Pyridine Compounds with Antimicrobial and Antiviral Activities
Abstract
:1. Introduction
2. Synthesis of Antimicrobial Compounds Containing Only Pyridine Ring
3. Synthesis of Antimicrobial Pyridine Salts
4. Synthesis of Antimicrobial Pyridine Compounds Containing a Five-Membered Ring with One or Two Heteroatoms
5. Synthesis of Antimicrobial Pyridine Compounds Containing a Five-Membered Ring with Three Heteroatoms
6. Synthesis of Antimicrobial Pyridine Compounds Containing a Six-Membered Ring with One, Two, or Three Heteroatoms or Macrocycles
7. Synthesis of Antimicrobial Macrocyclic Pyridine Compounds
8. Synthesis of Fused Pyridines with Other Heterocycles with Antimicrobial Properties
9. Synthesis of Pyridine Compounds Containing P, Se, and B with Antimicrobial Properties
10. Synthesis of Antitubercular Pyridine Compounds
11. Synthesis of Antiviral Pyridine Compounds
12. Conclusions
- -
- a favorable binding interaction with Thymidylate kinase (ID: 4QG), within the binding pocket of TMPK, determines a good antimicrobial activity of bis (1H-indol-3-yl)-pyridine 78d, against S. aureus, E. coli, and C. albicans strains;
- -
- affinity and activity of thiophene-pyridines 82–84 on the target protein GlcN-6-P synthase is supported by in vitro antimicrobial screenings against almost all tested strains, S. aureus, B. subtilis, E. coli, S. typhimurium, A. flavus, and C. albicans;
- -
- The good antimicrobial activity of triazino-oxacalixarenes 150 and 151 against E. coli is due to a good covalent interaction with acyl enzyme PDB: 1PW8;
- -
- 3D interaction of selenium compound 210c with 1kzn protein, the lower hydrophobicity, higher topological polar surface area, lower dipole moment, high H-bonding acceptor and donor, and in-silico absorption percentage of it explicates its highest antimicrobial activity against all tested strains, S. aureus, S. pyogenes, E. coli, P. aeruginosa, as well as a good antifungal agent, against C. albicans, A. niger, and A. clavatus;
- -
- 3D QSAR, molecular docking modeling showed that pyridine-N-oxide 223 shows an excellent stability to inhibit the main protease 3CLpro of CoV-2 and also has excellent bioavailability and no toxicity results;
- -
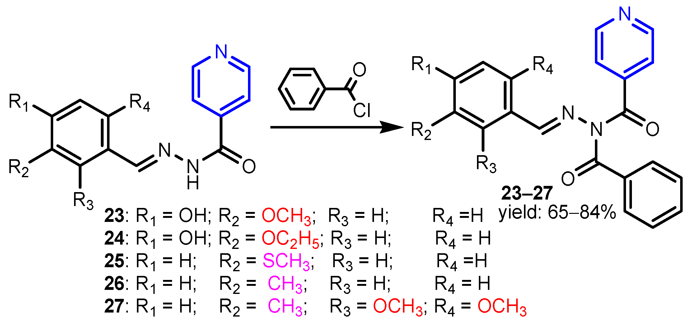
- the excellent antiviral activity of compound 227 (EC50∼2.2 μM) against SARS-CoV-2 3CLpro comparable to antiviral medicine Remdesivir is due to binding of the compound to SARS-CoV 3CLpro and SARS-CoV-2 3CLpro enzymes, which revealed that catalytic Cys145 formed a covalent bond with the indole carbonyl group, and also indole rings of inhibitor formed π−π stacking interactions with the imidazole ring of His41. It is once again confirmed that the cleavage of SARS-CoV-2 polyproteins by 3CLpro (3-Chymotrypsin-like protease) is facilitated by a Cys145–His41 catalytic dyad [105].
Author Contributions
Funding
Institutional Review Board Statement
Informed Consent Statement
Data Availability Statement
Acknowledgments
Conflicts of Interest
References
- Altaf, A.A.; Shahza, A.; Gul, Z.; Rasool, N.; Badshah, A.; Lal, B.; Khan, E. A Review on the Medicinal Importance of Pyridine Derivatives. J. Drug Des. Med. Chem. 2015, 1, 1–11. [Google Scholar] [CrossRef]
- Hantzsch, A. Condensations produkte aus Aldehydammoniak und ketonartigen Verbindungen. Ber. Dtsch. Chem. Ges. 1881, 14, 1637–1638. [Google Scholar] [CrossRef] [Green Version]
- Marinescu, M. Biginelli Reaction Mediated Synthesis of Antimicrobial Pyrimidine Derivatives and Their Therapeutic Properties. Molecules 2021, 26, 6022. [Google Scholar] [CrossRef] [PubMed]
- Kazachenko, A.S.; Akman, F.; Vasilieva, N.Y.; Issaoui, N.; Malyar, Y.N.; Kondrasenko, A.A.; Borovkova, V.S.; Miroshnikova, A.V.; Kazachenko, A.S.; Al-Dossary, O.; et al. Catalytic Sulfation of Betulin with Sulfamic Acid: Experiment and DFT Calculation. Int. J. Mol. Sci. 2022, 23, 1602. [Google Scholar] [CrossRef]
- McCullough, J.P.; Douslin, D.R.; Messerly, J.F.; Hossenlopp, I.A.; Kincheloe, T.C.; Waddington, G. Pyridine: Experimental and Calculated Chemical Thermodynamic Properties between 0 and 1500°K.; a Revised Vibrational Assignment 1. J. Am. Chem. Soc. 1957, 79, 4289–4295. [Google Scholar] [CrossRef]
- Gero, A.; Markham, J.J. Studies on Pyridines: I. The Basicity of Pyridine Bases. J. Org. Chem. 1951, 16, 1835–1838. [Google Scholar] [CrossRef]
- Andreev, V.P.; Sobolev, P.S.; Zaitsev, D.O.; Timofeeva, S.M. Effect of the Solvent on the Coordination of Pyridine Derivatives with Zn Tetraphenylporphine. Russ. J. Gen. Chem. 2018, 88, 2108–2113. [Google Scholar] [CrossRef]
- Walczak, A.; Kurpik, G.; Stefankiewicz, A.R. Intrinsic Effect of Pyridine-N-Position on Structural Properties of Cu-Based Low-Dimensional Coordination Frameworks. Int. J. Mol. Sci. 2020, 21, 6171. [Google Scholar] [CrossRef]
- Hamada, Y. Role of Pyridines in Medicinal Chemistry and Design of BACE1 Inhibitors Possessing a Pyridine Scaffold. In Pyridine; Pandey, P.P., Ed.; IntechOpen: London, UK, 2018; pp. 10–29. [Google Scholar] [CrossRef] [Green Version]
- Ling, Y.; Hao, Z.-Y.; Liang, D.; Zhang, C.L.; Liu, Y.F.; Wang, Y. The Expanding Role of Pyridine and Dihydropyridine Scaffolds in Drug Design. Drug Des. Devel. Ther. 2021, 15, 4289–4338. [Google Scholar] [CrossRef]
- Zalaru, C.; Dumitrascu, F.; Draghici, C.; Tarcomnicu, I.; Tatia, R.; Moldovan, L.; Chifiriuc, M.C.; Lazar, V.; Marinescu, M.; Nitulescu, M.G.; et al. Synthesis, spectroscopic characterization, DFT study and antimicrobial activity of novel alkylaminopyrazole derivatives. J. Mol. Struct. 2018, 1156, 12–21. [Google Scholar] [CrossRef]
- Marinescu, M.; Cinteza, L.O.; Marton, G.I.; Chifiriuc, M.C.; Popa, M.; Stanculescu, I.; Zalaru, C.M.; Stavarache, C.E. Synthesis, density functional theory study and in vitro antimicrobial evaluation of new benzimidazole Mannich bases. BMC Chem. 2020, 14, 45. [Google Scholar] [CrossRef] [PubMed]
- Marinescu, M. Synthesis of Antimicrobial Benzimidazole–Pyrazole Compounds and Their Biological Activities. Antibiotics 2021, 10, 1002. [Google Scholar] [CrossRef] [PubMed]
- Sarova, D.; Kapoor, A.; Narang, R.; Judge, V.; Narasimhan, B. Dodecanoic acid derivatives: Synthesis, antimicrobial evaluation and development of one-target and multi-target QSAR models. Med. Chem. Res. 2011, 20, 769–781. [Google Scholar] [CrossRef]
- Narang, R.; Narasimhan, B.; Sharma, S.; Sriram, D.; Yogeeswari, P.; De Clercq, E.; Pannecouque, C.; Balzarini, J. Synthesis, antimycobacterial, antiviral, antimicrobial activities, and QSAR studies of nicotinic acid benzylidene hydrazide derivatives. Med. Chem. Res. 2012, 21, 1557–1576. [Google Scholar] [CrossRef]
- Malhotra, M.; Sharma, S.; Deep, A. Synthesis, characterization and antimicrobial evaluation of novel derivatives of isoniazid. Med. Chem. Res. 2012, 21, 1237–1244. [Google Scholar] [CrossRef]
- Judge, V.; Narasimhan, B.; Ahuja, M.; Sriram, D.; Yogeeswari, P.; De Clercq, E.; Pannecouque, C.; Balzarini, J. Synthesis, antimycobacterial, antiviral, antimicrobial activities, and QSAR studies of isonicotinic acid-1-(substituted phenyl)-ethylidene/cycloheptylidene hydrazides. Med. Chem. Res. 2012, 21, 1935–1952. [Google Scholar] [CrossRef]
- Judge, V.; Narasimhan, B.; Ahuja, M.; Sriram, D.; Yogeeswari, P.; De Clercq, E.; Pannecouque, C.; Balzarini, J. Isonicotinic acid hydrazide derivatives: Synthesis, antimicrobial activity, and QSAR studies. Med. Chem. Res. 2012, 21, 1451–1470. [Google Scholar] [CrossRef]
- Eldeab, H.A. Green Synthetic Approach and Antimicrobial Evaluation for Some Novel Pyridyl Benzoate Derivatives. Russ. J. Org. Chem. 2019, 55, 1034–1040. [Google Scholar] [CrossRef]
- Karunanidhi, A.; Ghaznavi-Rad, E.; Jeevajothi Nathan, J.; Joseph, N.; Chigurupati, S.; Mohd Fauzi, F.; Pichika, M.R.; Hamat, R.A.; Lung, L.T.T.; van Belkum, A.; et al. Bioactive 2-(Methyldithio)Pyridine-3-Carbonitrile from Persian Shallot (Allium stipitatum Regel.) Exerts Broad-Spectrum Antimicrobial Activity. Molecules 2019, 24, 1003. [Google Scholar] [CrossRef] [Green Version]
- Özgeriş, B. Synthesis of Substituted Phenethylamine-Based Thioureas and Their Antimicrobial and Antioxidant Properties. Russ. J. Org. Chem. 2021, 57, 422–429. [Google Scholar] [CrossRef]
- Ragab, A.; Fouad, S.A.; Ali, O.A.A.; Ahmed, E.M.; Ali, A.M.; Askar, A.A.; Ammar, Y.A. Sulfaguanidine Hybrid with Some New Pyridine-2-One Derivatives: Design, Synthesis, and Antimicrobial Activity against Multidrug-Resistant Bacteria as Dual DNA Gyrase and DHFR Inhibitors. Antibiotics 2021, 10, 162. [Google Scholar] [CrossRef] [PubMed]
- Potmischil, F.; Deleanu, C.; Marinescu, M.; Gheorghiu, M.D. Hydroacridines: Part 23†. 1H and 13C NMR spectra of sym-octahydroacridine, its 9-(3-pyridyl) and 9-(4-pyridyl) derivatives and the corresponding N(10)-oxides. An experimental approach to the diamagnetic anisotropy of the pyridine nucleus. Magn. Reson. Chem. 2002, 40, 237–240. [Google Scholar] [CrossRef]
- Potmischil, F.; Marinescu, M.; Loloiu, T. Hydroacridines. XXVIII. Syntheses of New 9-Substituted 1,2,3,4,5,6,7,8-Octahydroacridine Derivatives and their N(10)-Oxides. Rev. Chim. 2007, 58, 795–798. (In Bucuresti) [Google Scholar]
- Potmischil, F.; Marinescu, M.; Nicolescu, A.; Deleanu, C.; Hillebrand, M. Hydroacridines: Part 29. 15N NMR chemical shifts of 9-substituted 1,2,3,4,5,6,7,8-octahydroacridines and their N-oxides—Taft, Swain–Lupton, and other types of linear correlations. N-oxides. Magn. Reson. Chem. 2008, 46, 1141–1147. [Google Scholar] [CrossRef] [PubMed]
- Potmischil, F.; Marinescu, M.; Nicolescu, A.; Deleanu, C. Hydroacridines: Part 30. 1H and 13CNMR spectra of 9-substituted 1,2,3,4,5,6,7,8-octahydroacridines and of their N-oxides. Magn. Reson. Chem. 2009, 47, 1031–1035. [Google Scholar] [CrossRef]
- Marinescu, M.; Cinteza, L.O.; Marton, G.I.; Marutescu, L.G.; Chifiriuc, M.C.; Constantinescu, C. Density functional theory molecular modeling and antimicrobial behaviour of selected 1,2,3,4,5,6,7,8-octahydroacridine-N(10)-oxides. J. Mol. Struct. 2017, 1144, 14–23. [Google Scholar] [CrossRef]
- Ion, V.; Matei, A.; Constantinescu, C.; Mitu, B.; Ionita, I.; Marinescu, M.; Dinescu, M.; Emandi, A. Octahydroacridine thin films grown by matrix-assisted pulsed laser evaporation for non linear optical applications. Mater. Sci. Semicon. Process. 2015, 36, 78–83. [Google Scholar] [CrossRef]
- Furdui, B.; Parfene, G.; Ghinea, I.O.; Dinica, R.M.; Bahrim, G.; Demeunynck, M. Synthesis and in Vitro Antimicrobial Evaluation of New N-Heterocyclic Diquaternary Pyridinium Compounds. Molecules 2014, 19, 11572–11585. [Google Scholar] [CrossRef] [Green Version]
- Marek, J.; Malinak, D.; Dolezal, R.; Soukup, O.; Pasdiorova, M.; Dolezal, M.; Kuca, K. Synthesis and Disinfection Effect of the Pyridine-4-aldoxime Based Salts. Molecules 2015, 20, 3681–3696. [Google Scholar] [CrossRef]
- Brycki, B.; Małecka, I.; Koziróg, A.; Otlewska, A. Synthesis, Structure and Antimicrobial Properties of Novel Benzalkonium Chloride Analogues with Pyridine Rings. Molecules 2017, 22, 130. [Google Scholar] [CrossRef]
- Wang, P.; Gao, M.; Zhou, L.; Wu, Z.; Hu, D.; Hu, J.; Yang, S. Synthesis and antibacterial activity of pyridinium-tailored aromatic amphiphiles. Bioorg. Med. Chem. Lett. 2016, 26, 1136–1139. [Google Scholar] [CrossRef] [PubMed]
- Ali, I.; Burki, S.; El-Haj, B.M.; Shafiullah; Parveen, S.; Nadeem, H.S.; Nadeem, S.; Shah, M.R. Synthesis and characterization of pyridine-based organic salts: Their antibacterial, antibiofilm and wound healing activities. Bioorg. Chem. 2020, 100, 103937. [Google Scholar] [CrossRef] [PubMed]
- Soukup, O.; Benkova, M.; Dolezal, R.; Sleha, R.; Malinak, D.; Salajkova, S.; Markova, A.; Hympanova, M.; Prchal, L.; Ryskova, L.; et al. The wide-spectrum antimicrobial effect of novel N-alkyl monoquaternary ammonium salts and their mixtures; the QSAR study against bacteria. Eur. J. Med. Chem. 2020, 206, 112584. [Google Scholar] [CrossRef] [PubMed]
- Anwar, A.; Khalid, S.; Perveen, S.; Ahmed, S.; Siddiqui, R.; Khan, N.A.; Shah, M.R. Synthesis of 4-(dimethylamino)pyridine propylthioacetate coated gold nanoparticles and their antibacterial and photophysical activity. J. Nanobiotechnol. 2018, 16, 6. [Google Scholar] [CrossRef] [Green Version]
- Tamilvendan, D.; Rajeswari, S.; Ilavenil, S.; Chakkaravarthy, K.; Venkatesa Prabhu, G. Syntheses, spectral, crystallographic, antimicrobial, and antioxidant studies of few Mannich bases. Med. Chem. Res. 2012, 21, 4129–4138. [Google Scholar] [CrossRef]
- Angelova, V.; Pencheva, T.; Nikolay Vassilev, N.; Simeonova, R.; Momekov, G.; Valcheva, V. New indole and indazole derivatives as potential antimycobacterial agents. Med. Chem. Res. 2019, 28, 485–497. [Google Scholar] [CrossRef]
- Abo-Salem, H.M.; Abd El Salam, H.A.; Abdel-Aziem, A.M.; Abdel-Aziz, M.S.; El-Sawy, E.R. Synthesis, Molecular Docking, and Biofilm Formation Inhibitory Activity of Bis(Indolyl)Pyridines Analogues of the Marine Alkaloid Nortopsentin. Molecules 2021, 26, 4112. [Google Scholar] [CrossRef]
- Mabkhot, Y.N.; Alatibi, F.; El-Sayed, N.N.E.; Kheder, N.A.; Al-Showiman, S.S. Synthesis and Structure-Activity Relationship of Some New Thiophene-Based Heterocycles as Potential Antimicrobial Agents. Molecules 2016, 21, 1036. [Google Scholar] [CrossRef] [Green Version]
- Flefel, E.M.; El-Sofany, W.I.; El-Shahat, M.; Naqvi, A.; Assirey, E. Synthesis, Molecular Docking and In Vitro Screening of Some Newly Synthesized Triazolopyridine, Pyridotriazine and Pyridine–Pyrazole Hybrid Derivatives. Molecules 2018, 23, 2548. [Google Scholar] [CrossRef] [Green Version]
- Alnassar, H.S.A.; Helal, M.H.E.; Askar, A.A.; Masoud, D.M.; Abdallah, E.M. Pyridine azo disperse dye derivatives and their selenium nanoparticles (SeNPs): Synthesis, fastness properties, and antimicrobial evaluations. Int. J. Nanomed. 2019, 14, 7903–7918. [Google Scholar] [CrossRef] [Green Version]
- Nasr, T.; Bondock, S.; Eid, S. Design, synthesis, antimicrobial evaluation and molecular docking studies of some new thiophene, pyrazole and pyridone derivatives bearing sulfisoxazole moiety. Eur. J. Med. Chem. 2014, 84, 491–504. [Google Scholar] [CrossRef] [PubMed]
- Kamat, V.; Santosh, R.; Poojary, B.; Nayak, S.P.; Kumar, B.K.; Sankaranarayanan, M.; Faheem; Khanapure, S.; Barretto, D.A.; Vootla, S.K. Pyridine- and Thiazole-Based Hydrazides with Promising Antiinflammatory and Antimicrobial Activities along with Their In Silico Studies. ACS Omega 2020, 5, 25228–25239. [Google Scholar] [CrossRef] [PubMed]
- Patel, N.B.; Agravat, S.N.; Shaikh, F.M. Synthesis and antimicrobial activity of new pyridine derivatives-I. Med. Chem. Res. 2011, 20, 1033–1041. [Google Scholar] [CrossRef]
- Sedaghati, B.; Fassihi, A.; Arbabi, S.; Ranjbar, M.; Memarian, H.R.; Saghaie, L.; Omidi, A.; Sardari, A.; Jalali, M.; Abedi, D. Synthesis and antimicrobial activity of novel derivatives of Biginelli pyrimidines. Med. Chem. Res. 2012, 21, 3973–3983. [Google Scholar] [CrossRef]
- Yadav, S.; Kumar, P.; De Clercq, E.; Balzarini, J.; Pannecouque, C.; Dewan, S.; Narasimhan, B. 4-[1-(Substituted aryl/alkyl carbonyl)-benzoimidazol-2-yl]-benzenesulfonic acids: Synthesis, antimicrobial activity, QSAR studies, and antiviral evaluation. Eur. J. Med. Chem. 2010, 45, 5985–5997. [Google Scholar] [CrossRef]
- Desai, N.C.; Dodiya, A.M.; Shihory, N.R. A search of novel antimicrobial based on benzimidazole and 2-pyridone heterocycles. Med. Chem. Res. 2012, 21, 2579–2586. [Google Scholar] [CrossRef]
- Desai, N.C.; Pandya, D.D.; Bhatt, K.A.; Kotadiya, G.M.; Desai, P. Synthesis, antimicrobial, and cytotoxic activities of novelbenzimidazole derivatives bearing cyanopyridine and 4-thiazolidinone motifs. Med. Chem. Res. 2014, 23, 3823–3835. [Google Scholar] [CrossRef]
- Desai, N.C.; Pandya, D.D.; Kotadiya, G.M.; Desai, P. Synthesis, antimicrobial and cytotoxic activity of 2-azetidinone derivatives of pyridyl benzimidazoles. Med Chem. Res. 2014, 23, 1725–1741. [Google Scholar] [CrossRef]
- Rani, V.E.; Reddy, P.R. Synthesis and Antimicrobial Activity of New Pyridine Containing Substituted Phenyl Azetidine-2-One Derivatives. Open J. Med. Chem. 2018, 8, 22–29. [Google Scholar] [CrossRef] [Green Version]
- Sarojini, B.K.; Krishna, B.G.; Darshanraj, C.G.; Bharath, B.R.; Manjunatha, H. Synthesis, characterization, in vitro and molecular docking studies of new 2,5-dichloro thienyl substituted thiazole derivatives for antimicrobial properties. Eur. J. Med. Chem. 2010, 45, 3490–3496. [Google Scholar] [CrossRef]
- Desai, N.C.; Kotadiya, G.M.; Trivedi, A.R.; Khedkar, V.M.; Jha, P.C. Synthesis, biological valuation, and QSAR studies of novel pyrazole bearing pyridyl oxadiazole analogues as potential antimicrobial agents. Med. Chem. Res. 2016, 25, 712–727. [Google Scholar] [CrossRef]
- Desai, N.C.; Kotadiya, G.M.; Trivedi, A.R.; Khedkar, V.M.; Jha, P.C. Design, synthesis, and biological evaluation of novel fluorinated pyrazole encompassing pyridyl 1,3,4-oxadiazole motifs. Med. Chem. Res. 2016, 25, 2698–2717. [Google Scholar] [CrossRef]
- Murty, M.S.R.; Penthala, R.; Buddana, S.K.; Prakasham, R.S.; Das, P.; Polepalli, S.; Jain, N.; Bojja, S. Recyclable CuO nanoparticles-catalyzed synthesis of novel-2,5-disubstituted 1,3,4-oxadiazoles as antiproliferative, antibacterial, and antifungal agents. Med. Chem. Res. 2014, 23, 4579–4594. [Google Scholar] [CrossRef]
- Krishna, C.; Bhargavi, M.V.; Rao, C.P.; Krupadanam, G.L.D. Synthesis and antimicrobial assessment of novel coumarins featuring 1,2,4-oxadiazole. Med. Chem. Res. 2015, 24, 3743–3751. [Google Scholar] [CrossRef]
- Bhardwaj, V.; Noolvi, M.N.; Jalhan, S.; Patel, H.M. Synthesis, and antimicrobial evaluation of new pyridine imidazo [2,1b]-1,3,4-thiadiazole derivatives. J. Saudi. Chem. Soc. 2016, 20, S406–S410. [Google Scholar] [CrossRef] [Green Version]
- Panda, S.S.; Jain, S.C. Synthesis and QSAR studies of some novel disubstituted 1,2,4-triazoles as antimicrobial agents. Med. Chem. Res. 2014, 23, 848–861. [Google Scholar] [CrossRef]
- Morsy, H.A.; Mohammed, S.M.; Abdel Hamid, A.M.; Moustafa, A.H.; El-Sayed, H.A. Click Synthesis of 1,2,3-Triazole Nucleosides Based on Functionalized Nicotinonitriles. Russ. J. Org. Chem. 2020, 56, 143–147. [Google Scholar] [CrossRef]
- Deng, Q.; Ji, Q.-G.; Ge, Z.-Q.; Liu, X.F.; Yang, D.; Yuan, L.J. Synthesis and biological evaluation of novel quinolin-2(1H)-one derivatives as potential antimicrobial agents. Med. Chem. Res. 2014, 23, 5224–5236. [Google Scholar] [CrossRef]
- Ranjbar-Karimi, R.; Poorfreidoni, A. Incorporation of Fluorinated Pyridine in the Side Chain of 4-Aminoquinolines: Synthesis, Characterization and Antibacterial Activity. Drug. Res. 2018, 68, 17–22. [Google Scholar] [CrossRef] [Green Version]
- Myangar, K.N.; Raval, J.P. Design, synthesis, and in vitro antimicrobial activities of novel azetidinyl-3-quinazolin-4-one hybrids. Med. Chem. Res. 2012, 21, 2762–2771. [Google Scholar] [CrossRef]
- Saleh, M.; Abbott, S.; Perron, V.; Lauzon, C.; Penney, C.; Zacharie, B. Synthesis and antimicrobial activity of 2-fluorophenyl-4,6-disubstituted [1,3,5]triazines. Bioorg. Med. Chem. Lett. 2010, 20, 945–949. [Google Scholar] [CrossRef] [PubMed]
- Solankee, A.; Kapadia, K.; Ciric, A.; Sokovic, M.; Doytchinova, I.; Geronikaki, A. Synthesis of some new s-triazine based chalcones and their derivatives as potent antimicrobial agents. Eur. J. Med. Chem. 2010, 45, 510–518. [Google Scholar] [CrossRef] [PubMed]
- Rajavelu, K.; Rajakumar, P. Synthesis and photophysical, electrochemical, antibacterial, and DNA binding studies of triazinocalix[2]arenes. J. Mater. Chem. B 2015, 3, 3340–3350. [Google Scholar] [CrossRef] [PubMed]
- Liu, H.; Long, S.; Rakesh, K.P.; Zha, G.F. Structure-activity relationships (SAR) of triazine derivatives: Promising antimicrobial agents. Eur. J. Med. Chem. 2020, 185, 111804. [Google Scholar] [CrossRef] [PubMed]
- Al-Salahi, R.A.; Al-Omar, M.A.; Amr, A.E.-G.E. Synthesis of Chiral Macrocyclic or Linear Pyridine Carboxamides from Pyridine-2,6-dicarbonyl Dichloride as Antimicrobial Agents. Molecules 2010, 15, 6588–6597. [Google Scholar] [CrossRef] [Green Version]
- El-Salam, O.I.A.; Al-Omar, M.A.; Fayed, A.A.; Flefel, E.M.; Amr, A.E.-G.E. Synthesis of New Macrocyclic Polyamides as Antimicrobial Agent Candidates. Molecules 2012, 17, 14510–14521. [Google Scholar] [CrossRef]
- Chandak, N.; Kumar, S.; Kumar, P.; Sharma, C.; Aneja, K.R.; Sharma, P.K. Exploration of antimicrobial potential of pyrazolo [3,4-b]pyridine scaffold bearing benzenesulfonamide and trifluoromethyl moieties. Med. Chem. Res. 2013, 22, 5490–5503. [Google Scholar] [CrossRef]
- Altalbawy, F.M.A. Synthesis and Antimicrobial Evaluation of Some Novel Bis-α,β-Unsaturated Ketones, Nicotinonitrile, 1,2-Dihydropyridine-3-carbonitrile, Fused Thieno [2,3-b]pyridine and Pyrazolo [3,4-b]pyridine Derivatives. Int. J. Mol. Sci. 2013, 14, 2967–2979. [Google Scholar] [CrossRef]
- Jose, G.; Kumara, T.H.S.; Nagendrappa, G.; Sowmya, H.B.V.; Jasinski, J.P.; Millikan, S.P.; Chandrika, N.; More, S.S.; Harish, B.G. New polyfunctional imidazo [4,5-C]pyridine motifs: Synthesis, crystal studies, docking studies and antimicrobial evaluation. Eur. J. Med. Chem. 2014, 77, 288–297. [Google Scholar] [CrossRef]
- Poreba, K.; Pawlik, K.; Rembacz, K.; Kurowska, E.; Matuszyk, J.; Dlugosz, A. Synthesis and antibacterial activity of new sulfonamide S isoxazolo [5,4-b]pyridine derivatives. Acta Pol. Pharm. Drug Res. 2015, 72, 727–735. [Google Scholar]
- Reen, G.K.; Kumar, A.; Sharma, P. In vitro and in silico evaluation of 2-(substituted phenyl) oxazolo [4,5-b]pyridine derivatives as potential antibacterial agents. Med. Chem. Res. 2017, 26, 3336–3344. [Google Scholar] [CrossRef]
- Ali, T.E.S. Synthesis of some novel pyrazolo [3,4-b]pyridine and pyrazolo [3,4-d]pyrimidine derivatives bearing 5,6-diphenyl-1,2,4-triazine moiety as potential antimicrobial agents. Eur. J. Med. Chem. 2009, 44, 4385–4392. [Google Scholar] [CrossRef]
- El-Borai, M.A.; Rizk, H.F.; Beltagy, D.M.; El-Deeb, I.Y. Microwave-assisted synthesis of some new pyrazolopyridines and their antioxidant, antitumor and antimicrobial activities. Eur. J. Med. Chem. 2013, 66, 415–422. [Google Scholar] [CrossRef] [PubMed]
- Appna, N.R.; Nagiri, R.K.; Korupolu, R.B.; Kanugala, S.; Chityal, G.K.; Thipparapu, G.; Banda, N. Design and synthesis of novel 4-hydrazone functionalized/1,2,4-triazole fused pyrido [2,3-d]pyrimidine derivatives, their evaluation for antifungal activity and docking studies. Med. Chem. Res. 2019, 28, 1509–1528. [Google Scholar] [CrossRef]
- Patel, N.B.; Patel, S.D.; Chauhan, H.I. Synthesis and in vitro microbial activities of amides of pyridoquinolone. Med. Chem. Res. 2011, 20, 1054–1067. [Google Scholar] [CrossRef]
- Brahmbhatt, D.I.; Patel, C.V.; Bhila, V.G.; Patel, N.H.; Patel, A.A. An efficient synthesis and antimicrobial screening of new hybrid molecules containing coumarin and indenopyridine moiety. Med. Chem. Res. 2015, 24, 1596–1604. [Google Scholar] [CrossRef]
- Salem, M.S.; Sakr, S.I.; El-Senousy, W.M.; Madkour, H.M.F. Synthesis, Antibacterial, and Antiviral Evaluation of New Heterocycles Containing the Pyridine Moiety. Arch. Pharm. Chem. Life Sci. 2013, 346, 766–773. [Google Scholar] [CrossRef]
- Youssoufi, M.H.; Sahu, P.K.; Sahu, P.K.; Agarwal, D.D.; Ahmad, M.; Messali, M.; Lahsasni, S.; Hadda, T.B. POM analyses of anti icrobial activity of 4H-pyrimido [2,1-b]benzothiazole, pyrazole, and benzylidene derivatives of curcumin. Med. Chem. Res. 2015, 24, 2381–2392. [Google Scholar] [CrossRef]
- Flefel, E.M.; Alsafi, M.A.; Alahmadi, S.M.; Amr, A.E.G.E.; Fayed, A.A. Synthesis, antibacterial, and antiviral evaluation of new heterocycles containing the pyridine moiety. Biomed. Res. 2018, 29, 1407–1413. [Google Scholar]
- El-Sayed, H.A.; Moustafa, A.H.; El-Torky, A.E.; Abd El-Salam, E.A. A Series of Pyridines and Pyridine Based Sulfa-Drugs as Antimicrobial Agents: Design, Synthesis and Antimicrobial Activity. Russ. J. Gen. Chem. 2017, 87, 2401–2408. [Google Scholar] [CrossRef]
- Mohi El-Deen, E.M.; Abd El-Meguid, E.A.; Karam, E.A.; Nossier, E.S.; Ahmed, M.F. Synthesis and Biological Evaluation of New Pyridothienopyrimidine Derivatives as Antibacterial Agents and Escherichia coli Topoisomerase II Inhibitors. Antibiotics 2020, 9, 695. [Google Scholar] [CrossRef] [PubMed]
- Abdel-Megeed, M.F.; Badr, B.E.; Azaam, M.M.; El-Hiti, G.A. Synthesis, antimicrobial and anticancer activities of a novel series of diphenyl 1-(pyridin-3-yl)ethylphosphonates. Bioorg. Med. Chem. 2012, 20, 2252–2258. [Google Scholar] [CrossRef] [PubMed]
- Sekhar, K.C.; Basha, S.K.T.; Bhuvaneswar, C.; Bhaskar, B.V.; Rajendra, W.; Raju, C.N.; Ghosh, S.K. Didanosine phosphoramidates: Synthesis, docking to viral NA, antibacterial and antiviral activity. Med. Chem. Res. 2015, 24, 209–219. [Google Scholar] [CrossRef]
- Devineni, S.R.; Goll, M.; Chamarthi, N.R.; Meriga, B.; Saddal, M.S.; Asupathri, U.R. 2-Amino-2,3-dihydro-1H-2λ5-[1,3,2]diazaphospholo[4,5-b]pyridin-2-one-based urea and thiourea derivatives: Synthesis, molecular docking study and evaluation of anti-inflammatory and antimicrobial activities. Med. Chem. Res. 2016, 25, 751–768. [Google Scholar] [CrossRef]
- Kumar, S.; Sharma, N.; Maurya, I.K.; Bhasin, A.K.K.; Wangoo, N.; Brandao, P.; Felix, V.; Bhasin, K.K.; Sharma, R.K. Facile synthesis, structural evaluation, antimicrobial activity and synergistic effects of novel imidazo [1,2-a]pyridine based organoselenium compounds. Eur. J. Med. Chem. 2016, 123, 916–924. [Google Scholar] [CrossRef]
- Abdellattif, M.H.; Abdel-Rahman, A.A.H.; Helmy Arief, M.M.; Mouneir, S.M.; Ali, A.; Hussien, M.A.; Okasha, R.M.; Afifi, T.H.; Hagar, M. Novel 2-Hydroselenonicotinonitriles and Selenopheno [2,3-b]pyridines: Efficient Synthesis, Molecular Docking-DFT Modeling, and Antimicrobial Assessment. Front. Chem. 2021, 9, 672503. [Google Scholar] [CrossRef]
- Fontaine, F.; Hequet, A.; Voisin-Chiret, A.-S.; Bouillon, A.; Lesnard, A.; Cresteil, T.; Jolivalt, C.; Rault, S. Boronic species as promising inhibitors of the Staphylococcus aureus NorA efflux pump: Study of 6-substituted pyridine-3-boronic acid derivatives. Eur. J. Med. Chem. 2015, 95, 185–198. [Google Scholar] [CrossRef]
- Bychenko, O.; Skvortsova, Y.; Ziganshin, R.; Grigorov, A.; Aseev, L.; Ostrik, A.; Kaprelyants, A.; Salina, E.G.; Azhikina, T. Mycobacterium tuberculosis Small RNA MTS1338 Confers Pathogenic Properties to Non-Pathogenic Mycobacterium smegmatis. Microorganisms 2021, 9, 414. [Google Scholar] [CrossRef]
- Navarrete-Vazquez, G.; Molina-Salinas, G.M.; Duarte-Fajardo, Z.V.; Vargas-Villarreal, J.; Estrada-Soto, S.; Gonzalez-Salazar, F.; Hernandez-Nunez, E.; Said-Fernandez, S. Synthesis and antimycobacterial activity of 4-(5-substituted-1,3,4-oxadiazol-2-yl)pyridines. Bioorg. Med. Chem. 2007, 15, 5502–5508. [Google Scholar] [CrossRef]
- Patel, N.B.; Sharma, R.D.; Rajani, S.D. In vitro antimicrobial and antitubercular studies of novel 6-substituted (pyrrolidin-1-yl)-2(1H)-pyridinones. Med. Chem. Res. 2012, 21, 4108–4119. [Google Scholar] [CrossRef]
- Sangani, C.B.; Jardosh, H.H.; Patel, M.P.; Patel, R.G. Microwave-assisted synthesis of pyrido [1,2-a]benzimidazole derivatives of b-aryloxyquinoline and their antimicrobial nd antituberculosis activities. Med. Chem. Res. 2013, 22, 3035–3047. [Google Scholar] [CrossRef]
- Rathod, A.S.; Godipurge, S.S.; Biradar, J.S. Microwave Assisted, Solvent-Free, “Green” Synthesis of Novel Indole Analogs as Potent Antitubercular and Antimicrobial Agents and Their Molecular Docking Studies. Russ. J. Gen. Chem. 2018, 88, 1238–1246. [Google Scholar] [CrossRef]
- Rathod, A.S.; Godipurge, S.S.; Biradar, J.S. Symthesis of indole, coumarinyl and pyridinyl derivatives of isoniazid as potent antitubercular and animicrobial agents and their molecular docking studies. Int. J. Pharm. Pharm. Sci. 2017, 9, 233–240. [Google Scholar] [CrossRef]
- Rathod, A.S.; Reddy, P.V.; Biradar, J.S. Microwave-Assisted Synthesis of Some Indole and Isoniazid Derivatives as Antitubercular Agents and Molecular Docking Study. Russ. J. Org. Chem. 2020, 56, 662–670. [Google Scholar] [CrossRef]
- De, A.; Sarkar, S.; Majee, A. Recent advances on heterocyclic compounds with antiviral properties. Chem. Het. Comp. 2021, 57, 410–416. [Google Scholar] [CrossRef]
- Sanders, J.M.; Monogue, M.L.; Jodlowski, T.Z.; Cutrell, J.B. Pharmacologic Treatments for Coronavirus Disease 2019 (COVID-19). A Review. Clin. Rev. Educ. 2020, 3213, 1824–1836. [Google Scholar] [CrossRef]
- Balzarini, J.; Stevens, M.; Andrei, G.; Snoeck, R.; Strunk, R.; Pierce, J.B.; Lacadie, J.A.; De Clercq, E.; Pannecouque, C. Pridine Oxide Derivatives: Structure-Activity Relationship for Inhibition of Human Immunodeficiency Virus and Cytomegalovirus Replication in Cell Culture. Helv. Chim. Acta. 2002, 85, 2961–2974. [Google Scholar] [CrossRef]
- Balzarini, J.; Keyaert, E.; Vijgen, L.; Vandermeer, F.; Stevens, M.; De Clercq, E.; Egberink, H.; Van Ranst, M. Pyridine N-oxide derivatives are inhibitory to the human SARS and feline infectious peritonitis coronavirus in cell culture. J. Antimicrob. Chemother. 2006, 57, 472–481. [Google Scholar] [CrossRef] [Green Version]
- Ghaleb, A.; Aouidate, A.; El Ayouchia, H.B.; Aarjane, M.; Anane, H.; Stiriba, S.E. In silico molecular investigations of pyridine N-Oxide compounds as potential inhibitors of SARS-CoV-2: 3D QSAR, molecular docking modeling, and ADMET screening. J. Biomol. Struct. Dyn. 2020, 40, 143–153. [Google Scholar] [CrossRef]
- Ghosh, A.K.; Raghavaiah, J.; Shahabi, D.; Yadav, M.; Anson, B.J.; Lendy, E.K.; Hattori, S.-i.; Higashi-Kuwata, N.; Mitsuya, H.; Mesecar, A.D. Indole Chloropyridinyl Ester-Derived SARS-CoV-2 3CLpro Inhibitors: Enzyme Inhibition, Antiviral Efficacy, Structure−Activity Relationship, and X-ray Structural Studies. J. Med. Chem. 2021, 64, 14702–14714. [Google Scholar] [CrossRef]
- Starčević, K.; Kralj, M.; Ester, K.; Sabol, I.; Grce, M.; Pavelić, K.; Karminski-Zamola, G. Synthesis, antiviral and antitumor activity of 2-substituted-5-amidino-benzimidazoles. Bioorg. Med. Chem. 2007, 15, 4419–4426. [Google Scholar] [CrossRef] [Green Version]
- Salem, M.S.; Marzouk, M.I.; Ali, S.N.; Madkour, H.M.F. Synthesis, structure characterization and biological evaluation of new 6,8-dichloro-2-methyl-4H-chromen-4-one derivatives. Eur. J. Chem. 2012, 3, 220–227. [Google Scholar] [CrossRef] [Green Version]
- Abu-Hashem, A.A.; Gouda, M.A.; Badria, F.A. Design, synthesis and identification of novel substituted isothiochromene analogs as potential antiviral and cytotoxic agents. Med. Chem. Res. 2018, 27, 2297–2311. [Google Scholar] [CrossRef]
- Ferreira, J.C.; Fadl, S.; Villanueva, A.J.; Rabeh, W.M. Catalytic Dyad Residues His41 and Cys145 Impact the Catalytic Activity and Overall Conformational Fold of the Main SARS-CoV-2 Protease 3-Chymotrypsin-Like Protease. Front. Chem. 2021, 9, 692168. [Google Scholar] [CrossRef] [PubMed]









































































| Compound | Test | Gram-Positive | Gram-Negative | ||||
|---|---|---|---|---|---|---|---|
| B. subtilis | S.aureus | E. faecalis | E. coli | P. aeruginosa | Samonella typhi | ||
| 36 | MIC | 16.12 | 5.74 | 11.29 | 22.61 | 90.48 | 11.29 |
| MBC | 30.63 | 10.71 | 19.19 | 36.16 | 171.89 | 19.19 | |
| 37 | MIC | 10.11 | 20.26 | 40.52 | 20.26 | 72.05 | 48.02 |
| MBC | 17.29 | 40.52 | 81.08 | 40.52 | 144.11 | 94.70 | |
| Tetracycline | MIC | 70.31 | 14063 | 140.6 | 35.14 | 140.6 | 7.31 |
| MBC | 91.40 | 196.8 | 210.9 | 42.16 | 196.89 | 98.44 | |
| Compound | A. niger | C. albicans | P. chrysogenum | S. aureus | B. subtilis | E. coli | P. aeruginosa |
|---|---|---|---|---|---|---|---|
| 51 | - | 12.497 | - | 6.2485 | 6.2485 | 6.2485 | 6.2485 |
| 52 | 12.499 | 3.125 | 12.4999 | 1.5625 | 1.5625 | 1.5625 | 1.5625 |
| 53 | 1.5625 | 0.7182 | 1.5625 | 0.1953 | 0.1953 | 0.3906 | 0.7812 |
| 54 | 0.3906 | 0.1953 | 0.1953 | 0.0488 | 0.0977 | 0.1953 | 0.1953 |
| 55 | 0.1953 | 0.0976 | 0.1953 | 0.0244 | 0.0244 | 0.0488 | 0.09764 |
| Compounds | Pathogenic Microorganisms | |||||
|---|---|---|---|---|---|---|
| S. aureus ATCC 6538 | E. coli ATCC 25922 | C. albicans ATCC 10231 | ||||
| MIC | MBC | MIC | MBC | MIC | MBC | |
| 77b | 78.125 | 312.5 | 312.5 | 1250 | 78.13 | 312.5 |
| 78a | 39.063 | 625 | 312.5 | 625 | 39.06 | 156.25 |
| 78c | 312.5 | 625 | 625 | 1250 | 39.06 | 78.13 |
| 78d | 9.766 | 19.53 | 312.5 | 1250 | 19.53 | 19.53 |
| Compound | Minimum Inhibitory Concentration (MIC [μg mL−1]) | ||||||
|---|---|---|---|---|---|---|---|
| Gram-Positive Bacteria | Gram-Negative Bacteria | Fungi | |||||
| Sa | Sp | Ec | Pa | Ca | An | Ac | |
| 108a | 100 | 62.5 | 62.5 | 50 | 250 | 100 | 100 |
| 108b | 250 | 100 | 100 | 100 | 100 | 50 | 50 |
| 108c | 100 | 50 | 50 | 50 | 250 | 100 | 100 |
| 108d | 50 | 25 | 12.5 | 25 | 50 | 25 | 12.5 |
| 108e | 25 | 50 | 50 | 25 | 100 | 50 | 50 |
| Chloramphenicol | 50 | 50 | 50 | 50 | - | - | - |
| Ketoconazole | - | - | - | - | 50 | 50 | 50 |
| Compound | Gram-Positive Bacteria | Gram-Negative Bacteria | Fungi | ||||
|---|---|---|---|---|---|---|---|
| Sa | Sp | Ec | Pa | Ca | An | Ac | |
| 114a | 50 | 25 | 50 | 50 | 50 | 50 | 50 |
| 114b | 25 | 25 | 25 | 25 | 50 | 25 | 25 |
| 114c | 50 | 50 | 50 | 50 | 25 | 50 | 100 |
| 114d | 25 | 50 | 25 | 25 | 50 | 25 | 50 |
| 114e | 12.5 | 25 | 25 | 12.5 | 25 | 12.5 | 25 |
| Chloramphenicol | 50 | 50 | 50 | 50 | - | - | - |
| Griseofulvin | - | - | - | - | 500 | 100 | 100 |
| Compd. | Bacterial Strains | Fungal Strains | |||||||
|---|---|---|---|---|---|---|---|---|---|
| Sa | Bs | Ec | St | Kp | An | Afu | Afl | Ca | |
| 127a | 12.5 | 25 | 25 | 12.5 | 12.5 | 12.5 | 50 | 50 | 12.5 |
| 127b | 12.5 | 12.5 | 25 | 25 | 6.25 | 12.5 | 6.25 | 25 | 6.25 |
| 127c | 12.5 | 25 | 12.5 | 12.5 | 12.5 | 12.5 | 25 | 25 | 25 |
| 127d | 6.25 | 12.5 | 6.25 | 12.5 | 25 | 25 | 25 | 25 | 25 |
| 127e | 25 | 25 | 25 | 25 | 25 | 12.5 | 25 | 50 | 12.5 |
| 127f | 25 | 25 | 12.5 | 25 | 12.5 | 12.5 | 25 | 25 | 12.5 |
| 127g | 12.5 | 25 | 12.5 | 50 | 6.25 | 6.25 | 25 | 25 | 12.5 |
| 127h | 12.5 | 12.5 | 6.25 | 25 | 6.25 | 6.25 | 25 | 12.5 | 12.5 |
| 127i | 6.25 | 12.5 | 6.25 | 25 | 12.5 | 6.25 | 6.25 | 6.25 | 6.25 |
| 127j | 6.25 | 12.5 | 6.25 | 25 | 12.5 | 6.25 | 12.5 | 6.25 | 6.25 |
| 127k | 6.25 | 12.5 | 6.25 | 25 | 6.25 | 6.25 | 12.5 | 12.5 | 6.25 |
| Ciprofloxacin | 6.25 | 6.25 | 6.25 | 6.25 | 6.25 | - | - | - | - |
| Miconazole | - | - | - | - | - | 6.25 | 12.5 | 6.25 | 6.25 |
| Compd. | Gram-Positive Bacteria | Gram-Negative Bacteria | Fungal Strain | |||||||
|---|---|---|---|---|---|---|---|---|---|---|
| Ec | Pa | Kp | St | Sa | Sp | Bs | Ca | An | Ac | |
| 143a | 200 | 125 | 200 | 200 | 250 | 250 | 100 | 1000 | 500 | 500 |
| 146b | 100 | 200 | 250 | 250 | 200 | 250 | 250 | 1000 | 500 | 500 |
| 143c | 250 | 250 | 100 | 500 | 500 | 500 | 500 | 200 | 200 | 250 |
| 143d | 150 | 150 | 200 | 200 | 100 | 125 | 100 | 500 | >1000 | >1000 |
| 143e | 250 | 250 | 500 | 250 | 500 | 500 | 200 | 1000 | >1000 | >1000 |
| 143f | 250 | 250 | 250 | 250 | 200 | 250 | 250 | 500 | >1000 | >1000 |
| 143g | 500 | 500 | 62.5 | 500 | 125 | 200 | 250 | 200 | 250 | 200 |
| 143h | 50 | 100 | 100 | 100 | 500 | 500 | 250 | 1000 | 1000 | 62.5 |
| Ampicillin | 100 | 100 | 100 | 100 | 250 | 100 | - | - | - | - |
| Griseofulvin | - | - | - | - | - | - | - | 500 | 100 | 100 |
| Compound | Inhibition Zone in mm (at 50 μg mL−1) | |||
|---|---|---|---|---|
| B. subtilis | S. aureus | E. coli | C. albicans | |
| 154 | 19 | 24 | 20 | 16 |
| 155 | 20 | 22 | 21 | 15 |
| Ciprofloxacin | 23 | 23 | 25 | - |
| Ketoconazole | - | - | - | 25 |
| Compound | Inhibition Zone in mm (at 50 μg mL−1) | ||||
|---|---|---|---|---|---|
| B. subtilis | S. aureus | E. coli | C. albicans | A. niger | |
| 156 | 1.55 | 1.60 | 0.80 | 0.65 | 1.60 |
| 157 | 1.35 | 1.75 | 0.60 | 0.75 | 1.90 |
| 158a | 1.45 | 1.45 | 0.80 | - | 1.60 |
| 158b | 0.90 | 1.30 | - | 0.65 | 1.70 |
| 158c | 1.80 | 1.25 | 0.60 | - | 1.80 |
| 158d | 0.85 | 1.30 | 0.75 | 0.65 | 1.95 |
| 158e | 1.80 | 1.25 | 0.70 | 0.60 | 1.65 |
| 158f | 1.60 | 1.45 | 0.70 | 0.55 | .75 |
| Ampicillin | 1.15 | 1.30 | 0.75 | - | - |
| Ketoconazole | - | - | - | 0.80 | 2.30 |
| Compound | S.aureus | B. subtilis | S. cerevisiae | C. albicans |
|---|---|---|---|---|
| 159 | 32 | 32 | 128 | 64 |
| 160 | 32 | 64 | 64 | 64 |
| 161 | 128 | 128 | 32 | 32 |
| Ciprofloxacin | 5 | 5 | - | - |
| Amphotericin-B | - | - | 20 | 20 |
| Compound | Gram-Positive Bacteria | Gram-Negative Bacteria | ||
|---|---|---|---|---|
| S. aureus ATCC 2943 | B. subtilis ATCC 6633 | E. coli ATCC 13067 | P. diminuta MTCC 3361 | |
| 169a | 6.25 | 25 | 50 | 25 |
| 169b | 6.25 | 12.5 | 25 | 25 |
| 169c | 3.125 | 6.25 | 25 | 12.5 |
| 169d | 12.5 | 12.5 | 50 | 25 |
| 169e | 6.25 | 25 | 50 | 50 |
| 169f | 1.56 | 3.125 | 12.5 | 6.25 |
| 169g | 3.125 | 6.25 | 12.5 | 12.5 |
| 169h | 12.5 | 25 | 50 | 25 |
| Ampicillin | 6.25 | 12.5 | 50 | 25 |
| Streptomycin | 12.5 | 25 | 50 | 25 |
| Compd. | Minimum Inhibitory Concentration (in μM mL−1) | |||||
|---|---|---|---|---|---|---|
| S. aureus | S. typhi | P. aeruginosa | E. coli | B. cereus | P. rettgeri | |
| 185a | 20 | 20 | 10 | - | 5 | 20 |
| 185b | 20 | - | 20 | - | 5 | - |
| 185c | - | - | 20 | 10 | 5 | - |
| 185d | - | 20 | 10 | 5 | 2.5 | 10 |
| 185e | - | 10 | 5 | 10 | 2.5 | 10 |
| 185f | 1.25 | 20 | 10 | 5 | 2.5 | - |
| 185g | 20 | - | - | 10 | 5 | 20 |
| 185h | - | - | 20 | 20 | 5 | 10 |
| Ciprofloxacin | 1.25 | 2.5 | 1.25 | 1.25 | 0.62 | 1.25 |
| Compound | Minimum Inhibitory Concentrations (MICs) (μg mL−1) | ||||
|---|---|---|---|---|---|
| E. coli | S. aureus | B. subtilis | C. albicans | S. cerevisiae | |
| 200a | 100 | 10 | 10 | 10 | 10 |
| 200b | 10 | 10 | 10 | 10 | 10 |
| 200c | 10 | 50 | 10 | 10 | 10 |
| 200d | 10 | 10 | 10 | 10 | 10 |
| 200e | 10 | 10 | 10 | 10 | 10 |
| Ciprofloxacin | 5 | 5 | 5 | - | - |
| Amphotericin B | - | - | - | 15 | 15 |
| Compound | MIC (μg mL−1) | Growth Inhibition, % |
|---|---|---|
| 220a | 6.25 | 75 |
| 220b | 25 | 65 |
| 220c | 3.12 | 80 |
| 220d | 25 | 65 |
| 221a | 12.5 | 70 |
| 221b | 50 | 50 |
| 221c | 50 | 60 |
| 221d | 50 | 50 |
| Izoniazid | 0.6125 | - |
| Pyrazinamide | 3.125 | - |
| Streptomycin | 6.25 | - |
| Ciprofloxacin | 3.125 | - |
| Compound | Antiviral Activity EC50 (μM) | |||
|---|---|---|---|---|
| HeLa | GMK | |||
| Adenovirus 5 | Herpesvirus 1 | Coxsackievirus B5 | Echovirus 7 | |
| 230a | >100 | >100 | 1.7 ± 1.6 | 3.2 ± 3.3 |
| 230b | 15.2 ± 31.4 | >100 | 2.7 ± 4.6 | 033 ± 0.21 |
| 230c | >100 | 56.7 ± 61.3 | 4.3 ± 3.1 | 0.63 ± 0.38 |
Publisher’s Note: MDPI stays neutral with regard to jurisdictional claims in published maps and institutional affiliations. |
© 2022 by the authors. Licensee MDPI, Basel, Switzerland. This article is an open access article distributed under the terms and conditions of the Creative Commons Attribution (CC BY) license (https://creativecommons.org/licenses/by/4.0/).
Share and Cite
Marinescu, M.; Popa, C.-V. Pyridine Compounds with Antimicrobial and Antiviral Activities. Int. J. Mol. Sci. 2022, 23, 5659. https://doi.org/10.3390/ijms23105659
Marinescu M, Popa C-V. Pyridine Compounds with Antimicrobial and Antiviral Activities. International Journal of Molecular Sciences. 2022; 23(10):5659. https://doi.org/10.3390/ijms23105659
Chicago/Turabian StyleMarinescu, Maria, and Claudia-Valentina Popa. 2022. "Pyridine Compounds with Antimicrobial and Antiviral Activities" International Journal of Molecular Sciences 23, no. 10: 5659. https://doi.org/10.3390/ijms23105659
APA StyleMarinescu, M., & Popa, C.-V. (2022). Pyridine Compounds with Antimicrobial and Antiviral Activities. International Journal of Molecular Sciences, 23(10), 5659. https://doi.org/10.3390/ijms23105659

