Abstract
In this paper we describe an efficient method for the synthesis of new heterocyclic systems: furo[2,3-c]-2,7-naphthyridines 6, as well as a new method for the preparation of 1,3-diamino-2,7-naphthyridines 11. For the first time, a Smiles rearrangement was carried out in the 2,7-naphthyridine series, thus gaining the opportunity to synthesize 1-amino-3-oxo-2,7-naphthyridines 4, which are the starting compounds for obtaining furo[2,3-c]-2,7-naphthyridines. The cyclization of alkoxyacetamides 9 proceeds via two different processes: the expected formation of furo[2,3-c]-2,7-naphthyridines 10 and the ‘unexpected’ formation of 1,3-diamino-2,7-naphthyridines 11 (via a Smiles type rearrangement).
1. Introduction
2,7-Naphthyridine derivatives are interesting compounds in the field of heterocyclic chemistry due to some of their interesting biological activities, as evidenced by recent reviews [1,2,3]. Literature data shows that some 2,7-naphthyridine derivatives are potent and selective 3-phosphoinositide-dependent Kinase-1 [4], PDE5 [5], c-Kit/VEGFR-2 Kinase [6] inhibitors, while pyrazolo[3,4-c]-2,7-naphthyridines are bombesin receptor subtype-(3BRS-3) agonists [7].
Moreover, the literature has reported patents on the biological activity of 1-oxo-2,7-naphthyridines, showing that some derivatives of the latter are physiologically active compounds and provide anti-inflammatory and analgesic action and can be used as therapeutic agents for treatment of inflammatory immune diseases and chronic inflammations [8,9].
In our previous investigations on 2,7-naphthyridine derivatives, we have been able to synthesize some tricyclic heterocyclic systems, namely: isomeric 1,2,4-triazolo-2,7-naphthyridines I [10,11], pyrazolo[3,4-c]-2,7-naphthyridines II [12,13,14] and thieno[2,3-c]-2,7-naphthyridines III [15,16] as well as new heterocyclic systems based on these systems [13,14,15,16] (Figure 1).
Figure 1.
The general structures of previously I–III and new IV synthesized compounds.
Some of these investigations revealed that bicyclic 1,3-dihydroxy-2,7-naphthyridines can show antiarrhythmic activity [17], while tricyclic pyrazolo[3,4-c]-2,7-naphthyridines and triazolo[3,4-a]- as some triazolo[5,1-a]-2,7-naphthyridines displayed high neurotropic activity [10,12].
Furthermore, it is well known that fused derivatives of furo[2,3-b]pyridine show high biological activity [18,19,20,21,22,23,24]. Along this line we have previously synthesized several condensed furo[2,3-b]pyridines based on the cyclopenta[c]pyridines, 5,6,7,8-tetrahydroisoquinolines and pyrano[3,4-c]pyridines, obtaining compounds with neurotropic [25,26], antimicrobial [27], antitumor [28] and potent antiviral [29] activities.
Taking into account the abovementioned results, that are very interesting from both the chemical and the biological point of view, we think that it would be useful to combine these two heterocyclic systems into one molecule (Figure 1, compounds IV), as a ‘nice’ precondition for further interesting research. Until recently all our attempts to synthesize furo[2,3-c]-2,7-naphthyridines IV have failed and it is only in this study that we have been able to solve this problem by using the Smiles rearrangement. It should also be noted, that the furo[2,3-c]-2,7-naphthyridine IV system is currently not known in the literature.
2. Results and Discussion
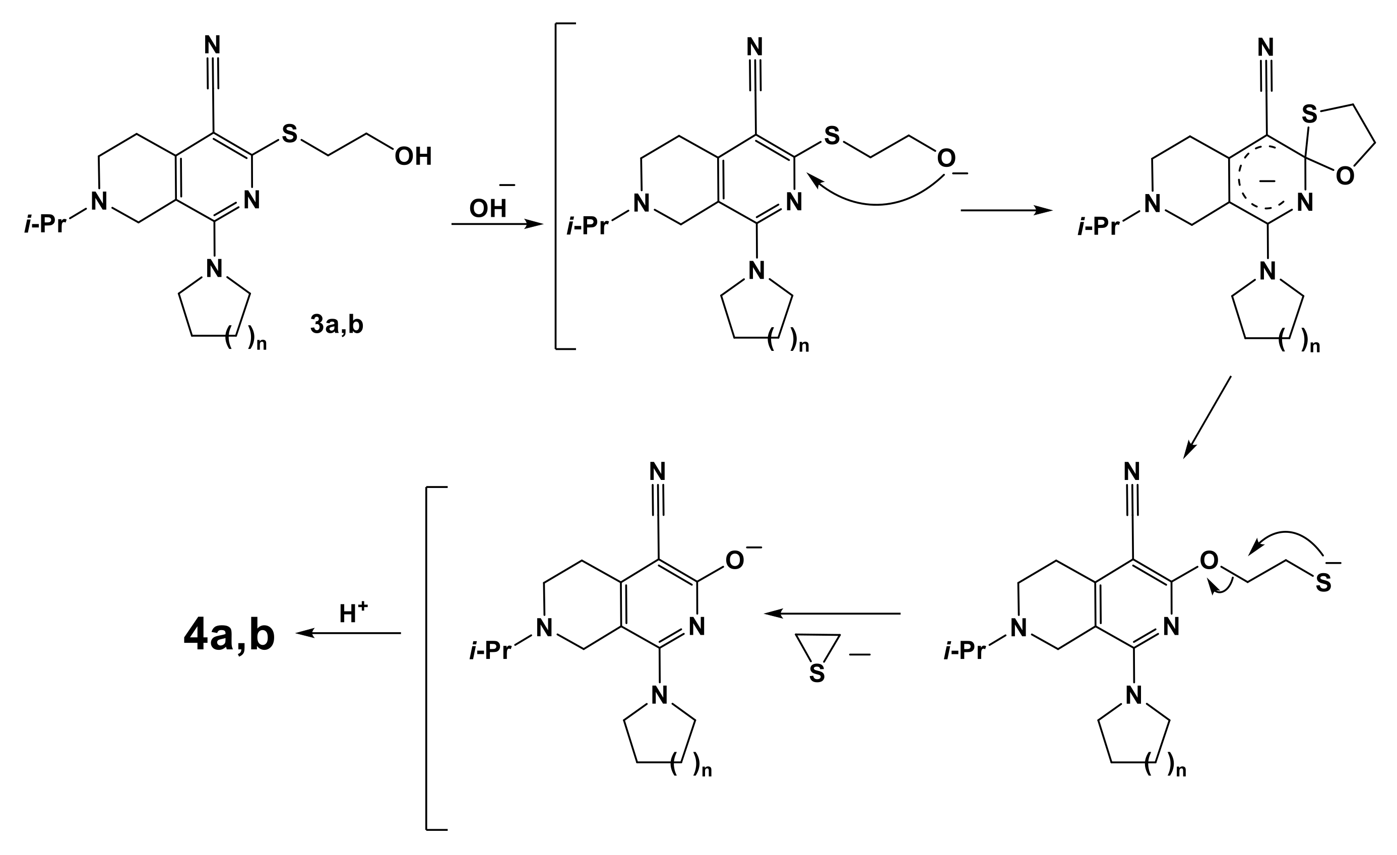
For the synthesis of the targeted compounds we used, as a starting compound, 1,3-dichloro-7-isopropyl-5,6,7,8-tetrahydro-2,7-naphthyridine-4-carbonitrile (1) [16]. Its reaction with cyclic amines (pyrrolidine and azepane), in mild reaction conditions led to the formation of 1-amino-3-chloro-7-isopropyl-5,6,7,8-tetrahydro-2,7-naphthyridines 2a,b [16]. In turn, compounds 2a,b reacted with 2-mercaptoethanol giving the corresponding 1-amino-3-[(2-hydroxyethyl)thio]-7-isopropyl-5,6,7,8-tetrahydro-2,7-naphthyridine-4-carbonitriles 3a,b (Scheme 1) in high yields.
Scheme 1.
Synthesis of 1-amino-3-oxo-2,7-naphthyridines 4.
In a following step, compounds 3 under the action of sodium hydroxide in ethanol underwent a Smiles rearrangement [30,31,32] leading to the formation of 1-amino-7-isopropyl-3-oxo-2,3,5,6,7,8-hexahydro-2,7-naphthyridine-4-carbonitriles 4a,b in quite high yields (Scheme 1).
In compounds 4 a lactam–lactim (NH/OH) tautomerism is possible, via the proton-migration of a hydrogen atom between the two basic centers. The IR spectroscopic data strongly show that 1-amino-3-oxo-2,7-naphthyridines 4a,b in the solid state exist only in the lactam 4 (NH) tautomeric form: showing carbonyl group absorptions at 1636–1638 cm−1, nitrile groups at 2208–2210 cm−1, and NH in the region 3222–3226 cm−1. Interestingly, in solution the situation changes, as confirmed by NMR spectra, where the presence of the proton of NH group at 10.53–10.86 ppm was observed (see Supplementary Materials). Moreover, by further alkylation of 1-amino-3-oxo-2,7-naphthyridines 4a,b in basic conditions, the corresponding O-alkylated derivatives were obtained in high yields (Schemes 3 and 4).
It should be mentioned that the literature reports similar S→O [33,34,35] and S→N [36,37,38,39] type Smiles rearrangement. The possible mechanism of formation of compounds 4 is presented in Scheme 2. It is known that the cleavage product—thiirane—is formed in the reaction mixture and may polymerize under the basic conditions [33,34].
Scheme 2.
Mechanism of the rearrangement proposed for the synthesis of compounds 4.
Then, for the synthesis of the targeted new heterocyclic systems, furo[2,3-c]-2,7-naphthyridines 7 (X = O), the obtained 3-oxo-2,7-naphthyridines 4a,b were alkylated by ethyl chloroacetate in basic conditions. The synthesized O-alkylated compounds 5a,b underwent cyclization in the presence of sodium ethoxide giving the fused furo[2,3-c]-2,7-naphthyridines 7a,b (Scheme 3).
Scheme 3.
Synthesis of new heterocyclic compounds: furo(thieno)[2,3-c]-2,7-naphthyridines 7, 8.
A further confirmation of the structure of furo[2,3-c]-2,7-naphthyridines 7 is given by the fact that the S-alkylated compounds 6 gave the corresponding thieno[2,3-c]-2,7-naphthyridines 8. In fact, in a first step 3-chloro-2,7-naphthyridines 2a,b were alkylated with ethyl 2-mercaptoacetate and then the obtained intermediate S-alkylated derivatives 6a,b were cyclized into the relevant thieno[2,3-c]-2,7-naphthyridines 8a,b (Scheme 3).
The structure of compounds 7 and 8 were confirmed by NMR, IR and MS spectroscopy and by elemental analysis (see Supplementary Materials).
In addition, it was interesting to compare the physico-chemical properties of these two classes of compounds. Thus, furo[2,3-c]-2,7-naphthyridines 7 have a very higher solubility and lower melting point compared with thieno[2,3-c]-2,7-naphthyridines 8. Moreover, compounds 7 and 8 showed different 1H NMR data: the singlet signal of the NH2 group in compounds 7a,b were observed at 5.58 and 5.62 ppm, while in 8a,b the same proton signal was shifted to a weaker field at 6.47 and 6.50 ppm. Signals of the remaining protons of these compounds differ slightly between themselves (Figure 2).
Figure 2.
1H NMR spectra of compounds 7b and 8b.
In order to increase the scope of furo[2,3-c]-2,7-naphthyridines, the obtained 3-oxo-2,7-naphthyridines 4 were alkylated by various other alkyl halides under basic conditions. The corresponding O-alkylated derivatives of 2,7-naphthyridine 9a–p were obtained in high yields (75–89%, Scheme 4, Table 1). In the 1H NMR spectra of compounds 9a–p the singlet signals of the OCH2CO and NH groups were present at 4.69–4.92 ppm and 8.04–10.13 ppm, respectively (see Supplementary Materials). The IR spectra also confirmed their structures, namely that they showed the absorption bands of nitrile group at 2201–2208 cm−1, of carbonyl group at 1662–1698 cm−1, and of NH group at 3166–3352 cm−1.
Scheme 4.
Synthesis and cyclization of alkoxyacetamides of 2,7-naphthyridines 9.
Table 1.
Amino-7-isopropyl-2,7-naphthyridines 9a–p and furo[2,3-c]-2,7-naphthyridines 10a–l.
Moreover, to gain another way for obtaining the furo[2,3-c]-2,7-naphthyridines 7, we refluxed the alkoxyacetamides 9 with sodium ethoxide in ethanol, following a route of reaction similar to that reported in Scheme 3 for compounds 7. Indeed, in this instance, different courses for the reaction were observed, depending on the structure of compounds 9 (Scheme 4).
Thus, it was observed that amides deriving from cyclic (pyrrolidine and piperidine) 9a,b,h or from aromatic amines 9c–g,i–l gave only the expected aminoamides of furo[2,3-c]-2,7-naphthyridine 10a–l in very good yields (70–83%). Therefore, it seems that in these cases only the activated CH2 group, which by the action of sodium ethoxide gave the relevant nucleophile CH−, was able to attack the nitrile group with formation of the condensed furan derivatives 10, via an intramolecular nucleophilic addition (ANi).
In contrast, the amides deriving from non-aromatic primary amines 9m–o (benzylamine or 2-furylmethylamine) furnished only the 1,3-diamino-2,7-naphthyridines 11a–c again in good yields (71–74%). Thus, in these cases a Smiles type rearrangement occurred. Finally it must be remarked that in the instance of compound 9p with primary amine [(1-methyl-2-phenylethyl)amine] no reaction occurred. This can be explained by the fact that, as is known, Smiles type rearrangements take place through the formation of a spiro-intermediate oxazolidinone ring (that is, a ‘Meisenheimer’ complex), the formation of which in this case is impossible due to the presence of the methyl near the NH group.
Such O→N Smiles type rearrangement was deeply investigated by us in the case of cycloalka[c]pyridine and pyrano[3,4-c]pyridine systems [40].
Concerning the structure of furo[2,3-c]-2,7-naphthyridines 10a–l and of 1,3-diamino-2,7-naphthyridines 11a–c, the first and most important information about their structure was given by IR spectra. In fact, the IR of the furo[2,3-c]-2,7-naphthyridines 10 showed the bands of the carbonyl group of the amide (1616–1654 cm−1) as well as of the NH2 group (3271–3488 cm−1), while the absorption bands of the nitrile group, characteristic of the initial compounds 9 and also confirmed by the 13C NMR spectrum, disappeared. Further, in the 1H NMR spectra of compounds 10a–l the protons of the NH2 group at C-1 were observed at 5.61–5.83 ppm, whereas the signals of the OCH2CO group of starting 9a–l were absent (see Supplementary Materials).
The IR spectra of compounds 11 still showed the characteristic absorption bands of nitrile group at 2186–2199 cm−1, thus indicating that the cyclization process did not occur, as confirmed also by the 13C NMR spectrum. In the 1H NMR spectra of compounds 11 the protons of the NH group at 6.40–6.60 ppm were observed, while the signals of the OCH2CO group were absent. The 13C NMR spectra also confirmed their structure (see Supplementary Materials).
The structure of compounds 10 and 11 was confirmed also by the MS spectroscopy.
Finally to gain a definitive confirmation of the structures of compounds 11, their synthesis from the 3-chloro-2,7-naphthyridines 2a,b was performed (Scheme 4).
It must be remembered, that the observed Smiles type rearrangement represents a new and effective method for the synthesis of 1,3-diamino-2,7-naphthyridines 11.
3. Materials and Methods
1H and 13C NMR spectra were recorded in DMSO-d6/CCl4 (1/3) solution (300 MHz for 1H and 75 MHz for 13C, respectively) on a Mercury 300VX spectrometer (Varian Inc., Palo Alto, CA, USA). Chemical shifts were reported as δ (parts per million) relative to TMS as internal standard. The IR spectra were recorded on a Nicolet Avatar 330-FT-IR spectrophotometer (Thermo Nicolet, Madison, CA, USA) in Vaseline, νmax in cm–1. MS spectra were recorded on Waters Q-Tof (Waters, Manchester, UK). Melting points were determined on an MP450 melting point apparatus. Elemental analyses were performed on an Elemental Analyzer Euro EA 3000. Compounds 1 [16] and 2a [16] have already been described.
3.1. Procedure for the Synthesis of Compound 2b
A mixture of compound 1 (2.70 g, 10 mmol), of hexamethyleneimine (1.24 mL, 11 mmol) and of triethylamine (1.53 mL, 11 mmol) in absolute ethanol (50 mL) was refluxed for 5 h. After cooling, water (50 mL) was added and the resulting crystals were filtered off, washed with water, dried, and recrystallized from ethanol.
1-Azepan-1-yl-3-chloro-7-isopropyl-5,6,7,8-tetrahydro-2,7-naphthyridine-4-carbonitrile (2b). Colorless solid; yield 87%, mp 137–139 °C; IR ν/cm–1: 2210 (C≡N). 1H NMR (300 MHz, DMSO-d6/CCl4, 1/3): δ 1.09 (d, J = 6.5 Hz, 6H, CH(CH3)2), 1.56–1.65 (m, 4H, C6H12N), 1.77–1.86 (m, 4H, C6H12N), 2.70–2.78 (m, 2H, NCH2CH2), 2.82–2.92 (m, 3H, NCH2CH2, CH(CH3)2), 3.43 (br s, 2H, NCH2), 3.56–3.62 (m, 4H, N(CH2)2); 13C NMR (75 MHz, DMSO-d6/CCl4, 1/3): δ 18.02, 26.25, 27.86, 29.31, 44.00, 49.42, 50.96, 53.28, 97.62, 114.45, 116.65, 147.36, 150.09, 159.13. Anal. calcd. for C18H25ClN4: C 64.95; H 7.57; N 16.83%. Found: C 65.33; H 7.77; N 17.09%.
3.2. General Procedure for the Synthesis of Compounds 3a,b
To a stirred suspension of compound 2 (10 mmol) and potassium carbonate (2.76 g, 20 mmol) in absolute DMF (50 mL) the 2-mercaptoethanol (0.84 mL, 12 mmol) was added and the reaction mixture was stirred at 85–100 °C for 15 h. Cooling water was then added (50 mL). The resulting crystals were filtered off, washed with water, dried and recrystallized from ethanol.
3-[(2-Hydroxyethyl)thio]-7-isopropyl-1-pyrrolidin-1-yl-5,6,7,8-tetrahydro-2,7-naphthyridine-4-carbonitrile (3a). Yellow solid; yield 77%, mp 131–133 °C; IR ν/cm–1: 3143 (OH), 2202 (C≡N). 1H NMR (300 MHz, DMSO-d6/CCl4, 1/3): δ 1.08 (d, J = 6.5 Hz, 6H, CH(CH3)2), 1.92–1.98 (m, 4H, C4H8N), 2.66–2.71 (m, 2H, NCH2CH2), 2.74–2.80 (m, 2H, NCH2CH2), 2.87 (sp, J = 6.5 Hz, 1H, CH(CH3)2), 3.22 (t, J = 6.8 Hz, 2H, SCH2), 3.54 (s, 2H, NCH2), 3.60 (q, J = 6.7 Hz, 2H, SCH2CH2), 3.61–3.67 (m, 4H, N(CH2)2), 4.55 (t, J = 5.7 Hz, 1H, OH); 13C NMR (75 MHz, DMSO-d6/CCl4, 1/3): δ 18.03, 24.99, 28.75, 31.56, 44.03, 48.61, 49.38, 53.35, 60.28, 73.52, 112.39, 115.56, 147.53, 156.63, 157.25. Anal. calcd. for C18H26N4OS: C 62.39; H 7.56; N 16.17%. Found: C 62.72; H 7.73; N 16.39%.
1-Azepan-1-yl-3-[(2-hydroxyethyl)thio]-7-isopropyl-5,6,7,8-tetrahydro-2,7-naphthyridine-4-carbonitrile (3b). Light yellow solid; yield 74%, mp 151–153 °C; IR ν/cm–1: 3125 (OH), 2202 (C≡N). 1H NMR (300 MHz, DMSO-d6/CCl4, 1/3): δ 1.07 (d, J = 6.5 Hz, 6H, CH(CH3)2), 1.56–1.65 (m, 4H, C6H12N), 1.77–1.87 (m, 4H, C6H12N), 2.67–2.73 (m, 2H, NCH2CH2), 2.77–2.95 (m, 3H, NCH2CH2, CH(CH3)2), 3.23 (t, J = 6.8 Hz, 2H, SCH2), 3.39 (br s, 2H, NCH2), 3.56–3.64 (m, 6H, SCH2CH2, N(CH2)2), 4.57 (t, J = 5.6 Hz, 1H, OH); 13C NMR (75 MHz, DMSO-d6/CCl4, 1/3): δ 18.11, 26.44, 28.18, 28.91, 31.59, 44.33, 49.53, 50.72, 53.32, 60.23, 77.02, 113.66, 115.36, 148.42, 156.84, 158.98. Anal. calcd. for C20H30N4OS: C 64.13; H 8.07; N 14.96%. Found: C 64.48; H 8.26; N 15.20%.
3.3. General Procedure for the Synthesis of Compounds 4a,b
Aqueous solution of sodium hydroxide (50%, 8 g, 100 mmol) was added to a solution of compound 3 (10 mmol) in absolute ethanol (50 mL) and the mixture was refluxed for 15 h. After cooling, the water was added and the mixture was filtered off to remove white precipitate of the thiirane polymer. The filtrate was neutralized with HCl and the formed crystals of compound 4 were filtered off, washed with water and recrystallized from ethanol.
7-Isopropyl-3-oxo-1-pyrrolidin-1-yl-2,3,5,6,7,8-hexahydro-2,7-naphthyridine-4-carbonitrile (4a). Yellow solid; yield 79%, mp 222–223 °C; IR ν/cm–1: 3226 (NH), 2208 (C≡N), 1638 (C=O). 1H NMR (300 MHz, DMSO-d6/CCl4, 1/3): δ 1.07 (d, J = 6.6 Hz, 6H, CH(CH3)2), 1.91–1.97 (m, 4H, 2CH2, C6H12N), 2.62–2.68 (m, 2H, NCH2CH2), 2.72–2.78 (m, 2H, NCH2CH2), 2.82 (sp, J = 6.6 Hz, 1H, CH(CH3)2), 3.46 (s, 2H, NCH2), 3.53–3.60 (m, 4H, N(CH2)2), 10.53 (br, 1H, NH); 13C NMR (75 MHz, DMSO-d6/CCl4, 1/3): δ 18.07, 24.99, 29.19, 44.05, 48.62, 49.67, 53.37, 82.23, 105.16, 116.38, 151.57, 155.06, 161.14. Anal. calcd. for C16H22N4O: C 67.11; H 7.74; N 19.56%. Found: C 67.42; H 7.89; N 19.77%. ESI HRMS [C16H22O1N4+H+] Calculated: 287.1871. Found: 287.1873.
1-Azepan-1-yl-7-isopropyl-3-oxo-2,3,5,6,7,8-hexahydro-2,7-naphthyridine-4-carbonitrile (4b). Cream solid; yield 81%, mp 208–210 °C; IR ν/cm–1: 3222 (NH), 2210 (C≡N), 1636 (C=O). 1H NMR (300 MHz, DMSO-d6/CCl4, 1/3): δ 1.08 (d, J = 6.5 Hz, 6H, CH(CH3)2), 1.58–1.66 (m, 4H, C6H12N), 1.74–1.83 (m, 4H, C6H12N), 2.66–2.72 (m, 2H, NCH2CH2), 2.77–2.99 (m, 3H, NCH2CH2, CH(CH3)2), 3.34 (s, 2H, NCH2), 3.45–3.51 (m, 4H, N(CH2)2), 10.86 (br, 1H, NH). 13C NMR (75 MHz, DMSO-d6/CCl4, 1/3): δ 18.10, 26.48, 28.09, 29.08, 44.46, 48.98, 51.19, 53.34, 108.45, 115.78, 151.71, 158.23, 161.10. Anal. calcd. for C18H26N4O: C 68.76; H 8.33; N 17.82%. Found: C 69.13; H 8.51; N 18.07%. ESI HRMS C18H26O1N4+H+] Calculated: 315.2184. Found: 315.2186.
3.4. General Procedure for the Synthesis of Compounds 5a,b and 6a,b
To a suspension of compound 4/2 (10 mmol) and potassium carbonate (2.76 g, 20 mmol) in absolute DMF (50 mL) ethyl chloroacetate (1.28 mL, 12 mmol) or ethyl 2-mercaptoacetate (1.32 mL, 12 mmol) was added dropwise under stirring. The reaction mixture was maintained at 75–80 °C for 3 h, then cooled to room temperature, and poured onto ice water. The resulting crystals were filtered off, washed with water, dried, and recrystallized from ethanol.
Ethyl [(4-cyano-7-isopropyl-1-pyrrolidin-1-yl-5,6,7,8-tetrahydro-2,7-naphthyridin-3-yl)oxy]acetate (5a). Light yellow solid; yield 73%, mp 98–100 °C; IR ν/cm–1: 2205 (C≡N), 1747 (C=O). 1H NMR (300 MHz, DMSO-d6/CCl4, 1/3): δ 1.09 (d, J = 6.4 Hz, 6H, CH(CH3)2), 1.26 (t, J = 7.1 Hz, 3H, CH2CH3), 1.89–1.95 (m, 4H, C4H8N), 2.64–2.74 (m, 2H, NCH2CH2), 2.78–2.91 (m, 3H, NCH2CH2, CH(CH3)2), 3.52–3.60 (m, 6H, N(CH2)2, NCH2), 4.16 (q, J = 7.1 Hz, 2H, CH2CH3), 4.78 (s, 2H, OCH2); 13C NMR (75 MHz, DMSO-d6/CCl4, 1/3): δ 13.76, 18.02, 24.90, 28.98, 43.92, 48.58, 49.17, 53.35, 59.83, 61.91, 81.35, 110.13, 114.84, 149.78, 156.21, 159.80, 167.50. Anal. calcd. for C20H28N4O3: C 64.49; H 7.58; N 15.04%. Found: C 64.83; H 7.74; N 15.28%.
Ethyl [(1-azepan-1-yl-4-cyano-7-isopropyl-5,6,7,8-tetrahydro-2,7-naphthyridin-3-yl)oxy]acetate (5b). Light yellow solid; yield 83%, mp 102–104 °C; IR ν/cm–1: 2204 (C≡N), 1745 (C=O). 1H NMR (300 MHz, DMSO-d6/CCl4, 1/3): δ 1.08 (d, J = 6.5 Hz, 6H, CH(CH3)2), 1.26 (t, J = 7.1 Hz, 3H, CH2CH3), 1.53–1.61 (m, 4H, C6H12N), 1.72–1.81 (m, 4H, C6H12N), 2.71 (t, J = 5.9 Hz, 2H, NCH2CH2), 2.79–2.89 (m, 3H, NCH2CH2, CH(CH3)2), 3.40 (s, 2H, NCH2), 3.49–3.54 (m, 4H, N(CH2)2), 4.15 (q, J = 7.1 Hz, 2H, CH2CH3), 4.81 (s, 2H, OCH2); 13C NMR (75 MHz, DMSO-d6/CCl4, 1/3): δ 13.71, 18.10, 26.22, 28.06, 29.16, 44.17, 49.56, 50.67, 53.32, 59.92, 61.77, 82.87, 111.35, 114.61, 150.70, 158.27, 159.41, 167.42. Anal. calcd. for C22H32N4O3: C 65.97; H 8.05; N 13.99%. Found: C 66.36; H 8.25; N 14.26%.
Ethyl [(4-cyano-7-isopropyl-1-pyrrolidin-1-yl-5,6,7,8-tetrahydro-2,7-naphthyridin-3-yl)thio]acetate (6a). Yellow solid; yield 76%, mp 114–116 °C; IR ν/cm–1: 2198 (C≡N), 1737 (C=O). 1H NMR (300 MHz, DMSO-d6/CCl4, 1/3): δ 1.08 (d, J = 6.5 Hz, 6H, CH(CH3)2), 1.26 (t, J = 7.1 Hz, 3H, CH2CH3), 1.92–1.98 (m, 4H, C4H8N), 2.70 (t, J = 5.9 Hz, 2H, NCH2CH2), 2.76–2.92 (m, 3H, NCH2CH2, CH(CH3)2), 3.55 (s, 2H, NCH2), 3.58–3.64 (m, 4H, N(CH2)2), 3.91 (s, 2H, SCH2), 4.12 (q, J = 7.1 Hz, 2H, CH2CH3); 13C NMR (75 MHz, DMSO-d6/CCl4, 1/3): δ 13.67, 18.00, 24.91, 28.74, 29.17, 31.11, 43.90, 48.60, 49.32, 49.59, 53.32, 60.36, 93.60, 112.88, 115.21, 147.61, 155.69, 156.62, 167.82. Anal. calcd. for C20H28N4O2S: C 61.83; H 7.26; N 14.42%. Found: C 62.15; H 7.43; N 14.65%.
Ethyl [(1-azepan-1-yl-4-cyano-7-isopropyl-5,6,7,8-tetrahydro-2,7-naphthyridin-3-yl)thio]acetate (6b). Light yellow solid; yield 74%, mp 103–105 °C; IR ν/cm–1: 2198 (C≡N), 1749 (C=O). 1H NMR (300 MHz, DMSO-d6/CCl4, 1/3): δ 1.08 (d, J = 6.5 Hz, 6H, CH(CH3)2), 1.26 (t, J = 7.1 Hz, 3H, CH2CH3), 1.58–1.63 (m, 4H, C6H12N), 1.76–1.85 (m, 4H, C6H12N), 2.71 (t, J = 5.9 Hz, 2H, NCH2CH2), 2.80–2.88 (m, 3H, NCH2CH2, CH(CH3)2), 3.40 (s, 2H, NCH2), 3.54–3.59 (m, 4H, N(CH2)2), 3.94 (s, 2H, SCH2), 4.12 (q, J = 7.1 Hz, 2H, CH2CH3); 13C NMR (75 MHz, DMSO-d6/CCl4, 1/3): δ 13.67, 18.08, 26.44, 28.11, 28.90, 30.97, 44.21, 49.53, 50.64, 53.30, 60.40, 60.43, 95.02, 114.28, 114.97, 148.60, 155.16, 159.07, 167.71. Anal. calcd. for C22H32N4O2S: C 63.43; H 7.74; N 13.45%. Found: C 63.83; H 7.95; N 13.73%.
3.5. General Procedure for the Synthesis of Compounds 7a,b and 8a,b
To a solution of sodium ethoxide [0.25 g (11 mmol) in absolute ethanol (30 mL)] was added compound 5/6 (10 mmol). The mixture was refluxed for 1 h, cooled, and poured onto ice. The formed crystals were filtered off, washed with water, dried, and recrystallized from ethanol.
Ethyl 1-amino-7-isopropyl-5-pyrrolidin-1-yl-6,7,8,9-tetrahydrofuro[2,3-c]-2,7-naphthyridine-2-carboxylate (7a). Cream solid; yield 71%, mp 138–140 °C; IR ν/cm–1: 3503, 3381 (NH2), 1663 (C=O). 1H NMR (300 MHz, DMSO-d6/CCl4, 1/3): δ 1.12 (d, J = 6.3 Hz, 6H, CH(CH3)2), 1.38 (t, J = 7.1 Hz, 3H, CH2CH3), 1.92–1.98 (m, 4H, C4H8N), 2.75–2.95 (m, 3H, NCH2CH2, CH(CH3)2), 3.15–3.22 (m, 2H, NCH2CH2), 3.49–3.56 (m, 4H, N(CH2)2), 3.57 (s, 2H, NCH2), 4.27 (q, J = 7.1 Hz, 2H, CH2CH3), 5.58 (s, 2H, NH2); 13C NMR (75 MHz, DMSO-d6/CCl4, 1/3): δ 14.25, 17.85, 25.05, 26.50, 44.12, 48.81, 49.65, 53.90, 58.34, 102.45, 104.47, 119.98, 140.71, 140.96, 157.62, 157.73, 160.25. Anal. calcd. for C20H28N4O3: C 64.49; H 7.58; N 15.04%. Found: C 64.85; H 7.76; N 15.29%. ESI HRMS [C20H28O3N4+H+] Calculated: 373.2239. Found: 373.2241.
Ethyl 1-amino-5-azepan-1-yl-7-isopropyl-6,7,8,9-tetrahydrofuro[2,3-c]-2,7-naphthyridine-2-carboxylate (7b). Yellow solid; yield 69%, mp 147–149 °C; IR ν/cm–1: 3456, 3362 (NH2), 1676 (C=O). 1H NMR (300 MHz, DMSO-d6/CCl4, 1/3): δ 1.11 (d, J = 6.5 Hz, 6H, CH(CH3)2), 1.38 (t, J = 7.1 Hz, 3H, CH2CH3), 1.63–1.69 (m, 4H, C6H12N), 1.78–1.86 (m, 4H, C6H12N), 2.77 (t, J = 5.8 Hz, 2H, NCH2CH2), 2.87 (sp, J = 6.5 Hz, 1H, CH(CH3)2), 3.20 (t, J = 5.5 Hz, 2H, NCH2CH2), 3.44 (s, 2H, NCH2), 3.44–3.48 (m, 4H, N(CH2)2), 4.28 (q, J = 7.1 Hz, 2H, CH2CH3), 5.62 (s, 2H, NH2); 13C NMR (75 MHz, DMSO-d6/CCl4, 1/3): δ 14.24, 18.15, 26.37, 27.18, 28.35, 44.66, 49.61, 51.84, 53.41, 58.42, 103.95, 116.16, 120.36, 140.50, 141.89, 157.11, 160.32, 160.39. Anal. calcd. for C22H32N4O3: C 65.97; H 8.05; N 13.99%. Found: C 66.28; H 8.20; N 14.21%.
Ethyl 1-amino-7-isopropyl-5-pyrrolidin-1-yl-6,7,8,9-tetrahydrothieno[2,3-c]-2,7-naphthyridine-2-carboxylate (8a). Light yellow solid; yield 90%, mp 180–182 °C; IR ν/cm–1: 3441, 3335 (NH2), 1655 (C=O). 1H NMR (300 MHz, DMSO-d6/CCl4, 1/3): δ 1.11 (d, J = 6.5 Hz, 6H, CH(CH3)2), 1.36 (t, J = 7.1 Hz, 3H, CH2CH3), 1.92–1.98 (m, 4H, C4H8N), 2.75 (t, J = 5.8 Hz, 2H, NCH2CH2), 2.86 (sp, J = 6.5 Hz, 1H, CH(CH3)2), 3.26 (t, J = 5.9 Hz, 2H, NCH2CH2), 3.50–3.57 (m, 4H, N(CH2)2), 3.52 (s, 2H, NCH2), 4.24 (q, J = 7.1 Hz, 2H, CH2CH3), 6.47 (s, 2H, NH2); 13C NMR (75 MHz, DMSO-d6/CCl4, 1/3): δ 14.19, 18.17, 25.04, 27.63, 44.65, 49.57, 49.63, 53.35, 58.59, 90.91, 115.58, 115.98, 141.69, 150.50, 157.94, 157.98, 164.62. Anal. calcd. for C20H28N4O2S: C 61.83; H 7.26; N 14.42%. Found: C 62.18; H 7.43; N 14.66%. ESI HRMS [C20H28O2N4S1+H+] Calculated: 389.2011. Found: 389.2013.
Ethyl 1-amino-5-azepan-1-yl-7-isopropyl-6,7,8,9-tetrahydrothieno[2,3-c]-2,7-naphthyridine-2-carboxylate (8b). Light yellow solid; yield 89%, mp 162–164 °C; IR ν/cm–1: 3473, 3340 (NH2), 1659 (C=O). 1H NMR (300 MHz, DMSO-d6/CCl4, 1/3): δ 1.12 (d, J = 6.5 Hz, 6H, CH(CH3)2), 1.36 (t, J = 7.1 Hz, 3H, CH2CH3), 1.65–1.72 (m, 4H, C6H12N), 1.77–1.86 (m, 4H, C6H12N), 2.77 (t, J = 5.8 Hz, 2H, NCH2CH2), 2.86 (sp, J = 6.5 Hz, 1H, CH(CH3)2), 3.29 (t, J = 5.6 Hz, 2H, NCH2CH2), 3.44 (s, 2H, NCH2), 3.43–3.49 (m, 4H, N(CH2)2), 4.25 (q, J = 7.1 Hz, 2H, CH2CH3), 6.50 (s, 2H, NH2); 13C NMR (75 MHz, DMSO-d6/CCl4, 1/3): δ 14.17, 18.19, 26.44, 26.50, 27.63, 28.43, 28.48, 45.04, 49.63, 52.01, 53.32, 58.72, 91.93, 117.18, 117.79, 142.25, 150.25, 157.39, 160.98, 164.62. Anal. calcd. for C22H32N4O2S: C 63.43; H 7.74; N 13.45%. Found: C 63.82; H 7.94; N 13.73%.
3.6. General Procedure for the Synthesis of Compounds 9a–p
To a stirred suspension of compound 4 (1 mmol) and potassium carbonate (0.28 g, 2 mmol) in absolute DMF (25 mL) the corresponding alkyl chloride (1.2 mmol) was added. The reaction mixture was maintained at 75–80 °C for 3 h. Then the reaction mixture was cooled at room temperature, and water was added (50 mL). The resulting crystals were filtered off, washed with water, dried and recrystallized from ethanol.
7-Isopropyl-3-(2-oxo-2-pyrrolidin-1-ylethoxy)-1-pyrrolidin-1-yl-5,6,7,8-tetrahydro-2,7-naphthyridine-4-carbonitrile (9a). Milky solid; yield 75%, mp 178–180 °C; IR ν/cm–1: 2202 (C≡N), 1665 (C=O). 1H NMR (300 MHz, DMSO-d6/CCl4, 1/3): δ 1.10 (d, J = 6.0 Hz, 6H, CH(CH3)2), 1.79–2.04 (m, 8H, 4CH2, C4H8N), 2.64–2.95 (m, 5H, NCH2CH2, CH(CH3)2), 3.37 (t, J = 6.8 Hz, 2H, NCH2), 3.50 (t, J = 6.8 Hz, 2H, NCH2), 3.53–3.60 (m, 6H, C4H8N, 8-CH2), 4.82 (s, 2H, OCH2); 13C NMR (75 MHz, DMSO-d6/CCl4, 1/3): δ 17.97, 23.31, 24.91, 25.70, 28.90, 43.93, 44.72, 45.21, 48.48, 48.50, 49.08, 53.43, 63.41, 81.21, 115.11, 149.5, 156.24, 160.13, 164.79. Anal. calcd. for C22H31N5O2: C 66.47; H 7.86; N 17.62%. Found: C 66.80; H 8.02; N 17.87%.
7-Isopropyl-3-(2-oxo-2-piperidin-1-ylethoxy)-1-pyrrolidin-1-yl-5,6,7,8-tetrahydro-2,7-naphthyridine-4-carbonitrile (9b). Colorless solid; yield 80%, mp 164–166 °C; IR ν/cm–1: 2201 (C≡N), 1671 (C=O). 1H NMR (300 MHz, DMSO-d6/CCl4, 1/3): δ 1.09 (d, J = 6.5 Hz, 6H, CH(CH3)2), 1.46–1.71 (m, 6H, C5H10N), 1.90–1.95 (m, 4H, C4H8N), 2.66–2.91 (m, 5H, NCH2CH2, CH(CH3)2), 3.40–3.47 (m, 2H, NCH2), 3.54–3.61 (m, 8H, 2N(CH2)2, C4H8N, C5H10N), 4.92 (s, 2H, OCH2); 13C NMR (75 MHz, DMSO-d6/CCl4, 1/3): δ 18.02, 23.96, 24.91, 24.99, 25.02, 25.76, 28.92, 41.98, 42.02, 43.98, 44.88, 44.90, 48.54, 49.20, 53.39, 63.11, 81.33, 109.66, 115.12, 149.51, 156.27, 160.15, 164.45. Anal. calcd. for C23H33N5O2: C 67.12; H 8.08; N 17.02%. Found: C 67.49; H 8.27; N 17.29%.
2-[(4-Cyano-7-isopropyl-1-pyrrolidin-1-yl-5,6,7,8-tetrahydro-2,7-naphthyridin-3-yl)oxy]-N-phenylacetamide (9c). Cream solid; yield 78%, mp 227–229 °C; IR ν/cm–1: 3251 (NH), 2208 (C≡N), 1686 (C=O). 1H NMR (300 MHz, DMSO-d6/CCl4, 1/3): δ 1.07 (d, J = 6.5 Hz, 6H, CH(CH3)2), 1.79–1.88 (m, 4H, C4H8N), 2.68 (t, J = 5.7 Hz, 2H, NCH2CH2), 2.79–2.93 (m, 3H, NCH2CH2, CH(CH3)2), 3.51–3.58 (m, 6H, NCH2, N(CH2)2), 4.80 (s, 2H, OCH2), 6.95–7.02 (m, 1H, Ph), 7.19–7.26 (m, 2H, Ph), 7.54–7.59 (m, 2H, Ph), 9.68 (s, 1H, NH); 13C NMR (75 MHz, DMSO-d6/CCl4, 1/3): δ 18.03, 24.86, 28.98, 44.00, 48.56, 49.26, 53.37, 64.50, 81.23, 109.88, 115.35, 119.00, 122.60, 127.90, 138.37, 149.48, 156.37, 160.14, 165.62. Anal. calcd. for C24H29N5O2: C 68.71; H 6.97; N 16.69%. Found: C 69.03; H 7.12; N 16.92%.
2-[(4-Cyano-7-isopropyl-1-pyrrolidin-1-yl-5,6,7,8-tetrahydro-2,7-naphthyridin-3-yl)oxy]-N-(3-methylphenyl)acetamide (9d). Colorless solid; yield 83%, mp 222–224 °C; IR ν/cm–1: 3235, 3184 (NH), 2205 (C≡N), 1683 (C=O). 1H NMR (300 MHz, DMSO-d6/CCl4, 1/3): δ 1.08 (d, J = 6.5 Hz, 6H, CH(CH3)2), 1.81–1.88 (m, 4H, C4H8N), 2.31 (s, 3H, CH3), 2.67–2.72 (m, 2H, NCH2CH2), 2.81–2.93 (m, 3H, NCH2CH2, CH(CH3)2), 3.52–3.59 (m, 6H, NCH2, N(CH2)2), 4.79 (s, 2H, OCH2), 6.75–6.81 (m, 1H, C6H4), 7.06–7.15 (m, 1H, C6H4), 7.30–7.35 (m, 1H, C6H4), 7.39–7.41 (m, 1H, C6H4), 9.54 (s, 1H, NH); 13C NMR (75 MHz, DMSO-d6/CCl4, 1/3): δ 18.01, 20.97, 24.86, 28.92, 43.99, 48.53, 49.26, 53.41, 64.49, 81.25, 104.45, 115.32, 116.19, 119.61, 123.40, 127.75, 137.15, 138.21, 149.44, 156.36, 160.13, 165.50. Anal. calcd. for C25H31N5O2: C 69.26; H 7.21; N 16.15%. Found: C 69.62; H 7.39; N 16.40%.
N-(3-Chlorophenyl)-2-[(4-cyano-7-isopropyl-1-pyrrolidin-1-yl-5,6,7,8-tetrahydro-2,7-naphthyridin-3-yl)oxy]acetamide (9e). Cream solid; yield 76%, mp 206–208 °C; IR ν/cm–1: 3259, 3193 (NH), 2208 (C≡N), 1674 (C=O). 1H NMR (300 MHz, DMSO-d6/CCl4, 1/3): δ 1.07 (d, J = 6.5 Hz, 6H, CH(CH3)2), 1.80–1.88 (m, 4H, C4H8N), 2.68 (t, J = 5.8 Hz, 2H, NCH2CH2), 2.82 (t, J = 6.0 Hz, 2H, NCH2CH2), 2.84 (sp, J = 6.5 Hz, 1H, CH(CH3)2), 3.50–3.57 (m, 4H, N(CH2)2), 3.55 (s, 2H, NCH2), 4.79 (s, 2H, OCH2), 6.95–7.00 (m, 1H, C6H4), 7.20 (t, J = 8.1 Hz, 1H, C6H4), 7.46–7.50 (m, 1H, C6H4), 7.72 (t, J = 2.0 Hz, 1H, C6H4), 9.93 (s, 1H, NH); 13C NMR (75 MHz, DMSO-d6/CCl4, 1/3): δ 18.02, 24.85, 28.99, 43.99, 48.56, 49.26, 53.36, 64.53, 81.25, 109.95, 115.32, 117.12, 118.83, 122.39, 129.16, 133.13, 139.80, 149.51, 156.33, 160.07, 166.07. Anal. calcd. for C24H28ClN5O2: C 63.50; H 6.22; N 15.43%. Found: C 63.83; H 6.38; N 15.67%.
2-[(4-Cyano-7-isopropyl-1-pyrrolidin-1-yl-5,6,7,8-tetrahydro-2,7-naphthyridin-3-yl)oxy]-N-(3-methoxyphenyl)acetamide (9f). Cream solid; yield 82%, mp 195–197 °C; IR ν/cm–1: 3264, 3205 (NH), 2205 (C≡N), 1673 (C=O). 1H NMR (300 MHz, DMSO-d6/CCl4, 1/3): δ 1.07 (d, J = 6.5 Hz, 6H, CH(CH3)2), 1.80–1.89 (m, 4H, C4H8N), 2.68 (t, J = 5.9 Hz, 2H, NCH2CH2), 2.82 (t, J = 6.0 Hz, 2H, NCH2CH2), 2.84 (sp, J = 6.5 Hz, 1H, CH(CH3)2), 3.51–3.58 (m, 6H, NCH2, N(CH2)2), 3.76 (s, 3H, OCH3), 4.79 (s, 2H, OCH2), 6.51–6.55 (m, 1H, C6H4), 7.04–7.14 (m, 2H, C6H4), 7.28–7.30 (m, 1H, C6H4), 9.67 (s, 1H, NH); 13C NMR (75 MHz, DMSO-d6/CCl4, 1/3): δ 18.03, 24.87, 28.99, 44.00, 48.58, 49.26, 53.36, 54.35, 64.51, 81.23, 104.71, 108.47, 109.89, 111.20, 115.34, 128.54, 139.50, 149.48, 156.37, 159.20, 160.14, 165.66. Anal. calcd. for C25H31N5O3: C 66.79; H 6.95; N 15.58%. Found: C 67.17; H 7.14; N 15.85%.
2-[(4-Cyano-7-isopropyl-1-pyrrolidin-1-yl-5,6,7,8-tetrahydro-2,7-naphthyridin-3-yl)oxy]-N-(4-ethoxyphenyl)acetamide (9g). Colorless solid; yield 77%, mp 184–186 °C; IR ν/cm–1: 3238, 3188 (NH), 2203 (C≡N), 1680 (C=O). 1H NMR (300 MHz, DMSO-d6/CCl4, 1/3): δ 1.08 (d, J = 6.5 Hz, 6H, CH(CH3)2), 1.38 (t, J = 6.9 Hz, 3H, OCH2CH3), 1.82–1.89 (m, 4H, C4H8N), 2.55–2.72 (m, 2H, NCH2CH2), 2.79–2.89 (m, 3H, NCH2CH2, CH(CH3)2), 3.52–3.59 (m, 6H, NCH2, N(CH2)2), 3.97 (q, J = 6.9 Hz, 2H, OCH2CH3), 4.77 (s, 2H, OCH2), 6.72–6.78 (m, 2H, C6H4), 7.42–7.48 (m, 2H, C6H4), 9.46 (s, 1H, NH); 13C NMR (75 MHz, DMSO-d6/CCl4, 1/3): δ 14.38, 18.02, 24.88, 28.98, 43.99, 48.58, 49.27, 53.37, 62.53, 64.49, 81.30, 109.90, 113.68, 115.34, 120.44, 131.33, 149.47, 154.34, 156.37, 160.14, 165.10. Anal. calcd. for C26H33N5O3: C 67.36; H 7.18; N 15.11%. Found: C 67.68; H 7.33; N 15.34%.
1-Azepan-1-yl-7-isopropyl-3-(2-oxo-2-pyrrolidin-1-ylethoxy)-5,6,7,8-tetrahydro-2,7-naphthyridine-4-carbonitrile (9h). Light yellow solid; yield 75%, mp 173–175 °C; IR ν/cm–1: 2208 (C≡N), 1673 (C=O). 1H NMR (300 MHz, DMSO-d6/CCl4, 1/3): δ 1.08 (d, J = 6.5 Hz, 6H, CH(CH3)2), 1.53–1.60 (m, 4H, C6H12N), 1.71–1.80 (m, 4H, C6H12N), 1.80–1.89 (m, 2H, C4H8N), 1.94–2.04 (m, 2H, C4H8N), 2.70 (br t, J = 5.9 Hz, 2H, NCH2CH2), 2.79–2.89 (m, 3H, NCH2CH2, CH(CH3)2), 3.36 (t, J = 6.9 Hz, 2H, NCH2, C4H8N), 3.39 (s, 2H, NCH2), 3.44–3.55 (m, 6H, N(CH2)2, NCH2), 4.84 (s, 2H, OCH2); 13C NMR (75 MHz, DMSO-d6/CCl4, 1/3): δ 18.12, 23.30, 25.70, 26.18, 28.09, 29.16, 44.24, 44.47, 45.21, 49.56, 50.68, 53.33, 63.30, 82.82, 110.95, 114.94, 150.45, 158.22, 159.84, 164.59. Anal. calcd. for C24H35N5O2: C 67.73; H 8.29; N 16.46%. Found: C 68.13; H 8.50; N 16.75%.
2-[(1-Azepan-1-yl-4-cyano-7-isopropyl-5,6,7,8-tetrahydro-2,7-naphthyridin-3-yl)oxy]-N-(3-methylphenyl)acetamide (9i). Colorless solid; yield 81%, mp 183–185 °C; IR ν/cm–1: 3286, 3166 (NH), 2205 (C≡N), 1677 (C=O). 1H NMR (300 MHz, DMSO-d6/CCl4, 1/3): δ 1.08 (d, J = 6.6 Hz, 6H, CH(CH3)2), 1.46–1.54 (m, 4H, C6H12N), 1.67–1.77 (m, 4H, C6H12N), 2.32 (s, 3H, CH3), 2.71 (br t, J = 5.9 Hz, 2H, NCH2CH2), 2.79–2.90 (m, 3H, NCH2CH2, CH(CH3)2), 3.39 (m, 2H, NCH2), 3.47–3.57 (m, 4H, N(CH2)2), 4.80 (s, 2H, OCH2), 6.77–6.81 (m, 1H, C6H4), 7.06–7.12 (m, 1H, C6H4), 7.30–7.35 (m, 1H, C6H4), 7.38–7.41 (m, 1H, C6H4), 9.55 (s, 1H, NH); 13C NMR (75 MHz, DMSO-d6/CCl4, 1/3): δ 18.11, 20.97, 26.27, 28.04, 29.19, 44.27, 49.58, 50.69, 53.35, 64.37, 82.82, 111.09, 115.09, 116.14, 119.57, 123.39, 127.73, 137.11, 138.21, 150.40, 158.44, 159.78, 165.31. Anal. calcd. for C27H35N5O2: C 70.25; H 7.64; N 15.17%. Found: C 70.61; H 7.82; N 15.42%.
2-[(1-Azepan-1-yl-4-cyano-7-isopropyl-5,6,7,8-tetrahydro-2,7-naphthyridin-3-yl)oxy]-N-(4-methylphenyl)acetamide (9j). Colorless solid; yield 84%, mp 202–204 °C; IR ν/cm–1: 3245, 3187 (NH), 2208 (C≡N), 1683 (C=O). 1H NMR (300 MHz, DMSO-d6/CCl4, 1/3): δ 1.08 (d, J = 6.5 Hz, 6H, CH(CH3)2), 1.46–1.54 (m, 4H, C6H12N), 1.67–1.77 (m, 4H, C6H12N), 2.29 (s, 3H, CH3), 2.71 (t, J = 5.5 Hz, 2H, NCH2CH2), 2.79–2.91 (m, 3H, NCH2CH2, CH(CH3)2), 3.39 (s, 2H, NCH2), 3.47–3.53 (m, 4H, N(CH2)2), 4.80 (s, 2H, OCH2), 6.99–7.04 (m, 2H, C6H4), 7.40–7.46 (m, 2H, C6H4), 9.57 (s, 1H, NH); 13C NMR (75 MHz, DMSO-d6/CCl4, 1/3): δ 18.10, 20.27, 26.25, 28.03, 29.15, 29.18, 44.26, 49.54, 49.56, 49.59, 50.66, 53.35, 64.34, 82.77, 111.05, 115.10, 118.97, 128.36, 131.49, 135.80, 150.37, 158.42, 159.80, 165.15. Anal. calcd. for C27H35N5O2: C 70.25; H 7.64; N 15.17%. Found: C 70.64; H 7.85; N 15.44%.
2-[(1-Azepan-1-yl-4-cyano-7-isopropyl-5,6,7,8-tetrahydro-2,7-naphthyridin-3-yl)oxy]-N-(3-methoxyphenyl)acetamide (9k). Colorless solid; yield 89%, mp 170–172 °C; IR ν/cm–1: 3327, 3274 (NH), 2206 (C≡N), 1674 (C=O). 1H NMR (300 MHz, DMSO-d6/CCl4, 1/3): δ 1.07 (d, J = 6.5 Hz, 6H, CH(CH3)2), 1.45–1.54 (m, 4H, C6H12N), 1.67–1.76 (m, 4H, C6H12N), 2.71 (t, J = 5.8 Hz, 2H, NCH2CH2), 2.79–2.91 (m, 3H, NCH2CH2, CH(CH3)2), 3.39 (s, 2H, NCH2), 3.47–3.53 (m, 4H, N(CH2)2), 3.75 (s, 3H, OCH3), 4.81 (s, 2H, OCH2), 6.50–6.55 (m, 1H, 4-CH, C6H4), 7.03–7.13 (m, 2H, 5,6-CH, C6H4), 7.28–7.31 (m, 1H, 2-CH, C6H4), 9.68 (s, 1H, NH); 13C NMR (75 MHz, DMSO-d6/CCl4, 1/3): δ 18.11, 26.27, 28.04, 29.19, 44.26, 49.59, 50.67, 53.35, 54.32, 64.35, 82.76, 104.65, 108.46, 111.08, 111.14, 115.11, 128.51, 139.49, 150.40, 158.43, 159.17, 159.80, 165.47. Anal. calcd. for C27H35N5O3: C 67.90; H 7.39; N 14.66%. Found: C 68.23; H 7.55; N 14.90%.
N-(4-Acetylphenyl)-2-[(1-azepan-1-yl-4-cyano-7-isopropyl-5,6,7,8-tetrahydro-2,7-naphthyridin-3-yl)oxy]acetamide (9l). Light yellow solid; yield 76%, mp 198–200 °C; IR ν/cm–1: 3277, 3192 (NH), 2206 (C≡N), 1690, 1680 (C=O). 1H NMR (300 MHz, DMSO-d6/CCl4, 1/3): δ 1.07 (d, J = 6.5 Hz, 6H, CH(CH3)2), 1.44–1.51 (m, 4H, C6H12N), 1.65–1.74 (m, 4H, C6H12N), 2.51 (s, 3H, COCH3), 2.71 (t, J = 5.7 Hz, 2H, NCH2CH2), 2.78–2.91 (m, 3H, NCH2CH2, CH(CH3)2), 3.39 (s, 2H, NCH2), 3.45–3.51 (m, 4H, N(CH2)2), 4.85 (s, 2H, OCH2), 7.68–7.73 (m, 2H, C6H4), 7.82–7.87 (m, 2H, C6H4), 10.13 (s, 1H, NH); 13C NMR (75 MHz, DMSO-d6/CCl4, 1/3): δ 18.10, 25.64, 26.23, 28.02, 29.20, 44.25, 49.60, 50.63, 53.34, 64.36, 82.77, 111.13, 115.07, 118.12, 128.70, 131.50, 142.70, 150.47, 158.37, 159.74, 166.10, 194.55. Anal. calcd. for C28H35N5O3: C 68.69; H 7.21; N 14.30%. Found: C 69.04; H 7.39; N 14.56%.
N-Benzyl-2-[(4-cyano-7-isopropyl-1-pyrrolidin-1-yl-5,6,7,8-tetrahydro-2,7-naphthyridin-3-yl)oxy]acetamide (9m). Colorless solid; yield 80%, mp 173–175 °C; IR ν/cm–1: 3352 (NH), 2205 (C≡N), 1698 (C=O). 1H NMR (300 MHz, DMSO-d6/CCl4, 1/3): δ 1.09 (d, J = 6.6 Hz, 6H, CH(CH3)2), 1.81–1.90 (m, 4H, C5H8N), 2.69 (t, J = 5.6 Hz, 2H, NCH2CH2), 2.78–2.91 (m, 3H, NCH2CH2, CH(CH3)2), 3.48–3.55 (m, 4H, N(CH2)2), 3.57 (s, 2H, NCH2), 4.31 (d, J = 6.0 Hz, 2H, NHCH2), 4.70 (s, 2H, OCH2), 7.13–7.26 (m, 5H, Ph), 8.05 (t, J = 6.0 Hz, 1H, NH); 13C NMR (75 MHz, DMSO-d6/CCl4, 1/3): δ 18.03, 24.87, 28.99, 41.72, 43.99, 48.57, 49.19, 53.36, 64.23, 81.42, 109.84, 115.31, 126.03, 127.01, 127.48, 138.97, 149.47, 156.30, 160.03, 166.96. Anal. calcd. for C25H31N5O2: C 69.26; H 7.21; N 16.15%. Found: C 69.64; H 7.42; N 16.43%. ESI HRMS [C25H31O2N5+Na+] Calculated: 456.2375. Found: 456.2377.
2-[(1-Azepan-1-yl-4-cyano-7-isopropyl-5,6,7,8-tetrahydro-2,7-naphthyridin-3-yl)oxy]-N-benzylacetamide (9n). Colorless solid; yield 83%, mp 150–152 °C; IR ν/cm–1: 3197 (NH), 2206 (C≡N), 1675 (C=O). 1H NMR (300 MHz, DMSO-d6/CCl4, 1/3): δ 1.09 (d, J = 6.5 Hz, 6H, CH(CH3)2), 1.52–1.59 (m, 4H, C6H12N), 1.71–1.80 (m, 4H, C6H12N), 2.72 (t, J = 5.9 Hz, 2H, NCH2CH2), 2.81–2.90 (m, 3H, NCH2CH2, CH(CH3)2), 3.40 (s, 2H, NCH2), 3.46–3.51 (m, 4H, N(CH2)2), 4.31 (d, J = 5.9 Hz, 2H, CH2Ph), 4.72 (s, 2H, OCH2), 7.13–7.28 (m, 5H, Ph), 8.08 (t, J = 5.9 Hz, 1H, NH); 13C NMR (75 MHz, DMSO-d6/CCl4, 1/3): δ 18.14, 26.27, 28.09, 29.19, 41.75, 44.34, 49.52, 50.67, 53.36, 64.18, 82.89, 111.06, 115.10, 126.08, 126.99, 127.55, 138.89, 150.40, 158.44, 159.66, 166.82. Anal. calcd. for C27H35N5O2: C 70.25; H 7.64; N 15.17%. Found: C 70.65; H 7.86; N 15.47%. ESI HRMS [C27H35O2N5+Na+] Calculated: 484.2688. Found: 484.2689.
2-[(1-Azepan-1-yl-4-cyano-7-isopropyl-5,6,7,8-tetrahydro-2,7-naphthyridin-3-yl)oxy]-N-(2-furylmethyl)acetamide (9o). Light yellow solid; yield 77%, mp 154–156 °C; 152 oC; IR ν/cm–1: 3288, 3189 (NH), 2206 (C≡N), 1678 (C=O). 1H NMR (300 MHz, DMSO-d6/CCl4, 1/3): δ 1.09 (d, J = 6.5 Hz, 6H, CH(CH3)2), 1.53–1.59 (m, 4H, C6H12N), 1.72–1.80 (m, 4H, C6H12N), 2.71 (t, J = 5.9 Hz, 2H, NCH2CH2), 2.80–2.90 (m, 3H, NCH2CH2, CH(CH3)2), 3.40 (s, 2H, NCH2), 3.48–3.53 (m, 4H, N(CH2)2), 4.30 (d, J = 5.7 Hz, 2H, NHCH2), 4.69 (s, 2H, OCH2), 6.14 (d, J = 3.1 Hz, 1H, 4-CHfur), 6.28 (dd, J = 3.1, 1.9 Hz, 1H, 3-CHfur), 7.36 (d, J = 1.5 Hz, 1H, 5-CHfur), 8.04 (t, J = 5.7 Hz, 1H, NH); 13C NMR (75 MHz, DMSO-d6/CCl4, 1/3): δ 18.12, 26.28, 28.09, 29.18, 35.03, 44.30, 49.54, 50.67, 53.34, 63.98, 82.84, 106.29, 109.73, 111.04, 115.06, 140.90, 150.38, 151.81, 158.43, 159.65, 166.73. Anal. calcd. for C25H33N5O3: C 66.50; H 7.37; N 15.51%. Found: C 66.82; H 7.54; N 15.75%. ESI HRMS [C25H33O3N5+Na+] Calculated: 474.2481. Found: 474.2482.
2-[(1-Azepan-1-yl-4-cyano-7-isopropyl-5,6,7,8-tetrahydro-2,7-naphthyridin-3-yl)oxy]-N-(1-methyl-2-phenylethyl)acetamide (9p). Colorless solid; yield 79%, mp 164–166 °C; IR ν/cm–1: 3306 (NH), 2207 (C≡N), 1662 (C=O). 1H NMR (300 MHz, DMSO-d6/CCl4, 1/3): δ 1.07 (d, J = 6.5 Hz, 6H, CH(CH3)2), 1.10 (d, J = 5.4 Hz, 3H, CHCH3), 1.53–1.59 (m, 4H, C6H12N), 1.73–1.81 (m, 4H, C6H12N), 2.55–2.92 (m, 7H, NCH2CH2, CH(CH3)2, CH2Ph), 3.40 (s, 2H, NCH2), 3.47–3.52 (m, 4H, N(CH2)2), 3.97–4.11 (m, 1H, NHCH), 4.54–4.66 (m, 2H, OCH2), 7.07–7.26 (m, 6H, NH, Ph); 13C NMR (75 MHz, DMSO-d6/CCl4, 1/3): δ 18.10, 19.42, 26.28, 28.09, 29.19, 41.76, 44.32, 45.60, 49.52, 50.72, 53.38, 64.09, 82.77, 111.14, 115.05, 125.39, 127.55, 128.60, 138.13, 150.38, 158.46, 159.59, 165.88. Anal. calcd. for C29H39N5O2: C 71.13; H 8.03; N 14.30%. Found: C 71.51; H 8.24; N 14.59%.
3.7. General Procedure for the Synthesis of Compounds 10a–l
To a solution of sodium ethoxide [0.05 g (2.2 mmol) of sodium in absolute ethanol (35 mL)] compound 5 (2 mmol) was added. The mixture was refluxed for 4 h, cooled, and poured onto water. The formed crystals were filtered off, washed with water, dried and recrystallized from ethanol.
7-Isopropyl-5-pyrrolidin-1-yl-2-(pyrrolidin-1-ylcarbonyl)-6,7,8,9-tetrahydrofuro[2,3-c]-2,7-naphthyridin-1-amine (10a). Milky solid; yield 77%, mp 250–252 °C; IR ν/cm–1: 3449, 3347 (NH2), 1619 (C=O). 1H NMR (300 MHz, DMSO-d6/CCl4, 1/3): δ 1.13 (d, J = 6.3 Hz, 6H, CH(CH3)2), 1.91–1.98 (m, 8H, 4CH2, C4H8N), 2.72–2.93 (m, 3H, NCH2CH2, CH(CH3)2), 3.17–3.25 (m, 2H, NCH2CH2), 3.45–3.58 (m, 8H, 2(NCH2)2), 3.74 (br, 2H, NCH2), 5.64 (s, 2H, NH2); 13C NMR (75 MHz, DMSO-d6/CCl4, 1/3): δ 18.04, 25.02, 26.90, 44.38, 46.08, 46.16, 49.17, 49.71, 53.57, 103.30, 113.98, 123.61, 138.57, 140.75, 156.44, 157.13, 160.32. Anal. calcd. for C22H31N5O2: C 66.47; H 7.84; N 17.62%. Found: C 66.83; H 8.06; N 17.89%. ESI HRMS [C22H31O2N5+H+] Calculated: 398.2556. Found: 398.2557.
7-Isopropyl-2-(piperidin-1-ylcarbonyl)-5-pyrrolidin-1-yl-6,7,8,9-tetrahydrofuro[2,3-c]-2,7-naphthyridin-1-amine (10b). Light yellow solid; yield 71%, mp 179–181 °C; IR ν/cm–1: 3427, 3306 (NH2), 1615 (C=O). 1H NMR (300 MHz, DMSO-d6/CCl4, 1/3): δ 1.11 (d, J = 6.5 Hz, 6H, CH(CH3)2), 1.60–1.74 (m, 6H, C5H10N), 1.91–1.97 (m, 4H, C4H8N), 2.76 (t, J = 5.9 Hz, 2H, NCH2CH2), 2.88 (sp, J = 6.5 Hz, 1H, CH(CH3)2), 3.19 (t, J = 5.8 Hz, 2H, NCH2CH2), 3.47–3.54 (m, 4H, N(CH2)2, C5H10N), 3.53 (s, 2H, NCH2), 3.74–3.79 (m, 4H, N(CH2)2, C4H8N), 5.67 (s, 2H, NH2); 13C NMR (75 MHz, DMSO-d6/CCl4, 1/3): δ 18.13, 24.49, 25.00, 25.89, 27.05, 44.45, 49.34, 49.38, 49.72, 53.43, 103.15, 114.34, 123.02, 139.74, 140.80, 156.06, 157.35, 160.70. Anal. calcd. for C23H33N5O2: C 67.12; H 8.08; N 17.02%. Found: C 67.45; H 8.24; N 17.27%.
1-Amino-7-isopropyl-N-phenyl-5-pyrrolidin-1-yl-6,7,8,9-tetrahydrofuro[2,3-c]-2,7-naphthyridine-2-carboxamide (10c). Cream solid; yield 73%, mp 196–198 °C; IR ν/cm–1: 3464, 3403, 3315 (NH, NH2), 1647 (C=O). 1H NMR (300 MHz, DMSO-d6/CCl4, 1/3): δ 1.12 (d, J = 6.5 Hz, 6H, CH(CH3)2), 1.91–1.99 (m, 4H, C4H8N), 2.77 (t, J = 5.8 Hz, 2H, NCH2CH2), 2.89 (sp, J = 6.5 Hz, 1H, CH(CH3)2), 3.21 (t, J = 5.5 Hz, 2H, NCH2CH2), 3.47–3.54 (m, 4H, N(CH2)2), 3.55 (s, 2H, NCH2), 5.67 (s, 2H, NH2), 6.92–6.98 (m, 1H, Ph), 7.18–7.25 (m, 2H, Ph), 7.78–7.83 (m, 2H, Ph), 9.25 (s, 1H, NH); 13C NMR (75 MHz, DMSO-d6/CCl4, 1/3): δ 18.16, 25.07, 27.10, 44.41, 49.38, 49.78, 53.51, 103.72, 114.28, 119.53, 121.88, 122.64, 127.66, 138.44, 139.14, 141.34, 156.65, 157.29, 159.25. Anal. calcd. for C24H29N5O2: C 68.71; H 6.97; N 16.69%. Found: C 69.10; H 7.17; N 16.97%. ESI HRMS [C24H29O2N5+H+] Calculeted: 420.2399. Found: 420.2400.
1-Amino-7-isopropyl-N-(3-methylphenyl)-5-pyrrolidin-1-yl-6,7,8,9-tetrahydrofuro[2,3-c]-2,7-naphthyridine-2-carboxamide (10d). Colorless solid; yield 70%, mp 108–110 °C; IR ν/cm–1: 3457, 3413, 3332 (NH, NH2), 1637 (C=O). 1H NMR (300 MHz, DMSO-d6/CCl4, 1/3): δ 1.12 (d, J = 6.5 Hz, 6H, CH(CH3)2), 1.90–1.97 (m, 4H, C4H8N), 2.32 (s, 3H, CH3), 2.77 (t, J = 5.4 Hz, 2H, NCH2CH2), 2.91 (sp, J = 6.5 Hz, 1H, CH(CH3)2), 3.20 (t, J = 5.5 Hz, 2H, NCH2CH2), 3.48–3.52 (m, 4H, N(CH2)2), 3.58 (s, 2H, NCH2), 5.64 (s, 2H, NH2), 6.74–6.80 (m, 1H, C6H4), 7.04–7.13 (m, 1H, C6H4), 7.54–7.59 (m, 1H, C6H4), 7.63–7.68 (m, 1H, C6H4), 9.10 (s, 1H, NH); 13C NMR (75 MHz, DMSO-d6/CCl4, 1/3): δ 18.15, 21.08, 25.04, 27.11, 44.40, 49.38, 49.76, 53.47, 103.74, 114.32, 116.66, 120.09, 122.64, 122.68, 127.52, 136.77, 138.33, 138.93, 141.31, 156.58, 157.26, 159.16. Anal. calcd. for C25H31N5O2: C 69.26; H 7.21; N 16.15%. Found: C 69.57; H 7.38; N 16.39%. ESI HRMS [C25H31O2N5+H+] Calculated: 434.2556. Found: 434.2557.
1-Amino-N-(3-chlorophenyl)-7-isopropyl-5-pyrrolidin-1-yl-6,7,8,9-tetrahydrofuro[2,3-c]-2,7-naphthyridine-2-carboxamide (10e). Light yellow solid; yield 83%, mp 202–204 °C; IR ν/cm–1: 3383, 3271 (NH, NH2), 1647 (C=O). 1H NMR (300 MHz, DMSO-d6/CCl4, 1/3): δ 1.12 (d, J = 6.5 Hz, 6H, CH(CH3)2), 1.91–2.00 (m, 4H, C4H8N), 2.77 (t, J = 5.7 Hz, 2H, NCH2CH2), 2.88 (sp, J = 6.5 Hz, 1H, CH(CH3)2), 3.21 (t, J = 5.7 Hz, 2H, NCH2CH2), 3.47–3.54 (m, 4H, N(CH2)2), 3.56 (s, 2H, NCH2), 5.75 (s, 2H, NH2), 6.90–6.94 (m, 1H, C6H4), 7.18 (t, J = 8.1 Hz, 1H, C6H4), 7.69–7.74 (m, 1H, C6H4), 8.05 (t, J = 2.0 Hz, 1H, C6H4), 9.57 (s, 1H, NH); 13C NMR (75 MHz, DMSO-d6/CCl4, 1/3): δ 18.13, 25.05, 27.09, 44.36, 49.35, 49.77, 53.48, 103.51, 114.26, 117.59, 119.20, 121.43, 122.29, 128.75, 132.80, 139.05, 140.73, 141.41, 156.79, 157.38, 159.28. Anal. calcd. for C24H28ClN5O2: C 63.50; H 6.22; N 15.43%. Found: C 63.87; H 6.41; N 15.70%. ESI HRMS [C24H28O2N5Cl1+H+] Calculeted: 454.2009. Found: 454.2011.
1-Amino-7-isopropyl-N-(3-methoxyphenyl)-5-pyrrolidin-1-yl-6,7,8,9-tetrahydrofuro[2,3-c]-2,7-naphthyridine-2-carboxamide (10f). Cream solid; yield 76%, mp 189–191 °C; IR ν/cm–1: 3374, 3276 (NH, NH2), 1651 (C=O). 1H NMR (300 MHz, DMSO-d6/CCl4, 1/3): δ 1.12 (d, J = 6.5 Hz, 6H, CH(CH3)2), 1.91–1.99 (m, 4H, C4H8N), 2.77 (t, J = 5.9 Hz, 2H, NCH2CH2), 2.89 (sp, J = 6.5 Hz, 1H, CH(CH3)2), 3.21 (t, J = 5.7 Hz, 2H, NCH2CH2), 3.47–3.54 (m, 4H, N(CH2)2), 3.55 (s, 2H, NCH2), 3.78 (s, 3H, OCH3), 5.69 (s, 2H, NH2), 6.47–6.52 (m, 1H, C6H4), 7.09 (t, J = 8.1 Hz, 1H, C6H4), 7.34–7.38 (m, 1H, C6H4), 7.55 (t, J = 2.2 Hz, 1H, C6H4), 9.21 (s, 1H, NH); 13C NMR (75 MHz, DMSO-d6/CCl4, 1/3): δ 18.15, 25.05, 27.11, 44.40, 49.38, 49.76, 53.48, 54.33, 103.71, 104.91, 108.01, 111.72, 114.31, 122.58, 128.23, 138.49, 140.29, 141.35, 156.62, 157.29, 159.04, 159.22. Anal. calcd. for C25H31N5O3: C 66.79; H 6.95; N 15.58%. Found: C 67.13; H 7.11; N 15.83%. ESI HRMS [C25H31O3N5+H+] Calculated: 450.2505. Found: 450.2507.
1-Amino-N-(4-ethoxyphenyl)-7-isopropyl-5-pyrrolidin-1-yl-6,7,8,9-tetrahydrofuro[2,3-c]-2,7-naphthyridine-2-carboxamide (10g). Light yellow solid; yield 70%, mp 187–189 °C; IR ν/cm–1: 3405, 3316 (NH, NH2), 1643 (C=O). 1H NMR (300 MHz, DMSO-d6/CCl4, 1/3): δ 1.13 (d, J = 6.5 Hz, 6H, CH(CH3)2), 1.39 (t, J = 7.0 Hz, 3H, OCH2CH3), 1.92–1.98 (m, 4H, C4H8N), 2.79 (br t, J = 5.6 Hz, 2H, NCH2CH2), 2.84–2.96 (m, 1H, CH(CH3)2), 3.22 (t, J = 5.6 Hz, 2H, NCH2CH2), 3.47–3.53 (m, 4H, N(CH2)2), 3.57 (s, 2H, NCH2), 3.99 (q, J = 7.0 Hz, 2H, OCH2CH3), 5.61 (s, 2H, NH2), 6.72–6.77 (m, 2H, C6H4), 7.64–7.70 (m, 2H, C6H4), 9.15 (s, 1H, NH); 13C NMR (75 MHz, DMSO-d6/CCl4, 1/3): δ 14.50, 18.08, 25.07, 26.91, 44.37, 49.24, 49.77, 53.62, 62.59, 103.85, 113.53, 113.94, 120.95, 122.87, 132.13, 137.86, 141.13, 153.92, 156.57, 157.13, 159.01. Anal. calcd. for C26H33N5O3: C 67.36; H 7.18; N 15.11%. Found: C 67.76; H 7.39; N 15.40%. ESI HRMS [C26H33O3N5+H+] Calculated: 464.2661. Found: 464.2663.
5-Azepan-1-yl-7-isopropyl-2-(pyrrolidin-1-ylcarbonyl)-6,7,8,9-tetrahydrofuro[2,3-c]-2,7-naphthyridin-1-amine (10h). Yellow solid; yield 75%, mp 198–200 °C; IR ν/cm–1: 3446, 3349 (NH2), 1616 (C=O). 1H NMR (300 MHz, DMSO-d6/CCl4, 1/3): δ 1.12 (d, J = 6.5 Hz, 6H, CH(CH3)2), 1.66–1.72 (m, 4H, 2CH2), 1.77–1.85 (m, 4H, 2CH2), 1.90–1.99 (m, 4H, 2CH2), 2.77 (t, J = 5.8 Hz, 2H, NCH2CH2), 2.87 (sp, J = 6.5 Hz, 1H, CH(CH3)2), 3.22 (t, J = 5.8 Hz, 2H, NCH2CH2), 3.38–3.43 (m, 4H, N(CH2)2, C6H12N), 3.48 (s, 2H, NCH2), 3.54–3.97 (m, 4H, N(CH2)2, C4H8N), 5.65 (s, 2H, NH2); 13C NMR (75 MHz, DMSO-d6/CCl4, 1/3): δ 18.15, 26.45, 27.08, 28.46, 44.84, 46.12, 49.36, 52.29, 53.40, 104.92, 116.78, 124.16, 138.26, 141.30, 156.03, 159.94, 160.32, 165.48. Anal. calcd. for C24H35N5O2: C 67.73; H 8.29; N 16.46%. Found: C 68.08; H 8.47; N 16.72%. ESI HRMS [C24H35O2N5+H+] Calculeted: 426.2869. Found: 426.2871.
1-Amino-5-azepan-1-yl-7-isopropyl-N-(3-methylphenyl)-6,7,8,9-tetrahydrofuro[2,3-c]-2,7-naphthyridine-2-carboxamide (10i). Colorless solid; yield 80%, mp 91–93 °C; IR ν/cm–1: 3398, 3304 (NH, NH2), 1654 (C=O). 1H NMR (300 MHz, DMSO-d6/CCl4, 1/3): δ 1.13 (d, J = 6.5 Hz, 6H, CH(CH3)2), 1.66–1.72 (m, 4H, C6H12N), 1.78–1.87 (m, 4H, C6H12N), 2.34 (s, 3H, CH3), 2.80 (br t, J = 5.6 Hz, 2H, NCH2CH2), 2.83–2.95 (m, 1H, CH(CH3)2), 3.25 (t, J = 5.5 Hz, 2H, NCH2CH2), 3.41–3.46 (m, 4H, N(CH2)2), 3.50 (s, 2H, NCH2), 5.69 (s, 2H, NH2), 6.75–6.79 (m, 1H, C6H4), 7.07–7.13 (m, 1H, C6H4), 7.52–7.57 (m, 1H, C6H4), 7.64–7.66 (m, 1H, C6H4), 9.10 (s, 1H, NH); 13C NMR (75 MHz, DMSO-d6/CCl4, 1/3): δ 18.14, 21.06, 26.41, 27.07, 28.42, 44.76, 49.44, 52.09, 53.45, 105.33, 116.67, 120.11, 122.79, 123.20, 127.53, 136.78, 137.97, 138.79, 141.73, 156.16, 159.15, 159.96. Anal. calcd. for C27H35N5O2: C 70.25; H 7.64; N 15.17%. Found: C 70.63; H 7.84; N 15.44%. ESI HRMS [C27H35O2N5+H+] Calculated: 462.2869. Found: 462.2870.
1-Amino-5-azepan-1-yl-7-isopropyl-N-(4-methylphenyl)-6,7,8,9-tetrahydrofuro[2,3-c]-2,7-naphthyridine-2-carboxamide (10j). Yellow solid; yield 77%, mp 204–206 °C; IR ν/cm–1: 3485, 3397, 3316 (NH, NH2), 1647 (C=O). 1H NMR (300 MHz, DMSO-d6/CCl4, 1/3): δ 1.13 (d, J = 6.5 Hz, 6H, CH(CH3)2), 1.65–1.73 (m, 4H, C6H12N), 1.78–1.87 (m, 4H, C6H12N), 2.31 (s, 3H, CH3), 2.79 (t, J = 5.7 Hz, 2H, NCH2CH2), 2.84–2.94 (m, 1H, CH(CH3)2), 3.24 (t, J = 5.7 Hz, 2H, NCH2CH2), 3.40–3.46 (m, 4H, N(CH2)2), 3.49 (s, 2H, NCH2), 5.67 (s, 2H, NH2), 7.00–7.05 (m, 2H, C6H4), 7.63–7.68 (m, 2H, C6H4), 9.15 (s, 1H, NH). 13C NMR (75 MHz, DMSO-d6/CCl4, 1/3): δ 18.15, 20.30, 26.41, 27.08, 28.42, 44.77, 49.46, 52.09, 53.44, 105.37, 116.60, 119.55, 123.28, 128.18, 130.81, 136.39, 137.79, 141.72, 156.13, 159.10, 159.91. Anal. calcd. for C27H35N5O2: C 70.25; H 7.64; N 15.17%. Found: C 70.56; H 7.79; N 15.40%. ESI HRMS [C27H35O2N5+H+] Calculated: 462.2869. Found: 462.2870.
1-Amino-5-azepan-1-yl-7-isopropyl-N-(3-methoxyphenyl)-6,7,8,9-tetrahydrofuro[2,3-c]-2,7-naphthyridine-2-carboxamide (10k). Colorless solid; yield 72%, mp 210–212 °C; IR ν/cm–1: 3488, 3415, 3334 (NH, NH2), 1650 (C=O). 1H NMR (300 MHz, DMSO-d6/CCl4, 1/3): δ 1.13 (d, J = 6.5 Hz, 6H, CH(CH3)2), 1.66–1.72 (m, 4H, C6H12N), 1.79–1.87 (m, 4H, C6H12N), 2.79 (t, J = 5.9 Hz, 2H, NCH2CH2), 2.89 (sp, J = 6.5 Hz, 1H, CH(CH3)2), 3.24 (t, J = 5.7 Hz, 2H, NCH2CH2), 3.41–3.46 (m, 4H, N(CH2)2), 3.49 (s, 2H, NCH2), 3.79 (s, 3H, OCH3), 5.71 (s, 2H, NH2), 6.48–6.53 (m, 1H, C6H4), 7.07–7.13 (m, 1H, C6H4), 7.33–7.38 (m, 1H, C6H4), 7.54–7.56 (m, 1H, C6H4), 9.22 (s, 1H, NH); 13C NMR (75 MHz, DMSO-d6/CCl4, 1/3): δ 18.15, 26.40, 27.12, 28.40, 44.77, 49.48, 52.08, 53.41, 54.30, 104.93, 105.28, 108.11, 111.73, 116.62, 123.11, 128.23, 138.14, 140.15, 141.80, 156.18, 159.04, 159.21, 160.0. Anal. calcd. for C27H35N5O3: C 67.90; H 7.39; N 14.66%. Found: C 68.29; H 7.60; N 14.94%. ESI HRMS [C27H35O3N5+H+] Calculated: 478.2818. Found: 478.2816.
N-(4-Acetylphenyl)-1-amino-5-azepan-1-yl-7-isopropyl-6,7,8,9-tetrahydrofuro[2,3-c]-2,7-naphthyridine-2-carboxamide (10l). Light yellow solid; yield 81%, mp 116–118 °C; IR ν/cm–1: 3399, 3312 (NH, NH2), 1673, 1648 (C=O). 1H NMR (300 MHz, DMSO-d6/CCl4, 1/3): δ 1.13 (d, J = 6.5 Hz, 6H, CH(CH3)2), 1.66–1.72 (m, 4H, C6H12N), 1.79–1.87 (m, 4H, C6H12N), 2.51 (s, 3H, COCH3), 2.80 (br t, J = 5.6 Hz, 2H, NCH2CH2), 2.84–2.94 (m, 1H, CH(CH3)2), 3.25 (t, J = 5.7 Hz, 2H, NCH2CH2), 3.42–3.47 (m, 4H, N(CH2)2), 3.50 (s, 2H, NCH2), 5.83 (s, 2H, NH2), 7.81–7.86 (m, 2H, C6H4), 7.95–8.00 (m, 2H, C6H4), 9.69 (s, 1H, NH); 13C NMR (75 MHz, DMSO-d6/CCl4, 1/3): δ 18.15, 25.64, 26.42, 28.38, 44.73, 49.51, 52.02, 53.46, 105.00, 118.58, 122.83, 128.47, 130.77, 139.09, 141.97, 143.71, 156.43, 159.30, 160.20, 194.62. Anal. calcd. for C28H35N5O3: C 68.69; H 7.21; N 14.30%. Found: C 69.04; H 7.39; N 14.56%. ESI HRMS [C28H35O3N5+H+] Calculated: 490.2818. Found: 490.2819.
3.8. General Procedure for the Synthesis of Compounds 11a–c
- A.
- The same method used for the preparation of compounds 10a–l.
- B.
- A mixture of compound 2 (1 mmol) and the corresponding amine (5 mmol) was refluxed for 30 min. The reaction mixture was cooled, water (50 mL) was added, and the separated crystals were filtered off, washed with water, dried, and recrystallized from ethanol.
3-(Benzylamino)-7-isopropyl-1-pyrrolidin-1-yl-5,6,7,8-tetrahydro-2,7-naphthyridine-4-carbonitrile (11a). Yellow solid; yield 72(A)/78(B)%, mp 168–170 °C; IR ν/cm–1: 3348 (NH), 2186 (C≡N). 1H NMR (300 MHz, DMSO-d6/CCl4, 1/3): δ 1.06 (d, J = 6.5 Hz, 6H, CH(CH3)2), 1.83–1.89 (m, 4H, C5H8N), 2.62–2.68 (m, 2H, NCH2CH2), 2.70–2.76 (m, 2H, NCH2CH2), 2.80 (sp, J = 6.4 Hz, 1H, CH(CH3)2), 3.43–3.51 (m, 4H, N(CH2)2), 3.44 (s, 2H, NCH2), 4.54 (d, J = 6.0 Hz, 2H, NHCH2), 6.52 (t, J = 6.0 Hz, 1H, NH), 7.10–7.31 (m, 5H, Ph); 13C NMR (75 MHz, DMSO-d6/CCl4, 1/3): δ 18.13, 24.91, 28.95, 43.88, 44.40, 48.74, 49.03, 53.36, 77.81, 105.84, 117.33, 125.68, 126.73, 127.36, 140.68, 147.87, 156.0, 157.43. Anal. calcd. for C23H29N5: C 73.57; H 7.78; N 18.65%. Found: C 73.89; H 7.94; N 18.89%. ESI HRMS [C23H29N5+H+] Calculated: 376.2501. Found: 376.2503.
1-Azepan-1-yl-3-(benzylamino)-7-isopropyl-5,6,7,8-tetrahydro-2,7-naphthyridine-4-carbonitrile (11b). Yellow solid; yield 71(A)/76(B)%, mp 127–129 °C; IR ν/cm–1: 3215 (NH), 2189 (C≡N). 1H NMR (300 MHz, DMSO-d6/CCl4, 1/3): δ 1.06 (d, J = 6.5 Hz, 6H, CH(CH3)2), 1.47–1.55 (m, 4H, C6H12N), 1.64–1.72 (m, 4H, C6H12N), 2.66 (t, J = 5.9 Hz, 2H, NCH2CH2), 2.72–2.84 (m, 3H, NCH2CH2, CH(CH3)2), 3.30 (s, 2H, NCH2), 3.38–3.43 (m, 4H, N(CH2)2), 4.55 (d, J = 5.9 Hz, 2H, CH2Ph), 6.60 (t, J = 5.9 Hz, 1H, NH), 7.09–7.28 (m, 5H, Ph); 13C NMR (75 MHz, DMSO-d6/CCl4, 1/3): δ 18.20, 26.20, 28.20, 29.15, 43.92, 44.66, 49.57, 50.64, 53.34, 79.13, 107.00, 117.09, 125.62, 126.41, 127.37, 140.54, 148.63, 155.73, 159.54. Anal. calcd. for C25H33N5: C 74.40; H 8.24; N 17.35%. Found: C 74.78; H 8.45; N 17.62%. ESI HRMS [C25H33N5+H+] Calculated: 404.2814. Found: 404.2816.
1-Azepan-1-yl-3-[(2-furylmethyl)amino]-7-isopropyl-5,6,7,8-tetrahydro-2,7-naphthyridine-4-carbonitrile (11c). Yellow solid; yield 74(A)/79(B)%, mp 113–115 °C; IR ν/cm–1: 3394 (NH), 2199 (C≡N). 1H NMR (300 MHz, DMSO-d6/CCl4, 1/3): δ 1.07 (d, J = 6.5 Hz, 6H, CH(CH3)2), 1.52–1.60 (m, 4H, C6H12N), 1.71–1.80 (m, 4H, C6H12N), 2.66 (t, J = 5.6 Hz, 2H, NCH2CH2), 2.72–2.85 (m, 3H, NCH2CH2, CH(CH3)2), 3.31 (s, 2H, NCH2), 3.46–3.52 (m, 4H, N(CH2)2), 4.52 (d, J = 5.8 Hz, 2H, NHCH2), 6.09 (dd, J = 3.2, 0.9 Hz, 1H, 4-CHfur), 6.24 (dd, J = 3.2, 1.8 Hz, 1H, 3-CHfur), 6.40 (t, J = 5.8 Hz, 1H, NH), 7.31 (dd, J = 1.8, 0.9 Hz, 1H, 5-CHfur); 13C NMR (75 MHz, DMSO-d6/CCl4, 1/3): δ 18.19, 26.26, 28.23, 29.11, 37.40, 44.64, 49.52, 50.69, 53.34, 79.43, 105.33, 107.29, 109.60, 116.90, 140.35, 148.63, 153.57, 155.42, 159.51. Anal. calcd. for C23H31N5O: C 70.20; H 7.94; N 17.80%. Found: C 70.56; H 8.13; N 18.05%. ESI HRMS [C23H31O1N5+H+] Calculated: 394.2607. Found: 394.2609.
4. Conclusions
In summary, an efficient method for the synthesis of new heterocyclic systems, furo[2,3-c]-2,7-naphthyridines 6, and a new method for the synthesis of 1,3-diamino-2,7-naphthyridines 11 were described. The studies have shown that 1-amino-3-[(2-hydroxyethyl)thio]-2,7-naphthyridines 3, obtained from the alkylation of 1-amino-3-chloro-2,7-naphthyridines 2, under the action of sodium hydroxide, could undergo Smiles rearrangement with the formation of 1-amino-3-oxo-2,7-naphthyridines 4 in high yields.
It was found that the cyclization reaction of alkoxyacetamides 9 could follow two different pathways depending on their structure. Thus, in the cases of alkoxyacetamides containing cyclic or aromatic amine fragments only the expected aminoamides of furo[2,3-c]-2,7-naphthyridine 10 were obtained. In the cases of amides deriving from non-aromatic primary amines the Smiles type rearrangement occurred with formation of 1,3-diamino-2,7-naphthyridines 11.
Supplementary Materials
The following supporting information can be downloaded at: https://www.mdpi.com/article/10.3390/ijms23115904/s1.
Author Contributions
Conceptualization, S.N.S., E.K.H., H.A.Y. and A.A.H. performed experiments on the synthesis of all compounds and analyze the results. L.Z. and R.Z. recorded and analyzed the MS spectra. A.G., D.S. and V.G.K. reviewed and edited the manuscript. All authors have read and agreed to the published version of the manuscript.
Funding
The work was supported by the Science Committee of RA, in the frames of the research project NO. 21AG-1D036.
Institutional Review Board Statement
Not applicable.
Informed Consent Statement
Not applicable.
Data Availability Statement
Not applicable.
Conflicts of Interest
The authors declare no conflict of interest.
References
- Wójcicka, A. Synthesis and biological activity of 2,7-naphthyridine derivatives: An overview. Curr. Org. Chem. 2021, 22, 2740–2764. [Google Scholar] [CrossRef]
- Litvinov, V.P.; Roman, S.V.; Dyachenko, V.D. Pyridopyridines. Russ. Chem. Rev. 2001, 70, 299–320. [Google Scholar] [CrossRef]
- Litvinov, V.P. Advances in the Chemistry of Naphthyridines. Adv. Heterocycl. Chem. 2006, 91, 189–300. [Google Scholar]
- Gopalsamy, A.; Shi, M.; Boschelli, D.H.; Williamson, R.; Olland, A.; Hu, Y.; Krishnamurthy, G.; Han, X.; Arndt, K.; Guo, B. Discovery of dibenzo[c,f][2,7]naphthyridines as potent and selective 3-phosphoinositidedependent kinase-1 inhibitors. J. Med. Chem. 2007, 50, 5547–5549. [Google Scholar] [CrossRef] [PubMed]
- Ukita, T.; Nakamura, Y.; Kubo, A.; Yamamoto, Y.; Moritani, Y.; Saruta, K.; Higashijima, T.; Kotera, J.; Fujishige, K.; Takagi, M.; et al. 1,7- and 2,7-naphthyridine derivatives as potent and highly specific PDE5 inhibitors. Bioorg. Med. Chem. Lett. 2003, 13, 2341–2345. [Google Scholar] [CrossRef]
- Sun, H.; Zhuo, L.; Dong, H.; Huang, W.; She, N. Discovery of 8-Amino-Substituted 2-Phenyl-2,7- Naphthyridinone Derivatives as New c-Kit/VEGFR-2 Kinase Inhibitors. Molecules 2019, 24, 4461. [Google Scholar] [CrossRef] [PubMed] [Green Version]
- Guo, C.; Guzzo, P.R.; Hadden, M.; Sargent, B.J.; Yet, L.; Kan, Y.; Palyha, O.; Kelly, T.M.; Guan, X.; Rosko, K.; et al. Synthesis of 7-benzyl-5-(piperidin-1-yl)-6,7,8,9-tetrahydro-3H-pyrazolo[3,4-c][2,7]-naphthyridin-1-ylamine and its analogs as bombesin receptor subtype-3 agonists. Bioorg. Med. Chem. Lett. 2010, 20, 2785–2789. [Google Scholar] [CrossRef]
- Kim, K.O.; Lee, N.K.; Kim, J.H.; Rhee, H.I.; Cho, Y.-B.; Ryu, K.H.; Kim, N.H.; Ryu, K.H.; Yi, J.B.; Jung, J.Y. New pyridine derivatives, method for making thereof and related pharmaceutical composition. U.S. Patent 7,601,736 B2; November 1. Chem. Abstr. 2009, 143, 133284. [Google Scholar]
- Gabos, B.; Lundkvist, M.; Af Rosenschold, M.M.; Shamovsky, I.; Zlatoidsky, P. Novel hydantoin derivatives as metalloproteinase inhibitors. U.S. Patent, 7,655,664 B2; October 7. Chem. Abstr. 2010, 145, 83366. [Google Scholar]
- Sirakanyan, S.N.; Tonoyants, N.A.; Noravyan, A.S.; Dzhagatspanyan, I.A.; Nazaryan, I.M.; Akopyan, A.G.; Paronikyan, R.G.; Minasyan, N.S. Synthesis and neurotropic activity of triazolo[3,4-a]- and triazolo[5,1-a]-2,7-naphthyridines. Pharm. Chem. J. 2014, 48, 231–234. [Google Scholar] [CrossRef]
- Sirakanyan, S.N.; Avetisyan, N.G.; Noravyan, A.S. New heterocyclic systems based on 1-hydrazino-5,6,7,8-tetrahydro[2,7]naphthyridine: 7,8,9,10-tetrahydro[1,2,4]triazolo[3,4-a]- and 7,8,9,10-tetrahydro[1,2,4]triazolo[5,1-a][2,7]naphthyridines. Chem. Heterocycl. Compd. 2012, 48, 470–475. [Google Scholar] [CrossRef]
- Sirakanyan, S.N.; Hakobyan, E.K.; Nikoghosyan, A.G.; Paronikyan, R.G.; Dzhagatspanyan, I.A.; Nazaryan, I.M.; Akopyan, A.G.; Hovakimyan, A.A. Synthesis and neurotropic activity of new 7-cyclohexyl-6,7,8,9-tetrahydro-3H-pyrazolo[3,4-c]-2,7-naphthyridine-1,5-diamines. Pharm. Chem. J. 2018, 52, 108–111. [Google Scholar] [CrossRef]
- Sirakanyan, S.N.; Kartsev, V.G.; Spinelli, D.; Geronikaki, A.; Hakobyan, E.K.; Panosyan, H.A.; Calvaresi, M.; Boga, C.; Hovakimyan, A.A. Reactivity in 7-benzyl-2,7-naphthyridine derivatives: Nucleophilic substitutions, rearrangements, heterocyclizations and related reactions. Curr. Org. Chem. 2017, 21, 1131–1141. [Google Scholar] [CrossRef]
- Sirakanyan, S.N.; Ghazaryan, S.G.; Hakobyan, E.K.; Hovakimyan, A.A. Synthesis of novel 1-pyrazolyl-2,7-naphthyridine derivtives. Russ. J. Org. Chem. 2020, 56, 840–844. [Google Scholar] [CrossRef]
- Sirakanyan, S.N.; Kartsev, V.G.; Hakobyan, E.K.; Hovakimyan, A.A. Synthesis of new heterocyclic systems on the basis of 7-benzyl-3-chloro-1-(morpholin-4-yl)-5,6,7,8-tetrahydro-2,7-naphthiridine-4-carbonitrile. Russ. J. Org. Chem. 2018, 54, 923–928. [Google Scholar] [CrossRef]
- Sirakanyan, S.N.; Spinelli, D.; Geronikaki, A.; Hovakimyan, A.A.; Noravyan, A.S. New heterocyclic systems derived from pyrdine: New substrates for the investigation of the azide/tetrazole equilibrium. Tetrahedron 2014, 70, 8648–8656. [Google Scholar] [CrossRef]
- Paronikyan, E.G.; Sirakanyan, S.N.; Noravyan, A.S.; Asatryan, T.O.; Markaryan, K.Zh.; Aleksanyan, R.A. Synthesis and antiarrhythmic activity of 7-benzyl(ethyl)-1-hydroxy-4-carbamoyl-3-oxo-5,6-dihydro-8H-2,7-naphthyridines. Pharm. Chem. J. 1996, 30, 365–367. [Google Scholar] [CrossRef]
- Sirakanyan, S.N.; Hovakimyan, A.A.; Noravyan, A.S. Synthesis, transformations and biological properties of furo[2,3-b] pyridines. Russ. Chem. Rev. 2015, 84, 441–454. [Google Scholar] [CrossRef]
- Kumar, R.N.; Poornachandra, Y.; Nagender, P.; Mallareddy, G.; Kumar, N.R.; Ranjithreddy, P.; Kumar, C.G.; Narsaiah, B. Synthesis of novel trifluoromethyl substituted furo[2,3-b] pyridine and pyrido [3,2:4,5] furo[3,2-d] pyrimidine derivatives as potential anticancer agents. Eur. J. Med. Chem. 2016, 108, 68–78. [Google Scholar] [CrossRef]
- Al-Refai, M.; Ibrahim, M.M.; Al-Fawwaz, A.; Geyer, A. Synthesis and characterization of new 4-aryl-2-(2-oxopropoxy)-6-(2,5-dichlorothiophene) nicotinonitrile and their furo [2,3-b] pyridine derivatives: Assessment of antioxidant and biological activity. Eur. J. Chem. 2018, 9, 375–381. [Google Scholar] [CrossRef] [Green Version]
- Ibrahim, M.M.; Al-Refai, M.; Al-Fawwaz, A.; Ali, B.F.; Geyer, A.; Harms, K.; Marsch, M.; Kruger, M.; Osman, H.; Azmi, M.N. Synthesis of fluorescent 1-(3-Amino-4-(4-(tert-butyl)phenyl)-6-(p-tolyl)furo[2,3-b]pyridin-2-yl)ethan-1-one: Crystal structure, fluorescence behavior, antimicrobial and antioxidant studies. J. Fluorescence 2018, 28, 655–662. [Google Scholar] [CrossRef] [PubMed]
- Bhoomandla, S.; Gunda, S.K.; Kotoori, S.; Kanuparthy, P.R. Synthesis of Novel Alkyl Amide Functionalized Trifluoromethyl Substituted Furo/thieno Pyridine Derivatives: Their Anticancer Activity and CoMFA and CoMSIA Studies. J. Heterocyclic Chem. 2019, 56, 1986–1998. [Google Scholar] [CrossRef]
- Abdel-Rahman, A.-H.; Shaban, A.K.; Nassar, I.F.; El-Kady, D.S.; Ismail, N.S.; Mahmoud, S.F.; Awad, H.M.; El-Sayed, W.A. Discovery of new pyrazolopyridine, furopyridine, and pyridine derivatives as CDK2 inhibitors: Design, synthesis, docking studies, and anti-proliferative activity. Molecules 2021, 26, 3923. [Google Scholar] [CrossRef] [PubMed]
- Manaithiya, A.; Alam, O.; Sharma, V.; Naim, M.J.; Mittal, Sh; Azam, F.; Husain, A.; Sheikh, A.A.; Imran, M.; Khan, I.A. Current Status of Novel Pyridine Fused Derivatives as Anticancer Agents: An Insight into Future Perspectives and Structure Activity Relationship (SAR). Curr. Top. Med. Chem. 2021, 21, 2292–2349. [Google Scholar] [CrossRef]
- Sirakanyan, S.N.; Geronikaki, A.; Spinelli, D.; Paronikyan, R.G.; Dzhagatspanyan, I.A.; Nazaryan, I.M.; Akopyan, A.G.; Hovakimyan, A.A. Pyridofuropyrrolo[1,2-a] pyrimidines and pyridofuropyrimido[1,2-a] azepines: New chemical entities (NCE) with anticonvulsive and psychotropic properties. RSC Adv. 2016, 6, 49028–49038. [Google Scholar] [CrossRef]
- Sirakanyan, S.N.; Spinelli, D.; Geronikaki, A.; Kartsev, V.G.; Hakobyan, E.K.; Petrou, A.; Paronikyan, R.G.; Nazaryan, I.M.; Akopyan, H.H.; Hovakimyan, A.A. Synthesis and neurotropic activity of new heterocyclic systems: Pyridofuro[3,2-d]pyrrolo[1,2-a]pyrimidines, pyridofuro[3,2-d]pyrido[1,2-a]pyrimidines and pyridofuro[3′,2′:4,5]pyrimido[1,2-a]azepines. Molecules 2021, 26, 3320. [Google Scholar] [CrossRef]
- Sirakanyan, S.N.; Kartsev, V.G.; Geronikaki, A.; Spinelli, D.; Petrou, A.; Hakobyan, E.K.; Glamoclija, J.; Ivanov, M.; Sokovic, M.; Hovakimyan, A.A. Synthesis, evaluation of antimicrobial activity and molecular docking of new N-1,3-thiazol-2-ylacetamides of condensed pyrido[3',2':4,5]furo(thieno)[3,2-d]pyrimidines. Curr. Top. Med. Chem. 2020, 20, 2192–2209. [Google Scholar] [CrossRef]
- Sirakanyan, S.N.; Spinelli, D.; Geronikaki, A.; Hakobyan, E.K.; Sahakyan, H.; Arabyan, E.; Zakaryan, H.; Nersesyan, L.E.; Aharonyan, A.S.; Danielyan, I.S.; et al. Synthesis, antitumor activity, and docking analysis of new pyrido[3’,2’:4,5]furo(thieno)[3,2-d]pyrimidin-8-amines. Molecules 2019, 24, 3952. [Google Scholar] [CrossRef] [Green Version]
- Sirakanyan, S.N.; Arabyan, E.; Hakobyan, A.; Hakobyan, T.; Chilingaryan, G.; Sahakyan, H.; Sargsyan, A.; Nazaryan, K.; Izmailyan, R.; Abroyan, L.; et al. A new microtubule-stabilizing agent shows potent antiviral effects against African swine fever virus with no cytotoxicity. Emerg. Microbes Infect. 2021, 10, 783–796. [Google Scholar] [CrossRef]
- Holden, C.M.; Greaney, M.F. Modern aspects of the Smiles rearrangement. Chem. Eur. J. 2017, 23, 8992–9008. [Google Scholar] [CrossRef]
- Sephton, T.; Large, J.M.; Butterworth, S.; Greaney, M.F. Diarylamine synthesis via desulfinylative Smiles rearrangement. Org. Lett. 2022, 24, 1132–1135. [Google Scholar] [CrossRef]
- Ramazani, A.; Moradnia, F.; Aghahosseini, H.; Abdolmaleki, I. Several species of nucleophiles in the Smiles rearrangement. Curr. Org. Chem. 2017, 21, 1612–1625. [Google Scholar] [CrossRef]
- Boschi, D.; Sorba, G.; Bertinaria, M.; Fruttero, R.; Calvino, R.; Casco, A. Unsymmetrically substituted furoxans. Part 18. Smiles rearrangement in furoxan systems and in related furazans. J. Chem. Soc. Perkin Trans. 1 2001, 15, 1751–1757. [Google Scholar] [CrossRef]
- Paronikyan, E.G.; Noravyan, A.S.; Dashyan, S.; Tamazyan, R.A.; Aivazyan, A.G.; Panosyan, G.A. Synthesis of condensed 3-cyanopyridin-2(1H)-ones based on the Smiles rearrangement. Chem. Heterocycl. Compd. 2013, 49, 1151–1157. [Google Scholar] [CrossRef]
- Li, J.J. Smiles rearrangement. Name Reactions, A Collection on Detailed Reaction Mechanisms and Synthetic Applications, 4th ed.; Springer: Berlin/Heidelberg, Germany, 2009; pp. 511–512. [Google Scholar] [CrossRef]
- Sako, M.; Totani, R.; Hirota, K.; Maki, Y. New and facile synthesis of 5,6,7,8-tetrahydro-5-deaza-5-thiapterins via the aliphatic S-N type Smiles rearrangement. Chem. Pharm. Bull. 1994, 42, 806–810. [Google Scholar] [CrossRef] [Green Version]
- Ma, Ch.; Zhang, Q.; Ding, K.; Xin, L.; Zhang, D. A novel DBU-promoted S-N-type Smiles rearrangement reaction under controlled microwave heating. Tet. Lett. 2007, 48, 7476–7479. [Google Scholar] [CrossRef]
- Li, J.; Wang, L. Elucidation of the mechanism for the S-N-type Smiles rearrangement on pyridine rings. Aust. J. Chem. 2009, 62, 176–180. [Google Scholar] [CrossRef]
- Zao, H.; Li, Zh.; Ren, F.; Falck, J.R.; Lijuan, M.; Ahn, Ch.; Shin, D. Microwave-assisted one-pot synthesis of benzo[b][1,4]thiazin-3(4H)-ones via Smiles rearrangement. Tetrahedron 2008, 64, 9669–9674. [Google Scholar] [CrossRef]
- Sirakanyan, S.N.; Spinelli, D.; Geronikaki, A.; Hovakimyan, A.A.; Noravyan, A.S. On the reaction of 2-[(4-cyano-5,6,7,8-tetrahydroisoquinolin-3-yl)oxy]acetamides with bases: 1-amino-6,7,8,9-tetrahydrofuro[2,3-c]isoquinoline-2-carboxamides and 3-amino-4-cyano-5,6,7,8-tetrahydroiso-quinolines via a Smiles-type rearrangement. Tetrahedron 2015, 71, 3263–3272. [Google Scholar] [CrossRef]
Publisher’s Note: MDPI stays neutral with regard to jurisdictional claims in published maps and institutional affiliations. |
© 2022 by the authors. Licensee MDPI, Basel, Switzerland. This article is an open access article distributed under the terms and conditions of the Creative Commons Attribution (CC BY) license (https://creativecommons.org/licenses/by/4.0/).















