thermoplastic Starch (TPS)/Polylactic Acid (PLA) Blending Methodologies: A Review. J. Polym. Environ. 2021, 30, 75–91. [Google Scholar] [CrossRef]
- Liu, Z.; Lu, H.; Zhang, H.; Li, L. Poly (vinyl alcohol)/polylactic acid blend film with enhanced processability, compatibility, and mechanical property fabricated via melt processing. J. Appl. Polym. Sci. 2021, 138, 51204. [Google Scholar] [CrossRef]
- Liu, H. Handbook of Polyurethane Elastomers, 2nd ed.; Chemical Industry Press: Beijing, China, 2012. [Google Scholar]
- Wen, C.-H.; Hsu, S.-C.; Hsu, S.-H.; Chang, S.-W. Molecular Structures and Mechanisms of Waterborne Biodegradable Polyurethane Nanoparticles. Comput. Struct. Biotechnol. J. 2019, 17, 110–117. [Google Scholar] [CrossRef] [PubMed]
- Zhang, Q.; Deng, Y.; Fu, Z.; Zhang, H. Effects of the molecular structure on the vibration reduction and properties of hyperbranched waterborne polyurethane–acrylate for damping coatings. J. Appl. Polym. Sci. 2019, 136, 47733. [Google Scholar] [CrossRef]
- Oguz, O.; Candau, N.; Citak, M.K.; Cetin, F.N.; Seven, S.A.; Menceloglu, Y.Z. A Sustainable Approach to Produce Stiff, Super-Tough, and Heat-Resistant Poly(lactic acid)-Based Green Materials(Article). ACS Sustain. Chem. Eng. 2019, 7, 7869–7877. [Google Scholar] [CrossRef]
- Razali, N.I.M.; Ali, F.; Azmi, A.S.; Ismail, T.N.M.T.; Mirghani, M.E.S.; Omar, M.F. Microwave-Assisted Synthesis of Polylactic Acid-Diol for Polyurethane as Biodegradable Packaging Material. IOP Conf. Ser. Mater. Sci. Eng. 2021, 1192, 012015. [Google Scholar] [CrossRef]
- Jiang, X.; Qin, R.; Wang, M.; Xu, M.; Sheng, Y.; Lu, X. Controllable wide temperature range and high damping polyurethane elastomer based on disulfide bond and dangling chain. Polym. Adv. Technol. 2021, 32, 2185–2196. [Google Scholar]
- Jiang, X.; Xu, M.; Wang, M.; Ma, Y.; Zhang, W.; Zhang, Y.; Rong, H.; Lu, X. Preparation and molecular dynamics study of polyurethane damping elastomer containing dynamic disulfide bond and multiple hydrogen bond. Eur. Polym. J. 2022, 162, 110893. [Google Scholar]
- Zhao, Y.; Shou, T.; Fu, S.; Qin, X.; Hu, S.; Zhao, X.; Zhang, L. Controllable Design and Preparation of Hydroxyl-Terminated Solution-Polymerized Styrene Butadiene for Polyurethane Elastomers with High-Damping Properties. Macromol. Rapid Commun. 2022, 43, 2100692. [Google Scholar] [CrossRef]
- Qi, X.; Xie, F.; Zhang, J.; Zhang, L.; Yue, D. Bio-based cyclized Eucommia ulmoides gum elastomer for promising damping applications. RSC Adv. 2019, 9, 42367–42374. [Google Scholar] [CrossRef]
- Díez-Pascual, A.M. Biopolymer Composites: Synthesis, Properties, and Applications. Int. J. Mol. Sci. 2022, 23, 2257. [Google Scholar] [CrossRef]
- Hurtado, A.; Aljabali, A.A.A.; Mishra, V.; Tambuwala, M.M.; Serrano-Aroca, Á. Alginate: Enhancement Strategies for Advanced Applications. Int. J. Mol. Sci. 2022, 23, 4486. [Google Scholar] [CrossRef] [PubMed]
- Qin, Y.; Li, W.; Liu, D.; Yuan, M.; Li, L. Development of active packaging film made from poly (lactic acid) incorporated essential oil. Prog. Org. Coat. 2017, 103, 76–82. [Google Scholar] [CrossRef]
- Sienkiewicz, A.; Czub, P. Flame Retardancy of Biobased Composites—Research Development. Materials 2020, 13, 5253. [Google Scholar] [CrossRef] [PubMed]
- Zafar, K.; Zia, K.M.; Alzhrani, R.M.; Almalki, A.H.; Alshehri, S. Biocompatibility and Hemolytic Activity Studies of Synthesized Alginate-Based Polyurethanes. Polymers 2022, 14, 2091. [Google Scholar] [CrossRef] [PubMed]
- Zhao, X.-Y.; Lu, Y.-L.; Xiao, D.-L.; Wu, S.-Z.; Zhang, L.-Q. Thermoplastic Ternary Hybrids of Polyurethane, Hindered Phenol and Hindered Amine with Selective Two-Phase Dispersion. Macromol. Mater. Eng. 2009, 294, 345–351. [Google Scholar] [CrossRef]
- Zhao, X.; Yang, J.; Zhao, D.; Lu, Y.; Wang, W.; Zhang, L.; Nishi, T. Natural rubber/nitrile butadiene rubber/hindered phenol composites with high-damping properties. Int. J. Smart Nano Mater. 2015, 6, 239–250. [Google Scholar] [CrossRef][Green Version]
- Wang, X.; Chen, X.; Song, M.; Wang, Q.; Zheng, W.; Song, H.; Fan, Z.; Thu, A.M. Effects of Hindered Phenol Organic Molecules on Enhancing Thermo-Oxidative Resistance and Damping Capacity for Nitrile Butadiene Rubber: Insights from Experiments and Molecular Simulation. Ind. Eng. Chem. Res. 2020, 59, 11494–11504. [Google Scholar] [CrossRef]
- Xu, K.; Hu, Q.; Wang, J.; Zhou, H.; Chen, J. Towards a Stable and High-Performance Hindered Phenol/Polymer-Based Damping Material Through Structure Optimization and Damping Mechanism Revelation. Polymers 2019, 11, 884. [Google Scholar] [CrossRef]
- Cui, S.; Li, K.; Shi, Z.; Zhang, J.; Liu, J. Influence of hard segment content on the properties of millable polyurethane elastomer. Thermosetting Resin 2021, 2, 18–21, 30. [Google Scholar]
- Ortega, A. A simple and precise linear integral method for isoconversional data. Thermochim. Acta 2008, 474, 81–86. [Google Scholar] [CrossRef]
- Rajeshwari, P. Kinetic analysis of the non-isothermal degradation of high-density polyethylene filled with multi-wall carbon nanotubes. J. Therm. Anal. 2016, 123, 1523–1544. [Google Scholar] [CrossRef]
- Xiang, P.; Xiao, D.; Zhao, X.; Lu, Y.; Zhang, L. Microstructure and dynamic mechanical properties of hindered phenol AO-80/NBR/PVC crosslinking composites. J. Compos. Mater. 2007, 6, 44–49. [Google Scholar]
- Newman, R.H.; Battley, M.A.; Carpenter, J.E.P.; Le Guen, M.J. Energy loss in a unidirectional flax-polyester composite subjected to multiple tensile load-unload cycles. J. Mater. Sci. 2012, 47, 1164–1170. [Google Scholar] [CrossRef]
- Xiao, S.; Hossain, M.M.; Liu, P.; Wang, H.; Hu, F.; Sue, H. Scratch behavior of model polyurethane elastomers containing different soft segment types. Mater. Des. 2017, 132, 419–429. [Google Scholar] [CrossRef]
- Puszka, A. Thermal and mechanical behavior of new transparent thermoplastic polyurethane elastomers derived from cycloaliphatic diisocyanate. Polymers 2018, 10, 537. [Google Scholar] [CrossRef] [PubMed]
- Dandeniyage, L.; Gunatillake, P.A.; Adhikari, R.; Bown, M.; Shanks, R.; Adhikari, B. Development of high strength siloxane poly(urethane-urea) elastomers based on linked macrodiols for heart valve application. J. Biomed. Mater. Res. Part B Appl. Biomater. 2018, 106, 1712–1720. [Google Scholar] [CrossRef]
- Xiao, D.; Zhao, X.; Feng, Y.; Xiang, P.; Zhang, L.; Wang, W. The structure and dynamic properties of thermoplastic polyurethane elastomer/hindered phenol hybrids. J. Appl. Polym. Sci. 2010, 116, 2143–2150. [Google Scholar] [CrossRef]
- Liu, Y.; Liu, L.; Liang, Y. Relationship between structure and dynamic mechanical properties of thermoplastic polyurethane elastomer containing bi-soft segment. J. Appl. Polym. Sci. 2020, 137, 49414. [Google Scholar] [CrossRef]
- Kopczyńska, P.; Calvo-Correas, T.; Eceiza, A.; Datta, J. Synthesis and characterisation of polyurethane elastomers with semi-products obtained from polyurethane recycling. Eur. Polym. J. 2016, 85, 26–37. [Google Scholar] [CrossRef]
- Hu, S.; He, S.; Wang, Y.; Wu, Y.; Shou, T.; Yin, D.; Mu, G.; Zhao, X.; Gao, Y.; Liu, J.; et al. Self-repairable, recyclable and heat-resistant polyurethane for high-performance automobile tires. Nano Energy 2022, 95, 107012. [Google Scholar] [CrossRef]








| Samples | Heating Rate β (K/min) | Peak Temperature Tp (°C) | Peak Temperature Tp (K) | 1/Tp | Ln(β/Tp2) |
|---|---|---|---|---|---|
| BMPU26 | 10 | 181.84 | 454.99 | 0.002198 | −9.9380 |
| 15 | 187.74 | 460.89 | 0.00217 | −9.5583 | |
| 20 | 193.81 | 466.96 | 0.002142 | −9.2968 | |
| 25 | 199.35 | 472.5 | 0.002116 | −9.0972 | |
| BMPU26/AO-80(100/30) | 10 | 182.60 | 455.75 | 0.002194 | −9.9413 |
| 15 | 189.81 | 462.96 | 0.002160 | −9.5672 | |
| 20 | 198.81 | 467.96 | 0.002137 | −9.3010 | |
| 25 | 199.10 | 472.25 | 0.002118 | −9.0961 |
| Samples | Hard Segment Content (%) | BMPU(phr) | Stearic Acid (phr) | Dibenzothiazole Disulfide-ZnCl Complex (phr) | Dibenzothiazole Disulfide (phr) | 2-Mercaptobenzothiazole (phr) | Sulfur (phr) | AO-80 (phr) |
|---|---|---|---|---|---|---|---|---|
| BMPU21 | 21 | 100 | 0.5 | 1 | 4 | 2 | 2 | 0 |
| BMPU23 | 23 | 100 | 0.5 | 1 | 4 | 2 | 2 | 0 |
| BMPU26 | 26 | 100 | 0.5 | 1 | 4 | 2 | 2 | 0 |
| BMPU28 | 28 | 100 | 0.5 | 1 | 4 | 2 | 2 | 0 |
| BMPU30 | 30 | 100 | 0.5 | 1 | 4 | 2 | 2 | 0 |
| BMPU26/AO-80(100/7.5) | 26 | 100 | 0.5 | 1 | 4 | 2 | 2 | 7.5 |
| BMPU26/AO-80(100/15.0) | 26 | 100 | 0.5 | 1 | 4 | 2 | 2 | 15 |
| BMPU26/AO-80(100/22.5) | 26 | 100 | 0.5 | 1 | 4 | 2 | 2 | 22.5 |
| BMPU26/AO-80(100/30.0) | 26 | 100 | 0.5 | 1 | 4 | 2 | 2 | 30 |
Publisher’s Note: MDPI stays neutral with regard to jurisdictional claims in published maps and institutional affiliations. |
© 2022 by the authors. Licensee MDPI, Basel, Switzerland. This article is an open access article distributed under the terms and conditions of the Creative Commons Attribution (CC BY) license (https://creativecommons.org/licenses/by/4.0/).
Share and Cite
Hu, S.; Wu, Y.; Fu, G.; Shou, T.; Zhai, M.; Yin, D.; Zhao, X. Bio-Based Polyurethane and Its Composites towards High Damping Properties. Int. J. Mol. Sci. 2022, 23, 6618. https://doi.org/10.3390/ijms23126618
Hu S, Wu Y, Fu G, Shou T, Zhai M, Yin D, Zhao X. Bio-Based Polyurethane and Its Composites towards High Damping Properties. International Journal of Molecular Sciences. 2022; 23(12):6618. https://doi.org/10.3390/ijms23126618
Chicago/Turabian StyleHu, Shikai, Yaowen Wu, Guoqing Fu, Tao Shou, Mengyao Zhai, Dexian Yin, and Xiuying Zhao. 2022. "Bio-Based Polyurethane and Its Composites towards High Damping Properties" International Journal of Molecular Sciences 23, no. 12: 6618. https://doi.org/10.3390/ijms23126618
APA StyleHu, S., Wu, Y., Fu, G., Shou, T., Zhai, M., Yin, D., & Zhao, X. (2022). Bio-Based Polyurethane and Its Composites towards High Damping Properties. International Journal of Molecular Sciences, 23(12), 6618. https://doi.org/10.3390/ijms23126618

