Study on the Preparation of Estrone Molecularly Imprinted Polymers and Their Application in a Quartz Crystal Microbalance Sensor via a Computer-Assisted Design
Abstract
:1. Introduction
2. Results and Discussion
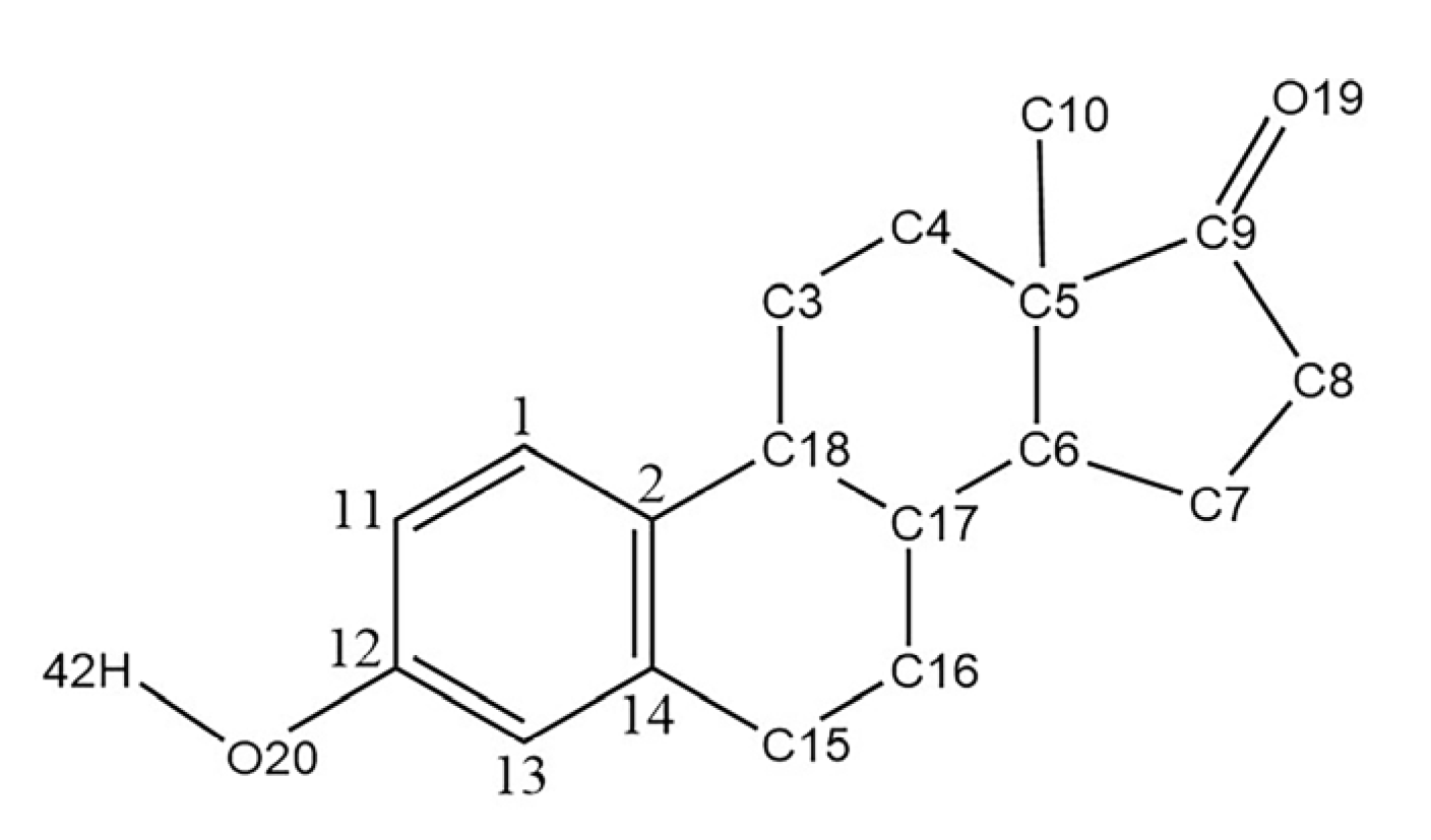
2.1. Selection of Calculation Methods
2.2. Selection of Calculation Methods
2.3. Optimization of the Molar Ratio between E1 and IA
2.4. Screening of Cross-Linker Agent
2.5. Selection of Solvents
2.6. The Nature of Imprinting Interaction
2.7. Response Characteristics of QCM Sensors
2.8. Selectivity of QCM Sensors
3. Materials and Methods
3.1. Materials and Instruments
3.2. Calculation Method
3.3. Study on the Nature of Imprinted Polymerization
3.4. Preparation of E1-MIPs and NIPs
3.5. Characterization of E1-MIPs and NIPs by Scanning Electron Microscopy
3.6. Electrode Pretreatment
3.7. Construction of Molecularly Imprinted QCM Electrodes
3.8. Response Characteristics of the QCM Sensors
3.9. The Selectivity of QCM Sensor to E1
4. Conclusions
Author Contributions
Funding
Institutional Review Board Statement
Informed Consent Statement
Data Availability Statement
Conflicts of Interest
Abbreviations
| AIBN | Azobisisobutyronitrile |
| AIM | Atoms in molecules |
| AM | Acrylamide |
| BCP | Bond Critical Point |
| BSSE | Basis Set Superposition Error |
| CA | Cross-linker Agent |
| CP | counterpoise procedure |
| DES | Diethylstilbestrol |
| DFT | Density functional theory |
| E1 | Estrone |
| E1-MIPs | Estrone Molecularly Imprinted Polymers |
| E3 | Estriol |
| EDMA | Ethylene Dimethacrylate |
| IA | Itaconic Acid |
| MAA | Methacrylic Acid |
| MEP | Molecular Electrostatic Potential |
| MIT | Molecular Imprinting Technology |
| MT | Methanol |
| NBO | Natural Bonding Orbital |
| NIPs | Non-imprinted Polymers |
| PCM | Polarizable Continuum Model |
| PETA | Pentaerythritol Triacrylate |
| QCM | Quartz Crystal Microbalance |
| SCRF | Self-consistent Reaction Field |
| SEM | Scanning Electron Microscope |
| THF | Tetrahydrofuran |
| TL | Methylbenzene |
| TRIM | Trimethylolpropane Trimethacrylate |
References
- Patel, S.; Homaei, A.; Raju, A.B.; Meher, B.R. Estrogen: The necessary evil for human health, and ways to tame it. Biomed. Pharmacother. 2018, 102, 403–411. [Google Scholar] [CrossRef] [PubMed]
- Nisio, D.A.; Foresta, C. Water and soil pollution as determinant of water and food quality contamination and its impact on male fertility. Reprod. Biol. Endocrin. 2019, 17, 4. [Google Scholar] [CrossRef] [PubMed]
- Louros, V.L.; Lima, D.L.D.; Leitão, J.H.; Esteves, V.I.; Nadais, H.G. Determination of estrone and 17α-ethinylestradiol in digested sludge by ultrasonic liquid extraction and high-performance liquid chromatography with fluorescence detection. J. Sep. Sci. 2019, 42, 1585–1592. [Google Scholar] [CrossRef] [PubMed]
- Dufour, P.; Courtois, J.; Seynaeve, Y.; Peeters, S.; Goff, L.C.; Cavalier, E.; Ponthier, J. Development and validation of a liquid chromatography coupled to mass spectrometer (LC-MS) method for the simultaneous quantification of estrone-3-sulfate, progesterone, estrone and estradiol in serum of mares and American bisons. Res. Vet. Sci. 2021, 136, 343–350. [Google Scholar] [CrossRef] [PubMed]
- Wu, M.H.; Miao, E.M.; Xu, W.X.; Xu, W.P. Determination of estrogens by solid-phase quadruplex stable isotope dansylation coupled with liquid chromatography-high resolution mass spectrometry in environmental samples. Talanta 2020, 219, 121272. [Google Scholar] [CrossRef] [PubMed]
- Bashir, K.; Guo, P.Q.; Chen, G.N.; Li, Y.Z.; Ge, Y.H. Synthesis, characterization, and application of griseofulvin surface molecularly imprinted polymers as the selective solid phase extraction sorbent in rat plasma samples. Arab. J. Chem. 2020, 13, 4082–4091. [Google Scholar] [CrossRef]
- Vlatakis, G.; Andersson, L.I.; Müller, R. Drug assay using antibody mimics made by molecular imprinting. Nature 1993, 361, 645–647. [Google Scholar] [CrossRef]
- Ai, J.B.; Guo, H.; Xue, R.; Wang, X.; Lei, X.; Yang, W. A self-probing, gate-controlled, molecularly imprinted electrochemical sensor for ultrasensitive determination of p-nonylphenol. Electrochem. Commun. 2018, 89, 1–5. [Google Scholar] [CrossRef]
- Ozcelikay, G.; Kurbanoglu, S.; Zhang, X.R.; Soz, C.K.; Wollenberger, U.; Ozkan, S.A.; Yarman, A.; Scheller, F.W. Electrochemical MIP sensor for butyrylcholinesterase. Polymers 2019, 11, 1970. [Google Scholar] [CrossRef] [Green Version]
- Wu, Y.; Zhang, W.P.; Chen, Y.; Chen, Z.L. Electroosmotic pump-supported molecularly imprinted monolithic column for capillary chromatographic separation of nitrophenol isomers. Electrophoresis 2015, 36, 2881–2887. [Google Scholar] [CrossRef]
- Núñez, O.; Gallart-Ayala, H.; Martins, C.P.B.; Lucci, P. New trends in fast liquid chromatography for food and environmental analysis. J. Chromatogr. A 2012, 1228, 298–323. [Google Scholar] [CrossRef] [Green Version]
- Zhu, G.F.; Cheng, G.H.; Wang, P.Y.; Li, W.W.; Wang, Y.C.; Fan, J. Water compatible imprinted polymer prepared in water for selective solid phase extraction and determination of ciprofloxacin in real samples. Talanta 2019, 200, 307–315. [Google Scholar] [CrossRef]
- da Silva, W.A.; Feiteira, F.N.; Francisco, J.E.; Toloza, C.A.T.; Aucélio, R.Q.; Pacheco, W.F. Pre-concentration of rosuvastatin using solid-phase extraction in a molecularly imprinted polymer and analytical application in water supply. Environ. Sci. Pollut. R 2020, 27, 11724–11735. [Google Scholar] [CrossRef]
- Liang, D.D.; Wang, Y.; Li, S.Y.; Li, Y.Q.; Zhang, M.L.; Li, Y.; Tian, W.S.; Liu, J.B.; Tang, S.S.; Li, B.; et al. Study on dicyandiamide-imprinted polymers with computer-aided design. Int. J. Mol. Sci. 2016, 17, 1750. [Google Scholar] [CrossRef] [Green Version]
- Marć, M.; Kupka, T.; Wieczorek, P.P.; Namieśnik, J. Computational modeling of molecularly imprinted polymers as a green approach to the development of novel analytical sorbents. Trends Environ. Anal. 2018, 98, 64–78. [Google Scholar] [CrossRef]
- Rohani, F.G.; Mohadesi, A.; Ansari, M. A new diosgenin sensor based on molecularly imprinted polymer of para aminobenzoic acid selected by computer-aided design. J. Pharmaceut. Biomed. 2019, 174, 552–560. [Google Scholar] [CrossRef]
- Azimi, A.; Javanbakht, M. Computational prediction and experimental selectivity coefficients for hydroxyzine and cetirizine molecularly imprinted polymer based potentiometric sensors. Anal. Chim. Acta 2014, 812, 184–190. [Google Scholar] [CrossRef]
- Soliman, S.M.; Zaid, M.M. Applicability of NBO and AIM topology analyses to chemical bonding in some diacetylplatinum (II) complexes. Asian J. Chem. 2019, 31, 925–937. [Google Scholar] [CrossRef]
- Wang, X.; Huang, P.; Ma, X.; Du, X.; Lu, X. Enhanced in-out-tube solid-phase microextraction by molecularly imprinted polymers-coated capillary followed by HPLC for endocrine disrupting chemicals analysis. Talanta 2018, 194, 7–13. [Google Scholar] [CrossRef]
- Wang, S.; Xu, Z.X.; Fang, G.Z.; Zhang, Y.; He, J.X. Separation and determination of estrone in environmental and drinking water using molecularly imprinted solid phase extraction coupled with HPLC. J. Sep. Sci. 2008, 31, 1181–1188. [Google Scholar] [CrossRef]
- Zhurova, E.A.; Matta, C.F.; Wu, N.; Zhurov, V.V.; Pinkerton, A.A. Experimental and theoretical electron density study of estrone. J. Am. Chem. Soc. 2006, 128, 8849–8861. [Google Scholar] [CrossRef]
- Zhang, B.C.; Fan, X.; Zhao, D.Y. Computer-aided design of molecularly imprinted polymers for simultaneous detection of clenbuterol and its metabolites. Polymers 2019, 11, 17. [Google Scholar] [CrossRef] [Green Version]
- Khan, M.S.; Pal, S.; Krupadam, R.J. Computational strategies for understanding the nature of interaction in dioxin imprinted nanoporous trappers. J. Mol. Recognit. 2015, 28, 427–437. [Google Scholar] [CrossRef]
- Bader, R.F. A quantum theory of molecular structure and its applications. Chem. Rev. 1991, 91, 893–928. [Google Scholar] [CrossRef]
- Rozas, I.; Alkorta, I.; Elguero, J. Field effects on dihydrogen bonded systems. Phys. Chem. Lett. 1997, 275, 423–428. [Google Scholar] [CrossRef]
- Wang, W.Z.; Yu, T.; Gong, W.X.; Xiao, Q.; Wen, Z.Y.; Zhang, J.L.; Huang, Z.Y. Properties of AZO film prepared by Sol-Gel in liquid crystal lens with modal control. Chin. J. Liq. Crys. Disp. 2020, 35, 1006–1011. [Google Scholar] [CrossRef]
- Yao, C.Y.; Zhao, N.; Liu, J.M.; Fang, G.Z.; Wang, S. Ultra-stable UiO-66 involved molecularly imprinted polymers for specific and sensitive determination of tyramine based on quartz crystal microbalance technology. Polymers 2020, 12, 281. [Google Scholar] [CrossRef] [Green Version]
- Frisch, M.J.; Trucks, G.W.; Schlegel, H.B.; Scuseria, G.E.; Robb, M.A.; Cheeseman, J.R.; Scalmani, G.; Barone, V.; Mennucci, B.; Petersson, G.A.; et al. Gaussian 09, Revision A.02; Gaussian Inc.: Pittsburgh, PA, USA, 2009. [Google Scholar]
- Aqababa, H.; Tabandeh, M.; Tabatabaei, M.; Hasheminej, M. Computer-assisted design and synthesis of a highly selective smart adsorbent for extraction of clonazepam from human serum. Mat. Sci. Eng. C 2013, 33, 189–195. [Google Scholar] [CrossRef]








| Species | B3LYP | CAM-B3LYP | LC-WPBE | M062X | PBE0 | ωB97XD | Exp. | ||||||
|---|---|---|---|---|---|---|---|---|---|---|---|---|---|
| I | II | I | II | I | II | I | II | I | II | I | II | ||
| R (nm) | |||||||||||||
| C9-O19 | 0.1207 | 0.1212 | 0.1203 | 0.1207 | 0.1202 | 0.1207 | 0.1201 | 0.1206 | 0.1217 | 0.1222 | 0.1203 | 0.1208 | 0.1200 |
| C8-C9 | 0.1539 | 0.1542 | 0.1530 | 0.1534 | 0.1525 | 0.1529 | 0.1535 | 0.1537 | 0.1541 | 0.1546 | 0.1533 | 0.1536 | 0.1541 |
| C7-C8 | 0.1546 | 0.1547 | 0.1540 | 0.1541 | 0.1534 | 0.1536 | 0.1542 | 0.1543 | 0.1546 | 0.1547 | 0.1540 | 0.1542 | 0.1620 |
| C5-C10 | 0.1552 | 0.1552 | 0.1543 | 0.1544 | 0.1536 | 0.1537 | 0.1544 | 0.1543 | 0.1552 | 0.1553 | 0.1545 | 0.1546 | 0.1550 |
| C6-C7 | 0.1539 | 0.1543 | 0.1534 | 0.1536 | 0.1529 | 0.1531 | 0.1536 | 0.1536 | 0.1542 | 0.1544 | 0.1534 | 0.1536 | 0.1488 |
| C12-O20 | 0.1371 | 0.1368 | 0.1365 | 0.1362 | 0.1361 | 0.1359 | 0.1363 | 0.1361 | 0.1375 | 0.1372 | 0.1362 | 0.1360 | 0.1388 |
| C12-C11 | 0.1393 | 0.1397 | 0.1388 | 0.1391 | 0.1386 | 0.1390 | 0.1391 | 0.1394 | 0.1400 | 0.1404 | 0.1390 | 0.1393 | 0.1426 |
| C14-C13 | 0.1400 | 0.1401 | 0.1395 | 0.1395 | 0.1392 | 0.1394 | 0.1397 | 0.1397 | 0.1413 | 0.1407 | 0.1396 | 0.1397 | 0.1426 |
| Φ (°) | |||||||||||||
| C5-C6-C7 | 104.33 | 104.33 | 104.31 | 104.32 | 104.28 | 104.32 | 104.36 | 104.38 | 104.31 | 104.32 | 104.43 | 104.44 | 104.09 |
| C7-C8-C9 | 105.99 | 105.87 | 105.74 | 105.77 | 105.86 | 105.78 | 105.75 | 105.67 | 106.12 | 105.99 | 105.90 | 105.82 | 101.53 |
| C11-C12-C13 | 119.45 | 119.33 | 119.49 | 119.38 | 119.42 | 119.30 | 119.52 | 119.42 | 119.39 | 119.25 | 119.42 | 119.32 | 122.32 |
| C14-C13-C12 | 121.32 | 121.36 | 121.26 | 121.30 | 121.19 | 121.28 | 121.20 | 121.23 | 121.38 | 121.42 | 121.27 | 121.29 | 118.93 |
| C2-C1-C11 | 122.53 | 122.53 | 122.49 | 122.49 | 122.53 | 122.54 | 122.39 | 122.39 | 122.58 | 122.58 | 122.47 | 122.47 | 124.16 |
| C5-C4-C3 | 110.95 | 110.95 | 110.75 | 110.77 | 110.52 | 110.60 | 110.42 | 110.44 | 110.81 | 110.83 | 110.56 | 110.59 | 109.38 |
| C5-C6-C17 | 112.34 | 112.32 | 112.24 | 112.22 | 112.09 | 112.09 | 111.95 | 111.94 | 112.25 | 112.24 | 112.14 | 112.11 | 111.34 |
| Imprinted Ratios between E1 and IA | Actions Sites | Bond Length (nm) | Amount of Hydrogen Bonds | ΔE1 (kJ/mol) |
|---|---|---|---|---|
| 1:1 | O49—H50---O20 | 0.1838 | 2 | −31.73 |
| C11—H33---O48 | 0.2396 | |||
| 1:2 | C10—H32---O48 | 0.2422 | 5 | −76.24 |
| C4—H39---O48 | 0.2539 | |||
| O49—H50---O19 | 0.1761 | |||
| C11—H33---O70 | 0.2393 | |||
| O71—H72---O20 | 0.1848 | |||
| 1:3 | C10—H32---O48 | 0.2421 | 7 | −114.52 |
| C4—H39---O48 | 0.2551 | |||
| O49—H50---O19 | 0.1802 | |||
| C11—H33---O70 | 0.2355 | |||
| O71—H72---O20 | 0.1858 | |||
| C8—H21---O78 | 0.2319 | |||
| O79—H80---O19 | 0.1796 | |||
| 1:4 | C10—H32---O48 | 0.2455 | 8 | −141.55 |
| C4—H39---O48 | 0.2552 | |||
| O49—H50---O19 | 0.1801 | |||
| C8—H21---O78 | 0.2312 | |||
| O79—H80---O19 | 0.1792 | |||
| O20—H42---O63 | 0.1927 | |||
| O64—H65---O20 | 0.1880 | |||
| C7—H28---O93 | 0.2563 |
| Solvent | Hydrogen Bond Length (nm) | ΔE3 (kJ/mol) |
|---|---|---|
| C11—H33---O48 | ||
| H2O | 0.2447 | −59.37 |
| ACN | 0.2447 | −57.82 |
| MT | 0.2447 | −54.92 |
| THF | 0.2435 | −48.02 |
| TL | 0.2412 | −28.33 |
| Solvent | Solubility of Reaction Components | Adsorption Capacity of MIPs (mg/L) |
|---|---|---|
| H2O | Insoluble | — |
| ACN | Easily soluble | 2.02 |
| MT | Easily soluble | 2.58 |
| THF | Slightly soluble | — |
| TL | Insoluble | — |
| Molar Ratios | Actions Sites | Hydrogen Bond Length (nm) | ρ(r)bcp (a.u.) | ▽2ρ(r)bcp (a.u.) | EH (kJ/mol) |
|---|---|---|---|---|---|
| 1:1 | O49—H50---O20 | 0.1838 | 0.0304 | 0.1229 | −35.58 |
| C11—H33---O48 | 0.2396 | 0.0105 | 0.0353 | −8.27 |
Publisher’s Note: MDPI stays neutral with regard to jurisdictional claims in published maps and institutional affiliations. |
© 2022 by the authors. Licensee MDPI, Basel, Switzerland. This article is an open access article distributed under the terms and conditions of the Creative Commons Attribution (CC BY) license (https://creativecommons.org/licenses/by/4.0/).
Share and Cite
Liu, J.; Cai, X.; Liu, J.; Liang, D.; Chen, K.; Tang, S.; Xu, B. Study on the Preparation of Estrone Molecularly Imprinted Polymers and Their Application in a Quartz Crystal Microbalance Sensor via a Computer-Assisted Design. Int. J. Mol. Sci. 2022, 23, 5758. https://doi.org/10.3390/ijms23105758
Liu J, Cai X, Liu J, Liang D, Chen K, Tang S, Xu B. Study on the Preparation of Estrone Molecularly Imprinted Polymers and Their Application in a Quartz Crystal Microbalance Sensor via a Computer-Assisted Design. International Journal of Molecular Sciences. 2022; 23(10):5758. https://doi.org/10.3390/ijms23105758
Chicago/Turabian StyleLiu, Jin, Xuhong Cai, Junbo Liu, Dadong Liang, Kaiyin Chen, Shanshan Tang, and Bao Xu. 2022. "Study on the Preparation of Estrone Molecularly Imprinted Polymers and Their Application in a Quartz Crystal Microbalance Sensor via a Computer-Assisted Design" International Journal of Molecular Sciences 23, no. 10: 5758. https://doi.org/10.3390/ijms23105758
APA StyleLiu, J., Cai, X., Liu, J., Liang, D., Chen, K., Tang, S., & Xu, B. (2022). Study on the Preparation of Estrone Molecularly Imprinted Polymers and Their Application in a Quartz Crystal Microbalance Sensor via a Computer-Assisted Design. International Journal of Molecular Sciences, 23(10), 5758. https://doi.org/10.3390/ijms23105758

