Cationic Phenosafranin Photosensitizers Based on Polyhedral Oligomeric Silsesquioxanes for Inactivation of Gram-Positive and Gram-Negative Bacteria
Abstract
1. Introduction
2. Results and Discussion
2.1. Synthesis and Characterization of Phenosafranin-POSS Photosensitizers
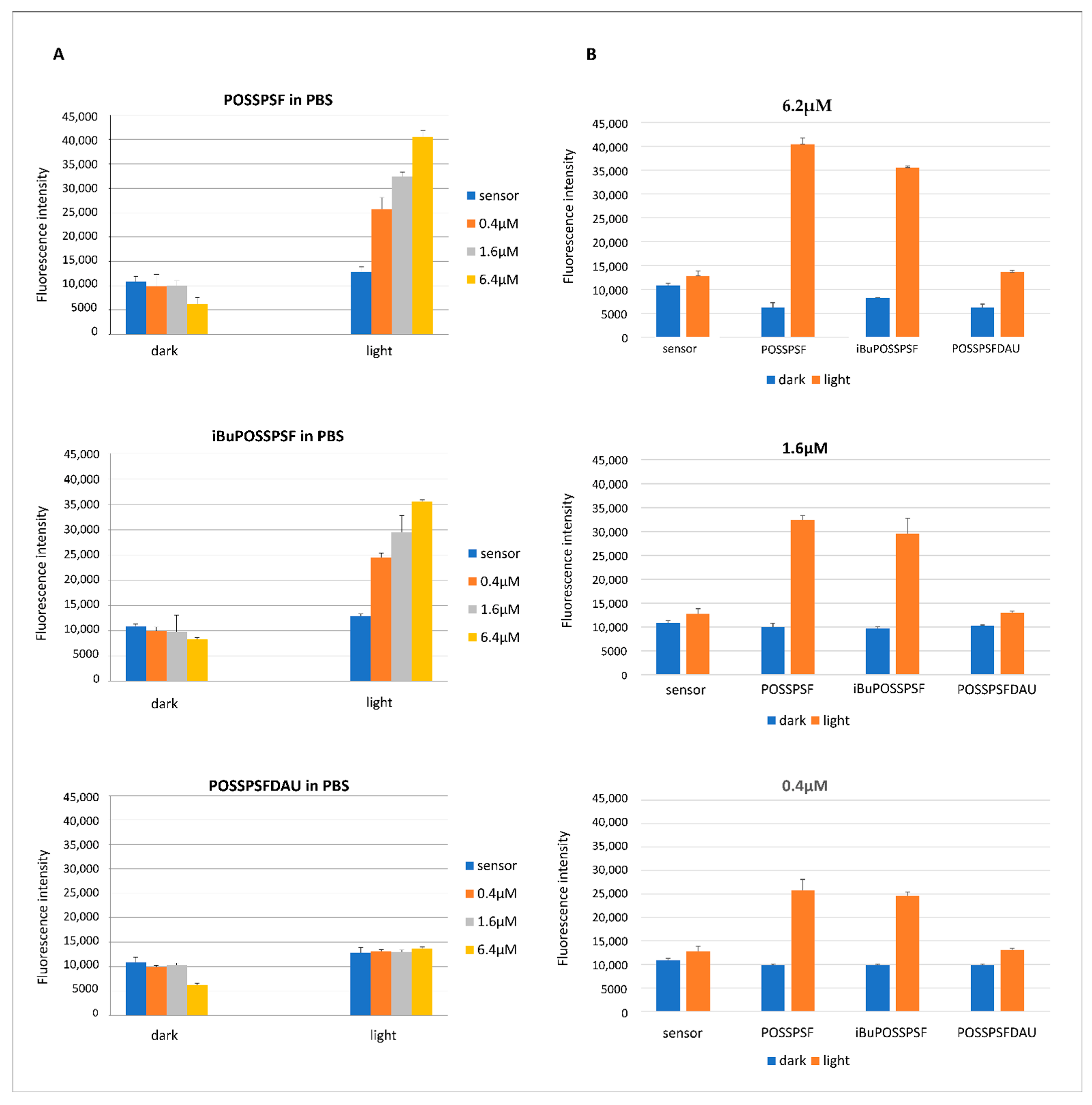
2.2. UV Absorption and Fluorescence Spectroscopic Studies
2.3. Shape and Morphology
2.4. Photoinactivation of Gram-Positive and Gram-Negative Bacteria In Vitro
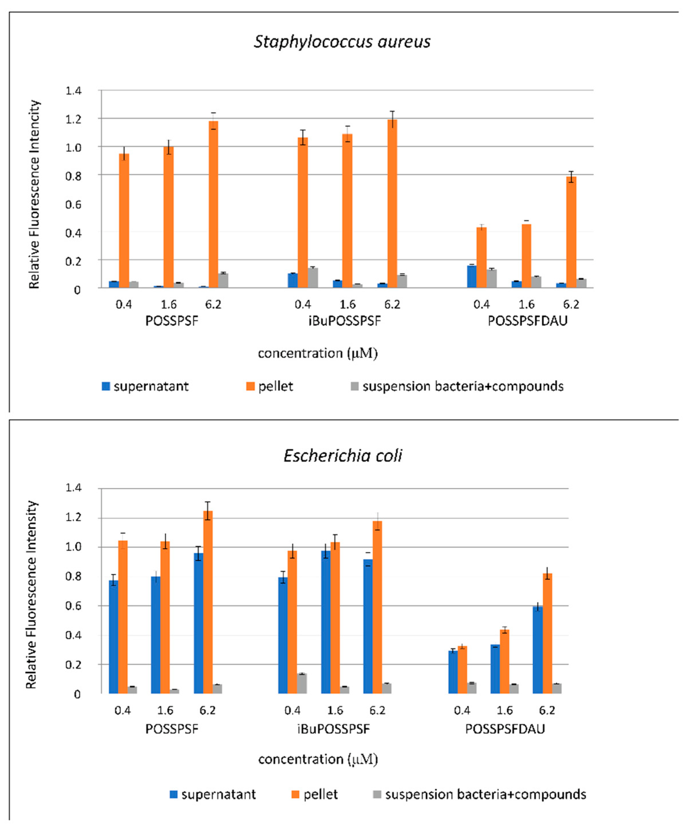
2.5. Antibacterial Mechanism of POSS-Photosensitizers
3. Materials and Methods
3.1. Materials
3.2. Measurements
3.3. Synthesis of the Cationic Phenosafranin-POSS Photosensitizers
3.4. Antibacterial Photodynamic Studies In Vitro
3.5. Determination of Singlet Oxygen [1O2] Production
3.6. Confocal Imaging of Bacterial
3.7. Evaluation of the Binding of POSSPSF, iBuPOSSPSF and POSSPSFDAU to Bacterial Cells
3.8. Transmission Electron Microscopy Assay
3.9. Statistical Analysis
4. Conclusions
Supplementary Materials
Author Contributions
Funding
Institutional Review Board Statement
Informed Consent Statement
Data Availability Statement
Acknowledgments
Conflicts of Interest
References
- Shleeva, M.; Savitsky, A.; Kaprelyants, A. Photoinactivation of mycobacteria to combat infection diseases: Current state and perspectives. Appl. Microbiol. Biotechnol. 2021, 105, 4099–4109. [Google Scholar] [CrossRef]
- Romero, M.P.; Alves, F.; Stringasci, M.D.; Buzzá, H.H.; Ciol, H.; Inada, N.M.; Bagnato, V.S. One-pot microwave-assisted synthesis of carbon dots and in vivo and in vitro antimicrobial photodynamic applications. Front. Microbiol. 2021, 12, 662149. [Google Scholar] [CrossRef]
- Maldonado-Carmona, N.; Ouk, T.S.; Calvete, M.J.F.; Pereira, M.M.; Villandier, N.; Leroy-Lhez, S. Conjugating biomaterials with photosensitizers: Advances and perspectives for photodynamic antimicrobial chemotherapy. Photochem. Photobiol. Sci. 2020, 19, 445–461. [Google Scholar] [CrossRef] [PubMed]
- Ghorbani, J.; Rahban, D.; Aghamiri, S.; Teymouri, A.; Bahador, A. Photosensitizers in antibacterial photodynamic therapy: An overview. Laser Ther. 2018, 27, 293–302. [Google Scholar] [CrossRef] [PubMed]
- Cieplik, F.; Deng, D.; Crielaard, W.; Buchalla, W.; Hellwig, E.; Al-Ahmad, A.; Maisch, T. Antimicrobial photodynamic therapy—What we know and what we don’t. Crit. Rev. Microbiol. 2018, 44, 571–589. [Google Scholar] [CrossRef] [PubMed]
- Jia, Q.; Song, Q.; Li, P.; Huang, W. Rejuvenated photodynamic therapy for bacterial infections. Adv. Healthc. Mater. 2019, 8, 1900608. [Google Scholar] [CrossRef] [PubMed]
- Abrahamse, H.; Hamblin, M.R. New photosensitizers for photodynamic therapy. Biochem. J. 2016, 473, 347–364. [Google Scholar] [CrossRef]
- Hamblin, M.R. Antimicrobial photodynamic inactivation: A bright new technique to kill resistant microbes. Curr. Opin. Microbiol. 2016, 33, 67–73. [Google Scholar] [CrossRef] [PubMed]
- Huang, Y.; Chen, W.; Chung, J.; Yin, J.; Yoon, J. Recent progress in fluorescent probes for bacteria. Chem. Soc. Rev. 2021, 50, 7725–7744. [Google Scholar] [CrossRef] [PubMed]
- Qi, X.N.; Dang, L.R.; Qu, W.J.; Zhang, Y.M.; Yao, H.; Lin, Q.; Wei, T.B. Phenazine derivatives for optical sensing: A review. J. Mater. Chem. C 2020, 8, 11308–11339. [Google Scholar] [CrossRef]
- Pyne, P.; Samanta, N.; Patra, A.; Das, A.; Sen, P.; Mitra, R.K. Polyethylene glycols affect electron transfer rate in phenosafranin-DNA complex. Spectrochim. Acta Part A Mol. Biomol. Spectrosc. 2020, 225, 117464. [Google Scholar] [CrossRef]
- Priya, P.L.; Shanmughavel, P. A docking model of human ribonucleotide reductase with flavin and phenosafranine. Bioinformation 2009, 4, 123–126. [Google Scholar] [CrossRef] [PubMed][Green Version]
- Sen, S.; Paul, B.K.; Guchhait, N. Binding interaction of phenazinium-based cationic photosensitizers with human hemoglobin: Exploring the effects of pH and chemical structure. J. Photochem. Photobiol. B Biol. 2018, 186, 88–97. [Google Scholar] [CrossRef] [PubMed]
- Yang, H.; Liu, K.; Jin, S.; Huigens, R.W. Design, synthesis and biological evaluation of a halogenated phenazine-erythromycin conjugate prodrug for antibacterial applications. Org. Biomol. Chem. 2021, 19, 1483–1487. [Google Scholar] [CrossRef]
- Bao, X.F.; Liu, Z.Y.; Ni, M.; Xia, C.; Xu, S.X.; Yang, S.J.; Zhao, Y. Synthesis and assessment of 3-substituted phenazines as novel antichlamydial agents. Med. Chem. 2020, 16, 413–421. [Google Scholar] [CrossRef]
- Zhong, Y.; Liu, J.; Cheng, X.; Zhang, H.; Zhang, C.; Xia, Z.; Wu, Z.; Zhang, L.; Zheng, Y.; Gao, Z.; et al. Design, synthesis and biological evaluations of diverse Michael acceptor-based phenazine hybrid molecules as TrxR1 inhibitors. Bioorg. Chem. 2021, 109, 104736. [Google Scholar] [CrossRef] [PubMed]
- Huigens, R.W.; Abouelhassan, Y.; Yang, H. Phenazine antibiotic-inspired discovery of bacterial biofilm-eradicating agents. Chem. Bio. Chem. 2019, 20, 2885–2902. [Google Scholar] [CrossRef] [PubMed]
- Look, D.C.; Stoll, L.L.; Romig, S.A.; Humlicek, A.; Britigan, B.E.; Denning, G.M. Pyocyanin and its precursor phenazine-1- carboxylic acid increase IL-8 and intercellular adhesion molecule-1 expression in human airway epithelial cells by oxidant-Dependent mechanisms. J. Immunol. 2005, 175, 4017–4023. [Google Scholar] [CrossRef]
- Imato, K.; Ohira, K.; Yamaguchi, M.; Enoki, T.; Ooyama, Y. Phenazine-based photosensitizers for singlet oxygen generation. Mater. Chem. Front. 2020, 4, 589–596. [Google Scholar] [CrossRef]
- Broglia, M.F.; Bertolotti, S.G.; Previtali, C.M.; Montejano, H.A. Solvatochromic effects on the fluorescence and triplet–triplet absorption of phenosafranine in protic and aprotic solvents. J. Photochem. Photobiol. A Chem. 2006, 180, 143–149. [Google Scholar] [CrossRef]
- Broglia, M.F.; Gómez, M.L.; Bertolotti, S.G.; Montejano, H.A.; Previtali, C.M. Photophysical properties of safranine and phenosafranine—A comparative study by laser flash photolysis and laser induced optoacoustic spectroscopy. J. Photochem. Photobiol. A Chem. 2005, 173, 115–120. [Google Scholar] [CrossRef]
- Sen, S.; Paul, B.K.; Guchhait, N. Interaction of a phenazinium-based photosensitizer with surfaceactive ionic liquid micelles: Investigating the effect of cyclodextrinson SAIL micelles. J. Mol. Liq. 2019, 274, 584–591. [Google Scholar] [CrossRef]
- Sen, S.; Sett, R.; Paul, B.K.; Guchhait, N. Interaction of phenazinium-based photosensitizers with the ‘N’ and ‘B’ isoforms of human serum albumin: Effect of methyl substitution. J. Photochem. Photobiol. B Biol. 2017, 174, 217–228. [Google Scholar] [CrossRef]
- Blauz, A.; Rychlik, B.; Plazuk, D.; Peccati, F.; Gonzalo, J.-O.; Steinke, U.; Sierant, M.; Trzeciak, K.; Skorupska, E.; Miksa, B. Biotin-phenosafranin as a new photosensitive conjugate for targeted therapy and imaging. New J. Chem. 2021, 45, 9691–9702. [Google Scholar] [CrossRef]
- Dong, F.; Lu, L.; Ha, C.-S. Silsesquioxane-containing hybrid nanomaterials: Fascinating platforms for advanced applications. Macromol. Chem. Phys. 2019, 220, 1800324. [Google Scholar] [CrossRef]
- Cordes, D.B.; Lickis, P.D.; Rataboul, F. Recent developments in the chemistry of cubic polyhedral oligosilsesquioxanes. Chem. Rev. 2010, 110, 2081–2173. [Google Scholar] [CrossRef] [PubMed]
- Loman-Cortes, P.; Binte Huq, T.; Vivero-Escoto, J.L. Use of polyhedral oligomeric silsesquioxane (POSS) in drug delivery, photodynamic therapy and bioimaging. Molecules 2021, 26, 6453. [Google Scholar] [CrossRef] [PubMed]
- Fabritz, S.; Hörner, S.; Avrutina, O.; Kolmar, H. Bioconjugation on cube-octameric silsesquioxanes. Org. Biomol. Chem. 2013, 11, 2224–2236. [Google Scholar] [CrossRef]
- Lankoff, A.; Arabski, M.; Wegierek-Ciuk, A.; Kruszewski, M.; Lisowska, H.; Banasik-Nowak, A.; Rozga-Wijas, K.; Wojewodzka, M.; Slomkowski, S. Effect of surface modification of silica nanoparticles on toxicity and cellular uptake by human peripheral blood lymphocytes in vitro. Nanotoxicology 2013, 7, 235–250. [Google Scholar] [CrossRef]
- Hartmann-Thompson, C.; Markovic, E.; Constantopolous, K.; Matisons, J.G. (Eds.) Polyhedral oligomeric silsesquioxanes: From early and strategic development through to materials application. In Applications of Polyhedral Oligomeric Silsesquioxanes Advances in Silicon Science; Springer: Dordrecht, The Netherlands, 2011; Volume 3, pp. 1–46. [Google Scholar]
- Zhu, Y.X.; Jia, H.R.; Chen, Z.; Wu, F.G. Photosensitizer (PS)/polyhedral oligomeric silsesquioxane (POSS)-crosslinked nanohybrids for enhanced imaging-guided photodynamic cancer therapy. Nanoscale 2017, 9, 12874–12884. [Google Scholar] [CrossRef]
- Rozga-Wijas, K.; Stanczyk, W.A.; Kurjata, J.; Kazmierski, S. Star-shaped and linear POSS-polylactide hybrid copolymers. Materials 2015, 8, 4400–4420. [Google Scholar] [CrossRef]
- Siano, P.; Johnston, A.; Loman-Cortes, P.; Zhin, Z.; Vivero-Escoto, J.L. Evaluation of polyhedral oligomeric silsesquioxane porphyrin derivatives on photodynamic therapy. Molecules 2020, 25, 4965. [Google Scholar] [CrossRef] [PubMed]
- Jin, J.G.; Zhu, Y.C.; Zhang, Z.H.; Zhang, W.A. Enhancing the efficacy of photodynamic therapy through a porphyrin/POSS alternating copolymer. Angew. Chem. Int. Ed. 2018, 57, 16354–16358. [Google Scholar] [CrossRef] [PubMed]
- Chen, J.; Shan, J.; Xu, Y.P.; Su, P.; Tong, L.; Yuwen, L.; Weng, L.; Bao, B.; Wang, L. Polyhedral oligomeric silsesquioxane (POSS)-based cationic conjugated oligoelectrolyte/porphyrin for efficient energy transfer and multiamplified antimicrobial activity. ACS Appl. Mater. Interfaces 2018, 10, 34455–34463. [Google Scholar] [CrossRef]
- Chen, J.; Cui, Y.X.; Song, K.W.; Liu, T.Q.; Zhou, L.Y.; Bao, B.Q.; Wang, R.B.; Wang, L.H. The self-assembly of a hybrid photosensitizer for the synergistically enhanced photodynamic/photothermal therapy. Biomater. Sci. 2021, 9, 2115–2123. [Google Scholar] [CrossRef] [PubMed]
- Vranic, S.; Watanabe, E.; Miyakawa, K.; Takeuchi, S.; Osada, Y.; Ichihara, S.; Zong, C.; Wu, W.; Sakurai, T.; Sato, A.; et al. Impact of surface modification on cellular uptake and cytotoxicity of silica nanoparticles. Res. Sq. 2020. [Google Scholar] [CrossRef]
- Rozga-Wijas, K.; Sierant, M. Daunorubicin-silsesquioxane conjugates (POSS-DAU) for theranostic drug delivery system: Characterization, biocompatibility and drug release study. React. Funct. Polym. 2019, 43, 104332. [Google Scholar] [CrossRef]
- Rozga-Wijas, K.; Sierant, M.; Wielgus, E.; Miksa, B.J. Polyhedral octasilsesquioxanes labelled with the photosensitive cationic phenosafranin dye as a new nanocarrier for therapy and cellular imaging. Dye Pigment. 2019, 161, 261–266. [Google Scholar] [CrossRef]
- Laursen, J.B.; Nielsen, J. Phenazine natural products: Biosynthesis, synthetic analogues, and biological activity. Chem. Rev. 2004, 104, 1663–1686. [Google Scholar] [CrossRef] [PubMed]
- Kříž, J.; Konyushenko, E.N.; Trchová, M.; Stejskal, J. NMR investigation of aniline oligomers produced in the oxidation of aniline in alkaline medium. Polym. Int. 2011, 60, 1296–1302. [Google Scholar] [CrossRef]
- Chu, L.L.; Pandey, R.P.; Shin, J.Y.; Jung, H.J.; Sohng, J.K. Synthetic analog of anticancer drug daunorubicin from daunorubicinone using one-pot enzymatic UDP-recycling glycosylation. J. Mol. Catal. B Enzym. 2016, 124, 1–10. [Google Scholar] [CrossRef]
- Rozga-Wijas, K.; Michalski, A. An efficient synthetic route for a soluble silsesquioxane-daunorubicin conjugate. Eur. Polym. J. 2016, 84, 490–501. [Google Scholar] [CrossRef]
- Fouquet, T.; Phan, T.N.; Charles, T.L. Tandem mass spectrometry of electrosprayed polyhedral oligomeric silsesquioxane compounds with different substituents. Rapid Commun. Mass Spectrom. 2012, 26, 765–774. [Google Scholar] [CrossRef] [PubMed]
- Pisoni, D.S.; Todeschini, L.T.; Borges, A.C.A.; Petzhold, C.L.; Rodembusch, F.S.; Campo, L.F. Symmetrical and Asymmetrical Cyanine Dyes. Synthesis, Spectral Properties, and BSA Association Study. J. Org. Chem. 2014, 79, 5511–5520. [Google Scholar] [CrossRef]
- Sett, R.; Paul, B.K.; Guchhaita, N. Unsaturation of the phospholipid side-chain influences its interaction with cyclodextrins: A spectroscopic exploration using a phenazinium dye. Colloids Surf. B Biointerfaces 2019, 180, 150–158. [Google Scholar] [CrossRef] [PubMed]
- Wainwright, M.; McLean, A. Rational design of phenothiazinium derivatives and photoantimicrobial drug discovery. Dye Pigment. 2017, 136, 590–600. [Google Scholar] [CrossRef]
- Ishii, K.; Kondo, S.; Nishimura, Y.; Hamada, M.; Takeuchi, T.; Umezawa, H. Decilorubicin, a new anthracycline antibiotic. J. Antibiot. (Tokyo) 1983, 36, 451–453. [Google Scholar] [CrossRef]
- Andreoni, A.; Land, E.J.; Malatesta, V.; McLean, A.J.; Truscott, T.G. Triplet state characteristics and singlet oxygen generation properties of anthracyclines. Biochim. Biophys. Acta 1989, 990, 190–197. [Google Scholar] [CrossRef]
- Cox, G.; Koteva, K.; Wright, G.D. An unusual class of anthracyclines potentiate Gram-positive antibiotics in intrinsically resistant Gram-negative bacteria. J. Antimicrob. Chemother. 2014, 69, 1844–1855. [Google Scholar] [CrossRef]
- Cholo, M.C.; Steel, H.C.; Fourie, P.B.; Germishuizen, W.A.; Anderson, R. Clofazimine: Current status and future prospects. J. Antimicrob. Chemother. 2012, 67, 290–298. [Google Scholar] [CrossRef] [PubMed]
- Van Rensburg, C.E.J.; Joone, G.K.; O’sullivan, J.F.; Anderson, R. Antimicrobial activities of clofazimine and B669 are mediated by lysophospholipids. Antimicrob. Agents Chemother. 1992, 36, 2729–2735. [Google Scholar] [CrossRef]
- Liu, Y.; Qin, R.; Zaat, S.A.J.; Breukink, E.; Heger, M. Antibacterial photodynamic therapy: Overview of a promising approach to fight antibiotic-resistant bacterial infections. J. Clin. Transl. Res. 2015, 1, 140–167. [Google Scholar] [CrossRef] [PubMed]
- Zerbib, D. Bacterial cell envelopes: Composition, architecture and origin. Handbook of Electroporation 2017, 25, 417–436. [Google Scholar] [CrossRef]
- Hamblin, M.R.; O’Donnell, D.A.; Murthy, N.; Rajagopalan, K.; Michaud, N.; Sherwood, M.E.; Hasan, T. Polycationic photosensi-tizer conjugates: Effects of chain length and gram classification on the photodynamic inactivation of bacteria. J. Antimicrob. Chemother. 2002, 49, 941–951. [Google Scholar] [CrossRef]
- Rozga-Wijas, K.; Fortuniak, W.; Chojnowski, J. Quaternary ammonium salt substituted polyhedral oligosilsesquioxanes (POSSes) as structure directing agents in the generation of porous silica materials. e-Polymers 2011, 29, 321–333. [Google Scholar] [CrossRef]
- Toyofuku, M.; Nomura, N.; Ebetl, L. Types and origins of bacterial membrane vesicles. Nature 2019, 17, 13–24. [Google Scholar] [CrossRef] [PubMed]
- Anes, J.; McCusker, M.P.; Fanning, S.; Martins, M. The ins and outs of RND efflux pumps in Escherichia coli. Front. Microbiol. 2015, 6, 587. [Google Scholar] [CrossRef]
- Costa, S.S.; Viveiros, M.; Amaral, L.; Couto, I. Multidrug efflux pumps in Staphylococcus aureus: An uptade. Open Microbiol. J. 2013, 7 (Suppl. 1-M5), 59–71. [Google Scholar] [CrossRef] [PubMed]
- Fila, G.; Krychowiak, M.; Rychlowski, M.; Bielawski, K.P.; Grinholc, M. Antimicrobial blue light photoinactivation of Pseudomonas aeruginosa: Quorum sensing signaling molecules, biofilm formation and pathogenicity. J. Photobiotonics 2018, 11, e201800079. [Google Scholar] [CrossRef] [PubMed]
- Woźniak, A.; Kruszewska, B.; Pierański, M.K.; Rychłowski, M.; Grinholc, M. Antimicrobial photodynamic inactivation affects the antibiotic susceptibility of Enterococcus spp. clinical isolates in biofilm and planktonic cultures. Biomolecules 2021, 11, 693–711. [Google Scholar] [CrossRef]
- Grabowska, K.; Wachalska, M.; Graul, M.; Rychłowski, M.; Bienkowska-Szewczyk, K.; Lipinska, A.D. Alphaherpesvirus gB homologs are targeted to extracellular vesicles, but they differentially affect MHC class II molecules. Viruses 2020, 12, 429. [Google Scholar] [CrossRef] [PubMed]












| iBuPOSSPSF | POSSAN a) | POSS-PSF | POSS-PSF-DAU | ||||||||
|---|---|---|---|---|---|---|---|---|---|---|---|
| No. | 1H, δ (ppm) | 13C, δ (ppm) | 1H, δ (ppm) | 13C, δ (ppm) | 1H, δ (ppm) | 13C, δ (ppm) | 1H, δ (ppm) | 13C, δ (ppm) | No. | 1H, δ (ppm) | 13C, δ (ppm) |
| a | 0.68 (2H) | 10.5 | 0.13 (6H) | 0.6 | 0.08 (6H) | 0.17 | 0.07 (6H) | 0.19 | 11 | 7.64 (1H) | 120.9 |
| b | 2.46 (2H) | 33.1 | 0.63 (2H) | 16.9 | 0.53 (2H) | 17.9 | 0.51 (2H) | 17.80 | 12 | 7.82 (1H) | 134.0 |
| c | 1.69 (2H) | 25.5 | 1.46 (2H) | 20.18 | 1.28 (2H) | 19.9 | 1.33 (2H) | 20.61 | 13 | 7.91 (1H) | 120.7 |
| d1 d2 | 1.98 (2H) | 35.2 | 1.68 (1H) 1.91 (1H) | 34.0 | 1.40–1.54 (2H) | 35.0 | 1.36 (1H) 1.67 (1H) | 35.13 | 14 14a | - | 160.7 119.0 |
| e | 2.98 (1H) | 42.2 | 3.11 (1H) | 40.27 | 3.18 (1H) | 41.5 | 2.98 (1H) | 40.09 | 15, 15’ 15a | - | 186.5 110.7 |
| f1 f2 | 2.72 (2H) | 35.7 | 2.64 (1H) 3.06 (1H) | 34.21 | 2.31–2.40 (2H) | 36.6 | 2.61 (1H) 2.84 (1H) | 35.20 | 16, 16’ | 13.34 (1H) 14.09 (1H) | 154.5 |
| g, h | - | 173.0 | - | 173.8, 170.3 | - | 173.8 | - | 173.7 | 17 | 4.94 (1H) | 72.1 |
| 1, 1’ | 8.11 (1H, J = 9 Hz) 7.93 (1H, J = 9 Hz) | 133.8 | 8.09 (1H, J = 9 Hz) 7.92 (1H, J = 9 Hz) | 136.6 133.8 | 8.11 (1H) 7.91 (1H) | 136.9 127.7 | 18 | 2.02 (2H) 1.80 | 35.2 | ||
| 2, 2’ | 7.62 (1H) 7.20 (1H, J = 9 Hz, J = 2 Hz) | 125.9 121.0 | 7.63 (1H) 7.21 (1H,J = 9, J = 2 Hz) | 125.1 120.1 | 7.57 (1H) 7.22 (1H) | 120.9 | 19 | 5.58 (1H) | 75.3 | ||
| 3, 3’ | - | 157.2 141.5 | - | 157.0 141.6 | - | 157.14 | 20 | 2.24 (2H) 2.46 | 31.5 | ||
| 4, 4’ | 5.99 (1H) 5.85 (1H, J = 2 Hz) | 93.4 92.7 | 5.91 (1H) 5.81 (1H, J = 2 Hz) | 93.5 92.7 | 6.01 (1H) 5.94 (1H) | 93.5 92.8 | 21 | - | 211.8 | ||
| 5, 5’ | - | 134.2 | - | 134.2 | - | 134.5 | 22 | 2.21 (3H) | 24.1 | ||
| 6 | - | 136.1 | - | 136.1 | - | 136.0 | 23 | 3.99 (3H) | 56.6 | ||
| 7, 7’ | 7.63 (H + H) | 127 | 7.65 (H + H) | 127.5 | 7.69 (H + H) | 130.0 | 24 | 5.25 (1H) | 100.2 | ||
| 8, 8’ | 7.81 (H + H) | 131.0 | 7.7–7.9 (H + H) | 131.5 | 7.78 (H + H) | 133.7 | 25 | 1.51 (2H) 1.86 | 29.6 | ||
| 9 | 7.8 (1H) | 130.6 | 7.8 (1H) | 130.2 | 7.83 (1H) | 136.0 | 26 | 3.87 (1H) | 45.1 | ||
| 10, 10’ | - | 134.8 | ![]() POSSPSFDAU | 134.8 | 27 | 3.56 (1H) | 66.8 | ||||
| a1 | 1.56 (2H) | 22.5 | ![]() iBuPOSSPSF | 28 | 4.27 (1H) | 70.0 | |||||
| a2 | 2.44 (2H) | 30.1 | 29 | 1.19 (3H) | 17.1 | ||||||
| a3 | 0.57 (2H) | 21.8 | NH | 7.50 | - | ||||||
| a4 | 1.78 (1H) | 23.3 | |||||||||
| a5 | 0.91 (6H) | 25.2 | |||||||||
Publisher’s Note: MDPI stays neutral with regard to jurisdictional claims in published maps and institutional affiliations. |
© 2021 by the authors. Licensee MDPI, Basel, Switzerland. This article is an open access article distributed under the terms and conditions of the Creative Commons Attribution (CC BY) license (https://creativecommons.org/licenses/by/4.0/).
Share and Cite
Rozga-Wijas, K.; Bak-Sypien, I.; Turecka, K.; Narajczyk, M.; Waleron, K. Cationic Phenosafranin Photosensitizers Based on Polyhedral Oligomeric Silsesquioxanes for Inactivation of Gram-Positive and Gram-Negative Bacteria. Int. J. Mol. Sci. 2021, 22, 13373. https://doi.org/10.3390/ijms222413373
Rozga-Wijas K, Bak-Sypien I, Turecka K, Narajczyk M, Waleron K. Cationic Phenosafranin Photosensitizers Based on Polyhedral Oligomeric Silsesquioxanes for Inactivation of Gram-Positive and Gram-Negative Bacteria. International Journal of Molecular Sciences. 2021; 22(24):13373. https://doi.org/10.3390/ijms222413373
Chicago/Turabian StyleRozga-Wijas, Krystyna, Irena Bak-Sypien, Katarzyna Turecka, Magdalena Narajczyk, and Krzysztof Waleron. 2021. "Cationic Phenosafranin Photosensitizers Based on Polyhedral Oligomeric Silsesquioxanes for Inactivation of Gram-Positive and Gram-Negative Bacteria" International Journal of Molecular Sciences 22, no. 24: 13373. https://doi.org/10.3390/ijms222413373
APA StyleRozga-Wijas, K., Bak-Sypien, I., Turecka, K., Narajczyk, M., & Waleron, K. (2021). Cationic Phenosafranin Photosensitizers Based on Polyhedral Oligomeric Silsesquioxanes for Inactivation of Gram-Positive and Gram-Negative Bacteria. International Journal of Molecular Sciences, 22(24), 13373. https://doi.org/10.3390/ijms222413373



