Verrucosidin Derivatives from the Deep Sea Cold-Seep-Derived Fungus Penicillium polonicum CS-252
Abstract
:1. Introduction
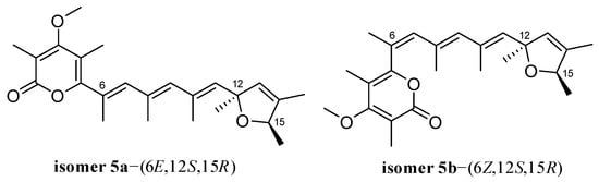
2. Results and Discussion
3. Experimental Section
3.1. General Experimental Procedures
3.2. Fungal Material
3.3. Fermentation, Extraction and Isolation
3.4. Fermentation, Extraction and Isolation
3.5. ECD Calculations
3.6. Computational NMR Chemical Shift Calculations and DP4+ Analyses
3.7. Antibacterial Assay
4. Conclusions
Supplementary Materials
Author Contributions
Funding
Institutional Review Board Statement
Informed Consent Statement
Data Availability Statement
Acknowledgments
Conflicts of Interest
References
- Li, W.; Ma, Z.H.; Chen, L.; Yin, W.B. Synthesis and production of the antitumor polyketide aurovertins and structurally related compounds. Appl. Microbiol. Biotechnol. 2018, 102, 6373–6381. [Google Scholar] [CrossRef] [PubMed]
- Pan, C.Q.; Shi, Y.T.; Auckloo, B.N.; Chen, X.G.; Chen, C.T.A.; Tao, X.Y.; Wu, B. An unusual conformational isomer of verrucosidin backbone from a hydrothermal vent fungus, Penicillium sp. Y-50-10. Mar. Drugs 2016, 14, 156. [Google Scholar] [CrossRef] [PubMed] [Green Version]
- Choo, S.J.; Park, H.R.; Ryoo, I.J.; Kim, J.P.; Yun, B.S.; Kim, C.J.; Shin-ya, K.; Yoo, I.D. Deoxyverrucosidin, a novel GRP78/BiP down-regulator, produced by Penicillium sp. J. Antibiot. 2005, 58, 210–213. [Google Scholar] [CrossRef] [PubMed] [Green Version]
- Sonjak, S.; Frisvad, J.C.; Gunde-Cimerman, N. Penicillium mycobiota in arctic subglacial ice. Microb. Ecol. 2006, 52, 207–216. [Google Scholar] [CrossRef] [PubMed]
- Guo, X.C.; Zhang, Y.H.; Gao, W.B.; Pan, L.; Zhu, H.J.; Cao, F. Absolute configurations and chitinase inhibitions of quinazoline-containing diketopiperazines from the marine-derived fungus Penicillium polonicum. Mar. Drugs 2020, 14, 156. [Google Scholar] [CrossRef] [PubMed]
- Liu, S.Z.; Tang, X.X.; He, F.M.; Jia, J.X.; Hu, H.; Xie, B.Y.; Li, M.Y.; Qiu, Y.K. Two new compounds from a mangrove sediment-derived fungus Penicillium polonicum H175. Nat. Prod. Res. 2020, 36, 2370–2378. [Google Scholar] [CrossRef] [PubMed]
- Ma, Y.R.; Wen, Y.Z.; Cheng, H.T.; Deng, J.T.; Peng, Y.; Bahetejiang, Y.; Huang, H.Q.; Wu, C.Q.; Yang, X.Z.; Pang, K.J. Penpolonin A–E, cytotoxic α-pyrone derivatives from Penicillium polonicum. Bioorg. Med. Chem. Lett. 2021, 40, 127921. [Google Scholar] [CrossRef] [PubMed]
- Ding, G.Z.; Liu, J.; Wang, J.M.; Fang, L.; Yu, S.S. Secondary metabolites from the endophytic fungi Penicillium polonicum and Aspergillus fumigatus. J. Asian. Nat. Prod. Res. 2013, 15, 446–452. [Google Scholar] [CrossRef] [PubMed]
- Elsunni, M.A.; Yang, Z.D. Secondary metabolites of the endophytic fungi Penicillium polonicum and their monoamine oxidase inhibitory activity. Chem. Nat. Compd. 2018, 54, 1018–1019. [Google Scholar] [CrossRef]
- Abdel-Fatah, S.S.; El-Batal, A.I.; El-Sherbiny, G.M.; Khalafa, M.A.; El-Sayed, A.S. Production, bioprocess optimization and γ-irradiation of Penicillium polonicum, as a new Taxol producing endophyte from Ginko biloba. Biotechnol. Rep. 2021, 30, e00623. [Google Scholar] [CrossRef] [PubMed]
- Valente, S.; Piombo, E.; Schroeckh, V.; Meloni, G.R.; Heinekamp, T.; Brakhage, A.A.; Spadaro, D. CRISPR-Cas9-based discovery of the verrucosidin biosynthesis gene cluster in Penicillium polonicum. Front. Microbio. 2021, 12, 660871. [Google Scholar] [CrossRef] [PubMed]
- Aranda, E.; Rodríguez, M.; Benito, M.J.; Asensio, M.A.; Córdoba, J.J. Molecular cloning of verrucosidin-producing Penicillium polonicum genes by differential screening to obtain a DNA probe. Int. J. Food Microbiol. 2002, 76, 55–61. [Google Scholar] [CrossRef]
- Meng, L.H.; Li, X.M.; Zhang, F.Z.; Wang, Y.N.; Wang, B.G. Talascortenes A−G, highly oxygenated diterpenoid acids from the sea-anemone-derived endozoic fungus Talaromyces scorteus AS-242. J. Nat. Prod. 2020, 83, 2528–2536. [Google Scholar] [CrossRef] [PubMed]
- Cao, J.; Li, X.M.; Li, X.; Li, H.L.; Konuklugil, B.; Wang, B.G. Uncommon N-methoxyindolediketopiperazines from Acrostalag-mus luteoalbus, a marine algal isolate of endophytic fungus. Chin. J. Chem. 2021, 39, 2808–2814. [Google Scholar] [CrossRef]
- Li, Y.H.; Li, X.M.; Li, X.; Yang, S.Q.; Shi, X.S.; Li, H.L.; Wang, B.G. Antibacterial alkaloids and polyketides from the deep sea-derived fungus Penicillium cyclopium SD-413. Mar. Drugs 2020, 18, 553. [Google Scholar] [CrossRef] [PubMed]
- Grimblat, N.; Zanardi, M.M.; Sarotti, A.M. Beyond DP4: An improved probability for the stereochemical assignment of isomeric compounds using quantum chemical calculations of NMR shifts. J. Org. Chem. 2015, 80, 12526–12534. [Google Scholar] [CrossRef] [PubMed]
- Zhang, H.P.; Timmermann, B.N. Withanolide structural revisions by 13C NMR spectroscopic analysis inclusive of the γ-gauche effect. J. Nat. Prod. 2016, 79, 732–742. [Google Scholar] [CrossRef] [PubMed]
- Frisch, M.J.; Trucks, G.W.; Schlegel, H.B.; Scuseria, G.E.; Robb, M.A.; Cheeseman, J.R.; Scalmani, G.; Barone, V.; Mennucci, B.; Petersson, G.A.; et al. Gaussian09, RevisionC.01, Gaussian, Inc.: Wallingford, CT, USA, 2010.
- Lee, S.R.; Lee, D.; Park, M.; Lee, J.C.; Park, H.; Kang, K.S.; Kim, C.; Beemelmanns, C.; Kim, K.H. Absolute configuration and corrected NMR assignment of 17-hydroxycyclooctatin, a fused 5–8–5 tricyclic diterpene. J. Nat. Prod. 2020, 83, 354–361. [Google Scholar] [CrossRef] [PubMed]










| No | 1 | 2 | 3 | 4 | 5 | 6 |
|---|---|---|---|---|---|---|
| 2 | 5.61, s | 4.52, q (7.0) | ||||
| 5 | 7.19, s | |||||
| 7 | 6.16, s | 6.13, s | 6.08, s | 6.14, s | 6.26, s | 5.92, s |
| 9 | 5.93, s | 5.93, s | 5.63, s | 5.60, s | 5.84, s | 5.83, s |
| 11 | 5.53, s | 5.53, s | 5.62, s | 5.61, s | 5.39, s | 5.54, s |
| 13 | 5.61, s | 5.61, s | 4.63, q (6.4) | 4.63, q (6.4) | 5.56, s | 3.63, s |
| 14 | 1.92, s | 1.21, d (7.0) | ||||
| 15 | 4.62, q (6.4) | 4.61, q (6.4) | 1.94, s | 1.89, s | 4.59, q (6.5) | 4.00, q (6.7) |
| 16 | 1.93, s | 1.95, s | 2.00, s | 1.94, s | 1.57, s | |
| 17 | 1.96, s | 1.89, s | 1.92, s | 1.90, s | 1.76, s | 1.72, s |
| 18 | 2.00, s | 2.00, s | 1.33, s | 1.33, s | 1.94, s | 1.93, s |
| 19 | 1.95, s | 1.95, s | 1.67, s | 1.66, s | 1.58, s | 1.94, s |
| 20 | 1.88, s | 1.87, s | 1.17, d (6.4) | 1.16, d (6.4) | 1.79, s | 1.92, s |
| 21 | 1.33, s | 1.32, s | 3.81, s | 3.60, s | 1.28, s | 1.28, s |
| 22 | 1.66, s | 1.66, s | 1.63, s | 1.39, s | ||
| 23 | 1.16, d (6.4) | 1.16, d (6.4) | 1.12, d (6.5) | 1.11, d (6.7) | ||
| 24 | 3.82, s | 3.84, s | 3.80, s |
| No | 1 | 2 | 3 | 4 | 5 | 6 |
|---|---|---|---|---|---|---|
| 1 | 164.0, C | 162.5, C | 164.0, C | 171.4, C | 164.4, C | 165.3, C |
| 2 | 108.6, C | 87.9, CH | 108.8, C | 45.6, CH | 108.8, C | 89.9, C |
| 3 | 168.0, C | 170.7, C | 168.0, C | 198.5, C | 168.5, C | 177.0, C |
| 4 | 108.9, C | 106.0, C | 108.8, C | 132.9, C | 109.5, C | 111.3, C |
| 5 | 158.6, C | 160.6, C | 158.4, C | 145.5, CH | 155.9, C | 155.4, C |
| 6 | 126.3, C | 126.3, C | 126.3, C | 131.8, C | 125.6, C | 132.3, C |
| 7 | 139.1, CH | 139.1, CH | 138.9, CH | 140.8, CH | 133.0, CH | 135.2, CH |
| 8 | 131.3, C | 131.2, C | 130.1, C | 130.6, C | 131.3, C | 129.7, C |
| 9 | 137.1, CH | 137.1, CH | 138.3, CH | 138.3, CH | 137.3, CH | 134.6, CH |
| 10 | 130.7, C | 130.7, C | 87.3, C | 87.3, C | 130.6, C | 134.4, C |
| 11 | 137.2, CH | 137.2, CH | 127.1, CH | 127.1, CH | 137.7, CH | 132.8, CH |
| 12 | 87.3, C | 87.3, C | 138.4, C | 138.4, C | 87.3, C | 79.4, C |
| 13 | 127.2, CH | 127.3, CH | 81.6, CH | 81.6, CH | 127.2, CH | 66.4, CH |
| 14 | 138.2, C | 138.3, C | 9.9, CH3 | 14.3, CH3 | 138.3, C | 66.9, C |
| 15 | 81.6, CH | 81.6, CH | 11.6, CH3 | 13.0, CH3 | 81.6, CH | 75.9, CH |
| 16 | 9.9, CH3 | 15.9, CH3 | 17.8, CH3 | 10.0, CH3 | 9.9, CH3 | |
| 17 | 11.7, CH3 | 10.8, CH3 | 17.4, CH3 | 17.6, CH3 | 10.5, CH3 | 12.3, CH3 |
| 18 | 16.2, CH3 | 16.2, CH3 | 27.6, CH3 | 27.6, CH3 | 22.7, CH3 | 16.7, CH3 |
| 19 | 17.9, CH3 | 17.9, CH3 | 11.8, CH3 | 11.8, CH3 | 15.7, CH3 | 18.4, CH3 |
| 20 | 17.8, CH3 | 17.9, CH3 | 20.5, CH3 | 20.5, CH3 | 17.7, CH3 | 18.3, CH3 |
| 21 | 27.6, CH3 | 27.7, CH3 | 60.2, CH3 | 51.9, CH3 | 27.6, CH3 | 21.9, CH3 |
| 22 | 11.6, CH3 | 11.8, CH3 | 11.8, CH3 | 13.4, CH3 | ||
| 23 | 20.5, CH3 | 20.5, CH3 | 20.5, CH3 | 18.6, CH3 | ||
| 24 | 60.2, CH3 | 56.7, CH3 | 60.3, CH3 |
| Strains | Compounds | ||||||
|---|---|---|---|---|---|---|---|
| 1 | 2 | 3 | 4 | 6 | 7 | Chloramphenicol b | |
| E. coli | 16 | – a | – | 4.0 | 32 | 32 | 1.0 |
| K. pneumoniae | – | 32 | – | 32 | 16 | – | 4 |
| MRSA | – | – | – | 16 | – | – | 4 |
| P. aeruginosa | 8.0 | 16 | 8.0 | 16 | 16 | 8.0 | 1.0 |
| V. alginolyticus | 8.0 | – | 16 | 8.0 | 8.0 | 32 | 0.5 |
| V. parahemolyticus | 4.0 | 8.0 | – | 16 | 16 | 8.0 | 1.0 |
Publisher’s Note: MDPI stays neutral with regard to jurisdictional claims in published maps and institutional affiliations. |
© 2022 by the authors. Licensee MDPI, Basel, Switzerland. This article is an open access article distributed under the terms and conditions of the Creative Commons Attribution (CC BY) license (https://creativecommons.org/licenses/by/4.0/).
Share and Cite
Li, Y.; Li, X.; Li, X.; Yang, S.; Wang, B.; Li, H. Verrucosidin Derivatives from the Deep Sea Cold-Seep-Derived Fungus Penicillium polonicum CS-252. Int. J. Mol. Sci. 2022, 23, 5567. https://doi.org/10.3390/ijms23105567
Li Y, Li X, Li X, Yang S, Wang B, Li H. Verrucosidin Derivatives from the Deep Sea Cold-Seep-Derived Fungus Penicillium polonicum CS-252. International Journal of Molecular Sciences. 2022; 23(10):5567. https://doi.org/10.3390/ijms23105567
Chicago/Turabian StyleLi, Yanhe, Xiaoming Li, Xin Li, Suiqun Yang, Bingui Wang, and Honglei Li. 2022. "Verrucosidin Derivatives from the Deep Sea Cold-Seep-Derived Fungus Penicillium polonicum CS-252" International Journal of Molecular Sciences 23, no. 10: 5567. https://doi.org/10.3390/ijms23105567
APA StyleLi, Y., Li, X., Li, X., Yang, S., Wang, B., & Li, H. (2022). Verrucosidin Derivatives from the Deep Sea Cold-Seep-Derived Fungus Penicillium polonicum CS-252. International Journal of Molecular Sciences, 23(10), 5567. https://doi.org/10.3390/ijms23105567

