Design and Synthesis of Ranitidine Analogs as Multi-Target Directed Ligands for the Treatment of Alzheimer’s Disease
Abstract
1. Introduction
2. Results and Discussion
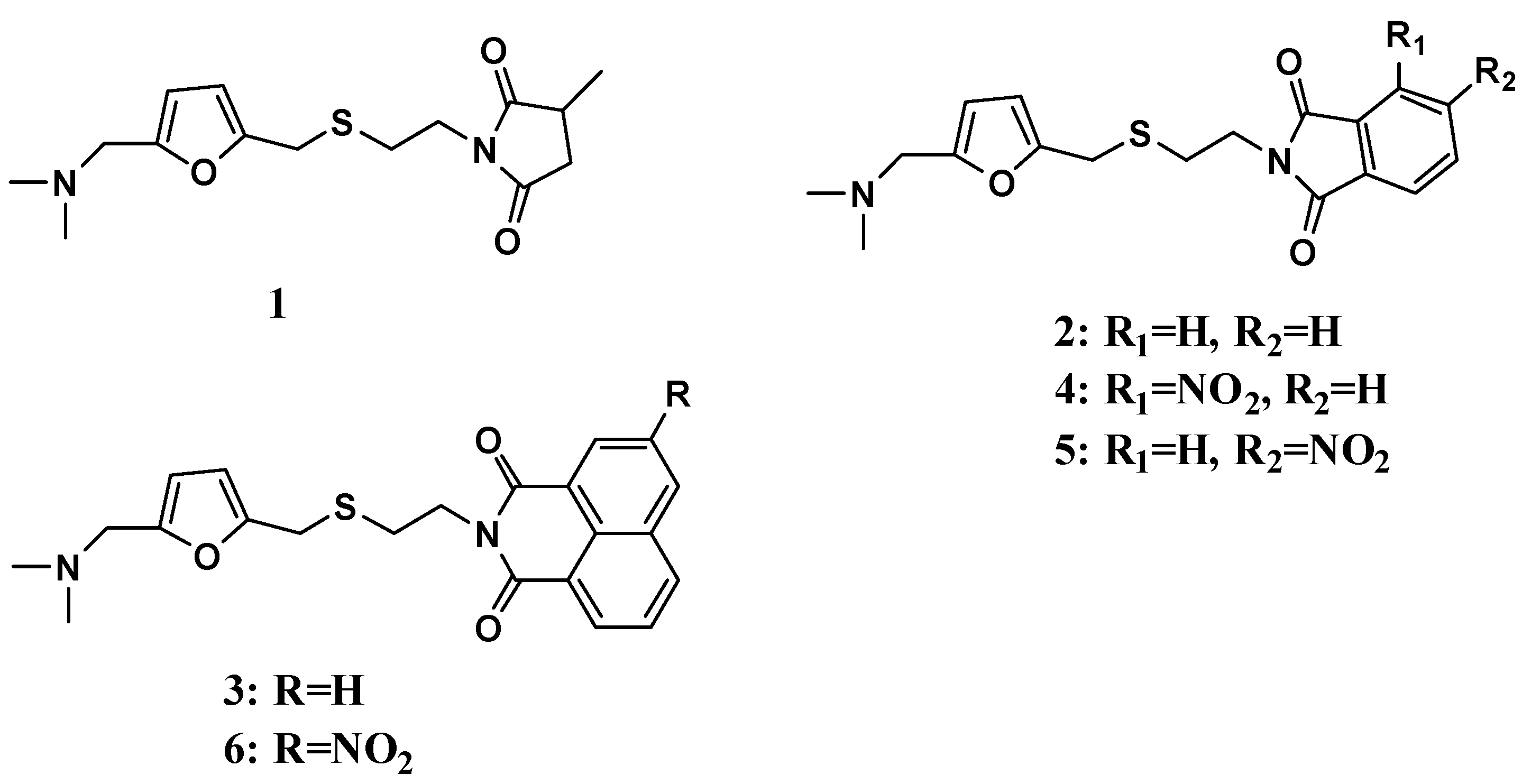
2.1. Aβ Monomer Aggregation Inhibition by Ranitidine Analogs Containing Cyclic Imide Isosteres
2.2. Synthesis of Ranitidine Analogs Containing 1,8-Naphthalimide and Their Inhibitory Activities toward Aβ Aggregation and AChE
3. Materials and Methods
3.1. Materials
3.2. Chemical Synthesis
3.2.1. General Procedure for Compounds 1–10
3.2.2. General Procedure for Compound 12
3.2.3. General Procedure for Compounds 13–15
3.3. Biological Assays
3.3.1. Preparation of Aβ Monomers
3.3.2. Preparation of Ranitidine Analogs
3.3.3. ThT Fluorescence Assay
3.3.4. AChE Inhibition Assay
4. Conclusions
Author Contributions
Funding
Conflicts of Interest
References
- Murphy, M.P.; Le Vine, H., 3rd. Alzheimer’s disease and the amyloid-beta peptide. J. Alzheimers Dis. 2010, 19, 311–323. [Google Scholar] [CrossRef] [PubMed]
- Walsh, D.M.; Selkoe, D.J. A beta oligomers—A decade of discovery. J. Neurochem. 2007, 101, 1172–1184. [Google Scholar] [CrossRef] [PubMed]
- Güntert, A.; Döbeli, H.; Bohrmann, B. High sensitivity analysis of amyloid-beta peptide composition in amyloid deposits from human and PS2APP mouse brain. Neuroscience 2006, 143, 461–475. [Google Scholar] [CrossRef] [PubMed]
- Tjernberg, L.O. Arrest of beta-amyloid fibril formation by a pentapeptide ligand. J. Biol. Chem. 1996, 271, 8545–8548. [Google Scholar] [CrossRef] [PubMed]
- Reinke, A.A.; Gestwicki, J.E. Structure-activity Relationships of Amyloid Beta-aggregation Inhibitors Based on Curcumin: Influence of Linker Length and Flexibility. Chem. Biol. Drug Des. 2007, 70, 206–215. [Google Scholar] [CrossRef] [PubMed]
- Lu, J. Structure-Based Peptide Inhibitor Design of Amyloid-beta Aggregation. Front. Mol. Neurosci. 2019, 12, 54. [Google Scholar] [CrossRef] [PubMed]
- Shuaib, S.; Goyal, B. Scrutiny of the mechanism of small molecule inhibitor preventing conformational transition of amyloid-beta42 monomer: Insights from molecular dynamics simulations. J. Biomol. Struct. Dyn. 2018, 36, 663–678. [Google Scholar] [CrossRef] [PubMed]
- Nie, Q.; Du, X.G.; Geng, M.Y. Small molecule inhibitors of amyloid beta peptide aggregation as a potential therapeutic strategy for Alzheimer’s disease. Acta. Pharmacol. Sin. 2011, 32, 545–551. [Google Scholar] [CrossRef] [PubMed]
- Lee, J.H. Donepezil across the spectrum of Alzheimer’s disease: Dose optimization and clinical relevance. Acta Neurol. Scand. 2015, 131, 259–267. [Google Scholar] [CrossRef] [PubMed]
- Cavalli, A. Multi-target-directed ligands to combat neurodegenerative diseases. J. Med. Chem. 2008, 51, 347–372. [Google Scholar] [CrossRef] [PubMed]
- Gao, J.; Midde, N.; Zhu, J.; Terry, A.V.; McInnes, C.; Chapman, J.M. Synthesis and biological evaluation of ranitidine analogs as multiple-target-directed cognitive enhancers for the treatment of Alzheimer’s disease. Bioorg. Med. Chem. Lett. 2016, 26, 5573–5579. [Google Scholar] [CrossRef] [PubMed]
- Goedert, M.; Spillantini, M.G. A century of Alzheimer’s disease. Science 2006, 314, 777–781. [Google Scholar] [CrossRef] [PubMed]
- Soto-Ortega, D.D. Inhibition of amyloid-beta aggregation by coumarin analogs can be manipulated by functionalization of the aromatic center. Bioorg. Med. Chem. 2011, 19, 2596–2602. [Google Scholar] [CrossRef]
- Gao, J.; Chapman, J. Discovery and Characterization of Novel Naphthalimide Analogs as Potent Multitargeted Directed Ligands against Alzheimer’s Disease. Drug. Dev. Res. 2020. [Google Scholar] [CrossRef] [PubMed]
- Discovery Studio 2.5; Dassault Systemes: Waltham, MA, USA, 2009.
- Ellman, G.L.; Callaway, E. Erythrocyte Cholinesterase-levels in Mental Patients. Nature 1961, 192, 1216. [Google Scholar] [CrossRef] [PubMed]





| Compound | Plateau Reduction (% Inhibition) | Lag Time Extension (Fold Increase) |
|---|---|---|
| 1 | N.E. | 2.8 ± 0.6 |
| 2 | N.E. | N.E. |
| 3 | 60.9% ± 5.7% | N.E. |
| 4 | N.E. | N.E. |
| 5 | 39.1% ± 19.2% | 2.0 ± 0.6 |
| 6 | 71.8% ± 3.9% | N.E. |
| Compound | Plateau Reduction (% Inhibition) | Lag Time Extension (Fold Increase) | AChE (IC50 µM) |
|---|---|---|---|
| 7 | N.E. | N.E. | N.T. |
| 8 | 65.8% ± 3.5% | N.E. | 1.23 |
| 9 | 54.2% ± 5.1% | N.E. | 2.02 |
| 10 | 61.4% ± 19.7% | N.E. | 0.52 |
| 11 | 60.3% ± 9.8% | 1.76 ± 0.61 | N.T. |
| 12 | 65.6% ± 4.1% | 2.25 ± 0.25 | 0.36 |
| 13 | 26.8% ± 10.4% | N.E. | N.T. |
| 14 | 20.1% ± 4.6% | N.E. | N.T. |
| 15 | 20.4% ± 9.6% | N.E. | N.T. |
Publisher’s Note: MDPI stays neutral with regard to jurisdictional claims in published maps and institutional affiliations. |
© 2021 by the authors. Licensee MDPI, Basel, Switzerland. This article is an open access article distributed under the terms and conditions of the Creative Commons Attribution (CC BY) license (http://creativecommons.org/licenses/by/4.0/).
Share and Cite
Gao, J.; Suo, C.; Tseng, J.-H.; Moss, M.A.; Terry, A.V., Jr.; Chapman, J. Design and Synthesis of Ranitidine Analogs as Multi-Target Directed Ligands for the Treatment of Alzheimer’s Disease. Int. J. Mol. Sci. 2021, 22, 3120. https://doi.org/10.3390/ijms22063120
Gao J, Suo C, Tseng J-H, Moss MA, Terry AV Jr., Chapman J. Design and Synthesis of Ranitidine Analogs as Multi-Target Directed Ligands for the Treatment of Alzheimer’s Disease. International Journal of Molecular Sciences. 2021; 22(6):3120. https://doi.org/10.3390/ijms22063120
Chicago/Turabian StyleGao, Jie, Chen Suo, Jui-Heng Tseng, Melissa A. Moss, Alvin V. Terry, Jr., and James Chapman. 2021. "Design and Synthesis of Ranitidine Analogs as Multi-Target Directed Ligands for the Treatment of Alzheimer’s Disease" International Journal of Molecular Sciences 22, no. 6: 3120. https://doi.org/10.3390/ijms22063120
APA StyleGao, J., Suo, C., Tseng, J.-H., Moss, M. A., Terry, A. V., Jr., & Chapman, J. (2021). Design and Synthesis of Ranitidine Analogs as Multi-Target Directed Ligands for the Treatment of Alzheimer’s Disease. International Journal of Molecular Sciences, 22(6), 3120. https://doi.org/10.3390/ijms22063120

