3-Pyridinylidene Derivatives of Chemically Modified Lupane and Ursane Triterpenes as Promising Anticancer Agents by Targeting Apoptosis
Abstract
:1. Introduction
2. Results and Discussion
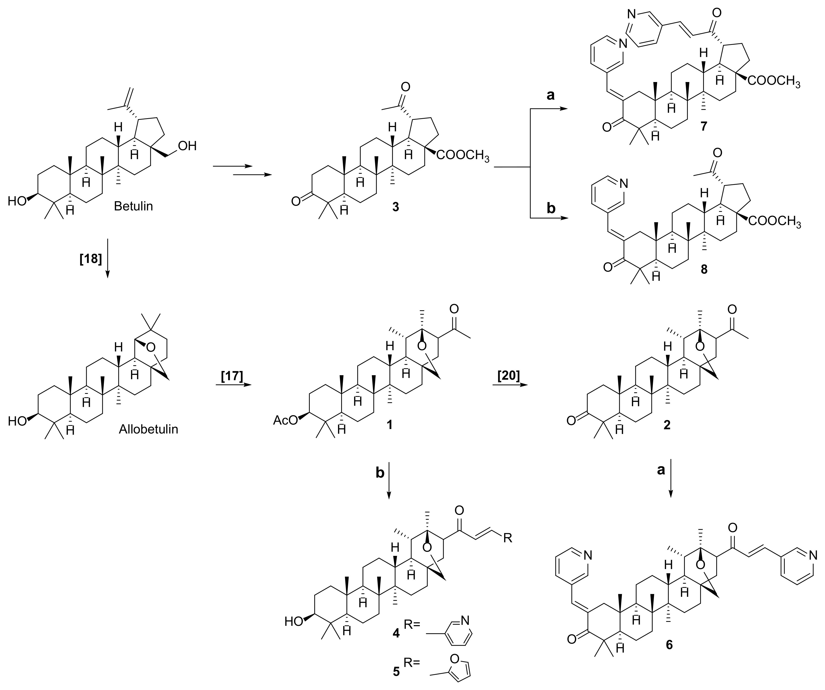
2.1. Chemistry
2.2. Biological Evaluation
2.2.1. In Vitro Screening against NCI-60 Cell Line Panel
2.2.2. Compounds 6 and 7 Induce Nucleus Condensation of A375, RPMI, and SK-MEL-28 Melanoma Cell Lines
2.2.3. Compounds 6 and 7 Induce Changes in Cell Morphology
2.2.4. Compounds 6 and 7 Induce Downregulation and Upregulation of Genes Depending on the Type of Cell Line Assessed
2.2.5. Molecular Docking
2.2.6. Effect of Compounds 6 and 7 on the Normal and Tumor Angiogenesis Process by CAM Assay and Irritation Potential Determination Using the HET-CAM Assay
3. Materials and Methods
3.1. Experimental Part
3.1.1. General
3.1.2. Synthesis of Compounds 4–8
3β-Hydroxy-21-[3-(2E-pyridinyl)-prop-2-en-1-one]-20β,28-epoxy-18α,19βH-ursane 4
3β-Hydroxy-21-[3-(2E-furyl)-prop-2-en-1-one]-20β,28-epoxy-18α,19βH-ursane 5
3-Oxo-2-(3-pyridinylidene)-21-[3-(2E-pyridinyl)-prop-2-en-1-one]-20β,28-epoxy-18α,19βH-ursane 6
Methyl 3,20-dioxo-2-(3-pyridinylidene)-29-nor-lup-28-oate 7
Methyl 3,20-dioxo-2,30-di-(3-pyridinylidene)-29-nor-lup-28-oate 8
3.2. NCI-60 Screening
3.3. Cell Culture
3.4. Cytotoxicity Assay for Healthy Human Cells
3.5. DAPI Assay
3.6. The Chorioallantoic Membrane Assay
HET-CAM Assay
3.7. Molecular Docking
4. Conclusions
Supplementary Materials
Author Contributions
Funding
Institutional Review Board Statement
Informed Consent Statement
Data Availability Statement
Acknowledgments
Conflicts of Interest
References
- De Keersmacker, S.; Meder, S.; Cassidy, D. Europe’s Beating Cancer Plan: A New EU Approach to Prevention, Treatment and Care; European Commission: Brussels, Belgium, 2021. [Google Scholar]
- Siegel, R.L.; Miller, K.D.; Fuchs, H.E.; Jemal, A. Cancer Statistics, 2021. CA Cancer J. Clin. 2021, 71, 7–33. [Google Scholar] [CrossRef]
- International Agency for Research on Cancer. World Health Organization. Available online: https://www.who.int.
- Huang, M.; Lu, J.-J.; Ding, J. Natural Products in Cancer Therapy: Past, Present and Future. Nat. Prod. Bioprospect. 2021, 11, 5–13. [Google Scholar] [CrossRef] [PubMed]
- Cragg, G.M.; Pezzuto, J.M. Natural Products as a Vital Source for the Discovery of Cancer Chemotherapeutic and Chemopreventive Agents. Med. Princ. Pr. 2015, 25, 41–59. [Google Scholar] [CrossRef]
- Khwaza, V.; Oyedeji, O.O.; Aderibigbe, B.A. Ursolic Acid-Based Derivatives as Potential Anti-Cancer Agents: An Update. Int. J. Mol. Sci. 2020, 21, 5920. [Google Scholar] [CrossRef]
- Amiri, S.; Dastghaib, S.; Ahmadi, M.; Mehrbod, P.; Khadem, F.; Behrouj, H.; Aghanoori, M.-R.; Machaj, F.; Ghamsari, M.; Rosik, J.; et al. Betulin and its derivatives as novel compounds with different pharmacological effects. Biotechnol. Adv. 2020, 38, 107409. [Google Scholar] [CrossRef]
- Ayeleso, T.B.; Matumba, M.G.; Mukwevho, E. Oleanolic Acid and Its Derivatives: Biological Activities and Therapeutic Potential in Chronic Diseases. Molecules 2017, 22, 1915. [Google Scholar] [CrossRef] [PubMed] [Green Version]
- Pinzaru, I.; Coricovac, D.; Dehelean, C.; Moacă, E.-A.; Mioc, M.; Baderca, F.; Sizemore, I.; Brittle, S.; Marti, D.; Calina, C.D.; et al. Stable PEG-coated silver nanoparticles—A comprehensive toxicological profile. Food Chem. Toxicol. 2018, 111, 546–556. [Google Scholar] [CrossRef]
- Pinzaru, I.; Trandafirescu, C.; Szabadai, Z.; Mioc, M.; Ledeti, I.; Coricovac, D. Synthesis and Biological Evaluation of Some Pentacyclic Lupane Triterpenoid Esters. Rev. Chim. 2014, 65, 848–851. [Google Scholar]
- Sousa, J.L.C.; Freire, C.S.R.; Silvestre, A.J.D.; Silva, A.M.S. Recent Developments in the Functionalization of Betulinic Acid and Its Natural Analogues: A Route to New Bioactive Compounds. Molecules 2019, 24, 355. [Google Scholar] [CrossRef] [PubMed]
- Sahu, N.K.; Balbhadra, S.S.; Choudhary, J.; Kohli, D.V. Exploring Pharmacological Significance of Chalcone Scaffold: A Review. Curr. Med. Chem. 2012, 19, 209–225. [Google Scholar] [CrossRef]
- Gupta, N.; Rath, S.K.; Singh, J.; Qayum, A.; Singh, S.; Sangwan, P.L. Synthesis of novel benzylidene analogues of betulinic acid as potent cytotoxic agents. Eur. J. Med. Chem. 2017, 135, 517–530. [Google Scholar] [CrossRef]
- Dar, B.A.; Lone, A.M.; Shah, W.A.; Qurishi, M.A. Synthesis and screening of ursolic acid-benzylidine derivatives as potential anti-cancer agents. Eur. J. Med. Chem. 2016, 111, 26–32. [Google Scholar] [CrossRef]
- Wu, P.; Zhang, B.-J.; Cui, X.-P.; Yang, Y.; Jiang, Z.-Y.; Zhou, Z.-H.; Zhong, Y.-Y.; Mai, Y.-Y.; Ouyang, Z.; Chen, H.-S.; et al. Synthesis and biological evaluation of novel ursolic acid analogues as potential α-glucosidase inhibitors. Sci. Rep. 2017, 7, 45578. [Google Scholar] [CrossRef] [PubMed] [Green Version]
- Khusnutdinova, E.; Galimova, Z.; Lobov, A.; Baikova, I.; Kazakova, O.; Thu, H.N.T.; Van Tuyen, N.; Gatilov, Y.; Csuk, R.; Serbian, I.; et al. Synthesis of messagenin and platanic acid chalcone derivatives and their biological potential. Nat. Prod. Res. 2021, 1–10. [Google Scholar] [CrossRef] [PubMed]
- Kazakova, O.B.; Giniyatullina, G.V.; Yamansarov, E.Y.; Tolstikov, G.A. Betulin and ursolic acid synthetic derivatives as inhibitors of Papilloma virus. Bioorg. Med. Chem. Lett. 2010, 20, 4088–4090. [Google Scholar] [CrossRef] [PubMed]
- Khusnutdinova, E.F.; Medvedeva, N.I.; Kazakov, D.V.; Kukovinets, O.S.; Lobov, A.N.; Suponitsky, K.Y.; Kazakova, O. An efficient synthesis of moronic and heterobetulonic acids from allobetulin. Tetrahedron Lett. 2016, 57, 148–151. [Google Scholar] [CrossRef]
- Babaev, M.; Khusnutdinova, E.; Lobov, A.; Galimova, Z.; Petrova, A.; Rybalova, T.; Nguyen, H.T.T.; Meyers, C.; Prichard, M.; Kazakova, O. Allobetulone rearrangement to l8αH,19βH-ursane triterpenoids with antiviral activity. Nat. Prod. Res. 2020, 1–11. [Google Scholar] [CrossRef] [PubMed]
- Kazakova, O.B.; Smirnova, I.E.; Khusnutdinova, E.; Zhukova, O.S.; Fetisova, L.V.; Apryshko, G.N.; Medvedeva, N.I.; Yamansarov, E.Y.; Baikova, I.P.; Nguyen, T.T.; et al. Synthesis and cytotoxicity of allobetulin derivatives. Russ. J. Bioorg. Chem. 2014, 40, 558–567. [Google Scholar] [CrossRef]
- De Boggiatto, M.V.; De Heluani, C.S.; De Fenik, I.J.S.; Catalan, C.A.N. ChemInform Abstract: Regiospecific Functionalization of the Monoterpene Ether 1,3,3-Trimethyl-2-oxabicyclo(2.2.2)octane (1,8-Cineole). Synthesis of the Useful Bridged γ-Lactone 1,3-Dimethyl-2-oxabicyclo(2.2.2)octan-3→5-olide. J. Org. Chem. 1987, 18, 1505–1511. [Google Scholar] [CrossRef]
- Mlala, S.; Oyedeji, A.O.; Gondwe, M.; Oyedeji, O.O. Ursolic Acid and Its Derivatives as Bioactive Agents. Molecules 2019, 24, 2751. [Google Scholar] [CrossRef] [PubMed] [Green Version]
- Feng, A.; Yang, S.; Sun, Y.; Zhang, L.; Bo, F.; Li, L. Development and Evaluation of Oleanolic Acid Dosage Forms and Its Derivatives. BioMed Res. Int. 2020, 2020, 1308749. [Google Scholar] [CrossRef] [PubMed]
- Close, D.A.; Wang, A.X.; Kochanek, S.J.; Shun, T.; Eiseman, J.L.; Johnston, P. Implementation of the NCI-60 Human Tumor Cell Line Panel to Screen 2260 Cancer Drug Combinations to Generate >3 Million Data Points Used to Populate a Large Matrix of Anti-Neoplastic Agent Combinations (ALMANAC) Database. SLAS Discov. Adv. Life Sci. R&D 2019, 24, 242–263. [Google Scholar] [CrossRef] [Green Version]
- Ion, G.N.D.; Olaru, O.T.; Nitulescu, G.; Olaru, I.I.; Tsatsakis, A.; Burykina, T.I.; Spandidos, D.A.; Nitulescu, G.M. Improving the odds of success in antitumoral drug development using scoring approaches towards heterocyclic scaffolds. Oncol. Rep. 2020, 44, 589–598. [Google Scholar] [CrossRef]
- Kim, J.Y.; Koo, H.-M.; Kim, D.S. Development of C-20 modified betulinic acid derivatives as antitumor agents. Bioorg. Med. Chem. Lett. 2001, 11, 2405–2408. [Google Scholar] [CrossRef]
- Kahnt, M.; Heller, L.; Al-Harrasi, A.; Schäfer, R.; Kluge, R.; Wagner, C.; Otgonbayar, C.; Csuk, R. Platanic acid-derived methyl 20-amino-30-norlupan-28-oates are potent cytotoxic agents acting by apoptosis. Med. Chem. Res. 2018, 27, 1757–1769. [Google Scholar] [CrossRef]
- Hoenke, S.; Heise, N.V.; Kahnt, M.; Deigner, H.-P.; Csuk, R. Betulinic acid derived amides are highly cytotoxic, apoptotic and selective. Eur. J. Med. Chem. 2020, 207, 112815. [Google Scholar] [CrossRef] [PubMed]
- Khusnutdinova, E.F.; Kazakova, O.B.; Lobov, A.N.; Kukovinets, O.S.; Suponitsky, K.Y.; Meyers, C.B.; Prichard, M.N. Synthesis of A-ring quinolones, nine-membered oxolactams and spiroindoles by oxidative transformations of 2,3-indolotriterpenoids. Org. Biomol. Chem. 2019, 17, 585–597. [Google Scholar] [CrossRef]
- Vincent, K.M.; Postovit, L.-M. Investigating the utility of human melanoma cell lines as tumour models. Oncotarget 2017, 8, 10498–10509. [Google Scholar] [CrossRef] [Green Version]
- Lawas, M.; Otterstatter, L.M.; Forger, L.V.; Gray, J.E.; Donfack, J. A quantitative method for selecting a hair for nuclear DNA analysis. Forensic Sci. Int. Genet. 2020, 48, 102354. [Google Scholar] [CrossRef]
- Mora, A.K.K.; Khan, S.; Patro, B.S.; Nath, S. Is DAPI assay of cellular nucleic acid reliable in the presence of protein aggregates? Chem. Commun. 2020, 56, 13844–13847. [Google Scholar] [CrossRef]
- Szczurek, A.T.; Prakash, K.; Lee, H.-K.; Żurek-Biesiada, D.J.; Best, G.; Hagmann, M.; Dobrucki, J.; Cremer, C.; Birk, U. Single molecule localization microscopy of the distribution of chromatin using Hoechst and DAPI fluorescent probes. Nucleus 2014, 5, 331–340. [Google Scholar] [CrossRef] [PubMed] [Green Version]
- Obeng, E. Apoptosis (programmed cell death) and its signals—A review. Braz. J. Biol. 2021, 81, 1133–1143. [Google Scholar] [CrossRef] [PubMed]
- Yan, G.; Elbadawi, M.; Efferth, T. Multiple cell death modalities and their key features (Review). World Acad. Sci. J. 2020, 2, 39. [Google Scholar] [CrossRef] [Green Version]
- Van Der Meeren, L.; Verduijn, J.; Krysko, D.V.; Skirtach, A.G. AFM Analysis Enables Differentiation between Apoptosis, Necroptosis, and Ferroptosis in Murine Cancer Cells. Iscience 2020, 23, 101816. [Google Scholar] [CrossRef]
- Rostami, A.; Lambie, M.; Yu, C.W.; Stambolic, V.; Waldron, J.N.; Bratman, S.V. Senescence, Necrosis, and Apoptosis Govern Circulating Cell-free DNA Release Kinetics. Cell Rep. 2020, 31, 107830. [Google Scholar] [CrossRef] [PubMed]
- Hetz, C.; Bono, M.R.; Barros, L.F.; Lagos, R. Microcin E492, a channel-forming bacteriocin from Klebsiella pneumoniae, induces apoptosis in some human cell lines. Proc. Natl. Acad. Sci. USA 2002, 99, 2696–2701. [Google Scholar] [CrossRef] [Green Version]
- Kahnt, M.; Heller, L.; Grabandt, P.; Al-Harrasi, A.; Csuk, R. Platanic acid: A new scaffold for the synthesis of cytotoxic agents. Eur. J. Med. Chem. 2018, 143, 259–265. [Google Scholar] [CrossRef]
- Choudhury, S. A comparative analysis of BCL-2 family. Bioinformation 2019, 15, 299–306. [Google Scholar] [CrossRef] [Green Version]
- Warren, C.F.A.; Wong-Brown, M.W.; Bowden, N.A. BCL-2 family isoforms in apoptosis and cancer. Cell Death Dis. 2019, 10, 1–12. [Google Scholar] [CrossRef] [Green Version]
- Adams, J.; Cory, S. The BCL-2 arbiters of apoptosis and their growing role as cancer targets. Cell Death Differ. 2018, 25, 27–36. [Google Scholar] [CrossRef] [Green Version]
- Lin, K.-W.; Huang, A.-M.; Lin, C.-C.; Chang, C.-C.; Hsu, W.-C.; Hour, T.-C.; Pu, Y.-S.; Lin, C.-N. Anti-cancer effects of ursane triterpenoid as a single agent and in combination with cisplatin in bladder cancer. Eur. J. Pharmacol. 2014, 740, 742–751. [Google Scholar] [CrossRef]
- Salvador, J.A.R.; Moreira, V.; Gonçalves, B.; Leal, A.S.M.; Jing, Y. Ursane-type pentacyclic triterpenoids as useful platforms to discover anticancer drugs. Nat. Prod. Rep. 2012, 29, 1463–1479. [Google Scholar] [CrossRef] [PubMed]
- Xu, T.; Pang, Q.; Wang, Y.; Yan, X. Betulinic acid induces apoptosis by regulating PI3K/Akt signaling and mitochondrial pathways in human cervical cancer cells. Int. J. Mol. Med. 2017, 40, 1669–1678. [Google Scholar] [CrossRef] [PubMed] [Green Version]
- Elmore, S. Apoptosis: A review of programmed cell death. Toxicol. Pathol. 2007, 35, 495–516. [Google Scholar] [CrossRef] [PubMed]
- Carneiro, B.A.; El-Deiry, W.S. Targeting apoptosis in cancer therapy. Nat. Rev. Clin. Oncol. 2020, 17, 395–417. [Google Scholar] [CrossRef] [PubMed]
- Mioc, M.; Avram, S.; Tomescu, A.B.; Chiriac, D.V.; Heghes, A.; Voicu, M.; Voicu, A.; Citu, C.; Kurunczi, L. Docking Study of 3-mercapto-1,2,4-triazole Derivatives as Inhibitors for VEGFR and EGFR. Rev. Chim. 2017, 68, 500. [Google Scholar] [CrossRef]
- Mioc, M.; Avram, S.; Bercean, V.; Kurunczi, L.; Ghiulai, R.M.; Oprean, C.; Coricovac, D.E.; Dehelean, C.; Mioc, A.; Balan-Porcarasu, M.; et al. Design, Synthesis and Biological Activity Evaluation of S-Substituted 1H-5-Mercapto-1,2,4-Triazole Derivatives as Antiproliferative Agents in Colorectal Cancer. Front. Chem. 2018, 6, 373. [Google Scholar] [CrossRef] [Green Version]
- Dehelean, C.A.; Soica, C.; Peev, C.; Gruia, A.T.; Seclaman, E. Physico-chemical and Molecular Analysis of Antitumoral Pen-tacyclic Triterpenes in Complexation with Gamma-cyclodextrin. Rev. Chim. 2008, 59, 887. [Google Scholar]
- Lee, E.; Czabotar, P.; Smith, B.; Deshayes, K.; Zobel, K.; Colman, P.M.; Fairlie, W. Crystal structure of ABT-737 complexed with Bcl-xL: Implications for selectivity of antagonists of the Bcl-2 family. Cell Death Differ. 2007, 14, 1711–1713. [Google Scholar] [CrossRef] [Green Version]
- Adewole, K.E.; Ishola, A.A. Phytosterols and triterpenes from Morinda lucida Benth (Rubiaceae) as potential inhibitors of anti-apoptotic BCL-XL, BCL-2, and MCL-1: An in-silico study. J. Recept. Signal Transduct. 2019, 39, 87–97. [Google Scholar] [CrossRef]
- Saman, H.; Raza, S.S.; Uddin, S.; Rasul, K. Inducing Angiogenesis, a Key Step in Cancer Vascularization, and Treatment Approaches. Cancers 2020, 12, 1172. [Google Scholar] [CrossRef] [PubMed]
- Jiang, X.; Wang, J.; Deng, X.; Xiong, F.; Zhang, S.; Gong, Z.; Li, X.; Cao, K.; Deng, H.; He, Y.; et al. The role of microenvironment in tumor angiogenesis. J. Exp. Clin. Cancer Res. 2020, 39, 1–19. [Google Scholar] [CrossRef] [PubMed]
- Mukherjee, A.; Madamsetty, V.S.; Paul, M.K.; Mukherjee, S. Recent Advancements of Nanomedicine towards Antiangiogenic Therapy in Cancer. Int. J. Mol. Sci. 2020, 21, 455. [Google Scholar] [CrossRef] [PubMed] [Green Version]
- Eckrich, J.; Kugler, P.; Buhr, C.R.; Ernst, B.P.; Mendler, S.; Baumgart, J.; Brieger, J.; Wiesmann, N. Monitoring of tumor growth and vascularization with repetitive ultrasonography in the chicken chorioallantoic-membrane-assay. Sci. Rep. 2020, 10, 1–14. [Google Scholar] [CrossRef]
- Marshall, K.M.; Kanczler, J.M.; Oreffo, R.O. Evolving applications of the egg: Chorioallantoic membrane assay andex vivoorganotypic culture of materials for bone tissue engineering. J. Tissue Eng. 2020, 11, 2041731420942734. [Google Scholar] [CrossRef] [PubMed]
- Merckx, M.G.; Tay, M.H.; Monaco, M.M.L.; van Zandvoort, M.A.; De Spiegelaere, W.; Lambrichts, I.; Bronckaers, A. Chorioallantoic Membrane Assay as Model for Angiogenesis in Tissue Engineering: Focus on Stem Cells. Tissue Eng. Part B Rev. 2020, 26, 519–539. [Google Scholar] [CrossRef]
- Tamanoi, F. Recent excitements in the study of the CAM assay. In The Enzymes; Academic Press: Cambridge, MA, USA, 2019; Volume 46, pp. 1–9. [Google Scholar]
- Dehelean, C.A.; Soica, C.; Peev, C.; Ciurlea, S.; Feflea, S.; Kasa, P. A pharmaco-toxicological evaluation of betulinic acid mixed with hydroxipropilgamma cyclodextrin on in vitro and in vivo models. Farmacia 2011, 59, 51–59. [Google Scholar]
- Sultana, N. Clinically useful anticancer, antitumor, and antiwrinkle agent, ursolic acid and related derivatives as medicinally important natural product. J. Enzym. Inhib. Med. Chem. 2011, 26, 616–642. [Google Scholar] [CrossRef] [PubMed]
- Cárdenas, C.; Quesada, A.R.; Medina, M. Ángel Effects of ursolic acid on different steps of the angiogenic process. Biochem. Biophys. Res. Commun. 2004, 320, 402–408. [Google Scholar] [CrossRef]
- Kiran, M.; Viji, R.; Kumar, V.S.; Sudhakaran, P. Modulation of angiogenic factors by ursolic acid. Biochem. Biophys. Res. Commun. 2008, 371, 556–560. [Google Scholar] [CrossRef]
- Ghiulai, R.; Roşca, O.J.; Antal, D.S.; Mioc, M.; Mioc, A.; Racoviceanu, R.; Macaşoi, I.; Olariu, T.; Dehelean, C.; Creţu, O.M.; et al. Tetracyclic and Pentacyclic Triterpenes with High Therapeutic Efficiency in Wound Healing Approaches. Molecules 2020, 25, 5557. [Google Scholar] [CrossRef] [PubMed]
- Kareva, I.; Abou-Slaybi, A.; Dodd, O.B.; Dashevsky, O.; Klement, G.L. Normal Wound Healing and Tumor Angiogenesis as a Game of Competitive Inhibition. PLoS ONE 2016, 11, e0166655. [Google Scholar] [CrossRef] [PubMed] [Green Version]
- Winter, G.; Koch, A.B.F.; Löffler, J.; Lindén, M.; Solbach, C.; Abaei, A.; Li, H.; Glatting, G.; Beer, A.J.; Rasche, V. Multi-Modal PET and MR Imaging in the Hen’s Egg Test-Chorioallantoic Membrane (HET-CAM) Model for Initial In Vivo Testing of Target-Specific Radioligands. Cancers 2020, 12, 1248. [Google Scholar] [CrossRef] [PubMed]
- Budai, P.; Kormos, É.; Buda, I.; Somody, G.; Lehel, J. Comparative evaluation of HET-CAM and ICE methods for objective assessment of ocular irritation caused by selected pesticide products. Toxicol. Vitr. 2021, 74, 105150. [Google Scholar] [CrossRef] [PubMed]
- Interagency Coordinating Committee on the Validation of Alternative Methods (ICCVAM). ICCVAM-Recommended Test Method Protocol: Hen’ s Egg Test—Chorioallantoic Membrane (HET-CAM) Test Method. ICCVAM Test Method Eval. Rep. 2010, 13, B30–B38. [Google Scholar]
- Luepke, N. Hen’s egg chorioallantoic membrane test for irritation potential. Food Chem. Toxicol. 1985, 23, 287–291. [Google Scholar] [CrossRef]
- Weinstein, J.N.; Myers, T.G.; O’Connor, P.M.; Friend, S.H., Jr.; Fornace, A.J.; Kohn, K.W.; Fojo, T.; Bates, S.E.; Rubinstein, L.V.; Anderson, N.L.; et al. An Information-Intensive Approach to the Molecular Pharmacology of Cancer. Science 1997, 275, 343–349. [Google Scholar] [CrossRef] [Green Version]
- Monks, A.; Scudiero, D.; Skehan, P.; Shoemaker, R.; Paull, K.; Vistica, D.; Hose, C.; Langley, J.; Cronise, P.; Vaigro-Wolff, A.; et al. Feasibility of a High-Flux Anticancer Drug Screen Using a Diverse Panel of Cultured Human Tumor Cell Lines. J. Natl. Cancer Inst. 1991, 83, 757–766. [Google Scholar] [CrossRef]
- Monks, A.; Scudiero, D.A.; Johnson, G.S.; Paull, K.D.; A Sausville, E. The NCI anti-cancer drug screen: A smart screen to identify effectors of novel targets. Anti-Cancer Drug Des. 1997, 12, 533. [Google Scholar]
- Grever, M.R.; Schepartz, S.A.; Chabner, B.A. The National Cancer Institute: Cancer drug discovery and development pro-gram. Semin. Oncol. 1992, 19, 622. [Google Scholar]
- Ghițu, A.; Schwiebs, A.; Radeke, H.H.; Avram, S.; Zupko, I.; Bor, A.; Pavel, I.Z.; Dehelean, C.A.; Oprean, C.; Bojin, F.; et al. A Comprehensive Assessment of Apigenin as an Antiproliferative, Proapoptotic, Antiangiogenic and Immunomodulatory Phytocompound. Nutrients 2019, 11, 858. [Google Scholar] [CrossRef] [Green Version]
- Gheorgheosu, D.; Jung, M.; Ören, B.; Schmid, T.; Dehelean, C.; Muntean, D.M.; Brüne, B. Betulinic acid suppresses NGAL-induced epithelial-to-mesenchymal transition in melanoma. Biol. Chem. 2013, 394, 773–781. [Google Scholar] [CrossRef] [PubMed]
- Ghiulai, R.; Avram, S.; Stoian, D.; Pavel, I.Z.; Coricovac, D.; Oprean, C.; Vlase, L.; Farcas, C.; Mioc, M.; Minda, D.; et al. Lemon Balm Extracts Prevent Breast Cancer Progression In Vitro and In Ovo on Chorioallantoic Membrane Assay. Evid.-Based Complement. Altern. Med. 2020, 2020, 6489159. [Google Scholar] [CrossRef] [PubMed] [Green Version]
- Kishore, A.S.; Surekha, P.A.; Sekhar, P.V.R.; Srinivas, A.; Murthy, P.B. Hen Egg Chorioallantoic Membrane Bioassay: An In Vitro Alternative to Draize Eye Irritation Test for Pesticide Screening. Int. J. Toxicol. 2008, 27, 449–453. [Google Scholar] [CrossRef] [PubMed]
- Coricovac, D.; Farcas, C.; Nica, C.; Pinzaru, I.; Simu, S.; Stoian, D.; Soica, C.; Proks, M.; Avram, S.; Navolan, D.; et al. Ethinylestradiol and Levonorgestrel as Active Agents in Normal Skin, and Pathological Conditions Induced by UVB Exposure: In Vitro and In Ovo Assessments. Int. J. Mol. Sci. 2018, 19, 3600. [Google Scholar] [CrossRef] [Green Version]
- Oprean, C.; Mioc, M.; Csányi, E.; Ambrus, R.; Bojin, F.; Tatu, C.; Cristea, M.; Ivan, A.; Danciu, C.; Dehelean, C.; et al. Improvement of ursolic and oleanolic acids’ antitumor activity by complexation with hydrophilic cyclodextrins. Biomed. Pharmacother. 2016, 83, 1095–1104. [Google Scholar] [CrossRef]
- Jianu, C.; Stoin, D.; Cocan, I.; David, I.; Pop, G.; Lukinich-Gruia, A.; Mioc, M.; Mioc, A.; Șoica, C.; Muntean, D.; et al. In Silico and In Vitro Evaluation of the Antimicrobial and Antioxidant Potential of Mentha × smithiana R. GRAHAM Essential Oil from Western Romania. Foods 2021, 10, 815. [Google Scholar] [CrossRef]
- Berman, H.M.; Westbrook, J.; Feng, Z.; Gilliland, G.; Bhat, T.N.; Weissig, H.; Shindyalov, I.N.; Bourne, P.E. The Protein Data Bank. Nucleic Acids Res. 2000, 28, 235–242. [Google Scholar] [CrossRef] [Green Version]
- Trott, O.; Olson, A.J. AutoDock Vina: Improving the speed and accuracy of docking with a new scoring function, efficient optimization, and multithreading. J. Comput. Chem. 2010, 31, 455–461. [Google Scholar] [CrossRef] [Green Version]

















| Cell Line | Growth Percent | ||||||
|---|---|---|---|---|---|---|---|
| 1 | 2 | 4 | 5 | 6 | 7 | 8 | |
| Leukemia | |||||||
| CCRF-CEM | 64.97 | 104.98 | 30.84 | 100.63 | 17.92 | 0.95 | 7.57 |
| HL-60(TB) | 39.32 | 133.26 | 47.50 | - | 14.49 | −30.17 | −2.67 |
| K-562 | 39.40 | 103.93 | 17.96 | - | 6.51 | −21.61 | 18.29 |
| MOLT-4 | 42.52 | 100.88 | 25.21 | - | 16.72 | −31.34 | 5.47 |
| RPMI-8226 | 47.53 | 102.14 | 9.55 | 105.93 | 5.06 | −28.73 | 2.88 |
| SR | 62.46 | 92.32 | - | - | - | −14.07 | 12.35 |
| Non-Small Cell Lung Cancer | |||||||
| A549/ATCC | 88.63 | 93.03 | 57.76 | 103.89 | −24.64 | −9.34 | 51.40 |
| EKVX | 91.35 | 71.73 | 101.00 | 104.96 | −1.58 | −76.32 | 85.77 |
| HOP-62 | 100.79 | 80.72 | 81.73 | 104.25 | −13.55 | −85.57 | 102.96 |
| HOP-92 | 70.21 | 95.88 | 79.10 | 65.36 | −19.97 | −79.86 | 66.73 |
| NCI-H226 | 91.65 | 95.16 | 76.56 | 99.66 | −13.51 | −44.44 | 48.05 |
| NCI-H23 | 84.77 | 90.60 | 59.51 | 98.55 | −48.71 | −48.31 | 53.20 |
| NCI-H322M | 95.70 | 106.71 | 88.41 | 88.29 | 46.39 | −80.71 | 93.90 |
| NCI-H460 | 84.90 | 94.87 | 40.71 | 109.09 | −45.33 | −78.43 | 70.90 |
| NCI-H522 | 75.59 | - | 37.96 | 87.83 | −34.35 | −59.72 | 47.50 |
| Colon Cancer | |||||||
| COLO 205 | 71.47 | 111.81 | 56.27 | −2.30 | −56.84 | −45.07 | 82.53 |
| HCC-2998 | 92.22 | 109.84 | 69.92 | 104.00 | −67.18 | −55.45 | 75.76 |
| HCT-116 | 41.92 | 100.51 | 14.40 | 100.13 | −45.63 | −87.45 | 3.92 |
| HCT-15 | 38.30 | 111.38 | 38.53 | 105.61 | −15.30 | −46.22 | 23.22 |
| HT29 | 80.13 | 108.96 | 99.49 | 98.06 | 26.36 | −45.47 | 16.53 |
| KM-12 | 78.19 | 102.54 | 54.39 | 99.96 | −55.61 | −74.98 | 60.52 |
| SW-620 | 68.02 | 95.81 | 32.25 | 97.06 | −26.39 | −67.32 | 25.33 |
| CNS Cancer | |||||||
| SF-268 | 97.23 | 90.95 | 81.93 | 96.31 | 7.10 | −80.80 | 68.63 |
| SF-295 | 96.73 | 99.35 | 79.88 | 109.70 | 6.07 | −98.52 | 75.30 |
| SF-539 | 82.82 | 95.15 | 77.76 | 99.66 | −32.36 | −96.48 | 81.03 |
| SNB-19 | 88.73 | 98.03 | 71.61 | 75.34 | 2.48 | −87.62 | 67.72 |
| SNB-75 | 106.15 | 72.80 | 72.76 | 78.39 | 32.69 | −98.68 | 110.35 |
| U251 | 77.27 | 107.36 | 58.63 | 69.38 | −68.02 | −87.90 | 56.61 |
| Melanoma | |||||||
| LOX IMVI | 58.17 | 94.48 | 51.47 | 89.02 | −85.19 | - | - |
| MALME-3M | 81.27 | 109.60 | 54.41 | −11.31 | −33.54 | −95.19 | 29.95 |
| M14 | 74.76 | 107.08 | 60.79 | 34.35 | −20.11 | −80.31 | 56.69 |
| MDA-MB-435 | 83.22 | 100.67 | 34.50 | 17.83 | −7.30 | −69.71 | 72.63 |
| SK-MEL-2 | 92.21 | 105.22 | 87.32 | 9.51 | −25.53 | -61.15 | 68.06 |
| SK-MEL-28 | 80.73 | 109.33 | 66.23 | 36.66 | −17.77 | −96.28 | 31.54 |
| SK-MEL-5 | 47.27 | 100.12 | 37.02 | 8.55 | −82.25 | −98.85 | 39.76 |
| UACC-257 | 84.73 | 103.91 | 49.29 | −8.91 | 13.16 | −58.90 | 58.14 |
| UACC-62 | 49.11 | 85.81 | 41.49 | 7.16 | −25.57 | −67.85 | 34.54 |
| Ovarian Cancer | |||||||
| IGROV1 | 51.77 | 88.93 | 80.59 | 107.89 | 1.25 | −87.88 | 85.80 |
| OVCAR-3 | 84.02 | 119.38 | 46.73 | 102.55 | −43.66 | −93.24 | 49.04 |
| OVCAR-4 | 75.77 | 85.13 | 49.03 | 111.19 | 18.62 | −39.20 | 26.68 |
| OVCAR-5 | 97.46 | 96.55 | 120.62 | 102.21 | −4.00 | −62.74 | 114.28 |
| OVCAR-8 | 92.52 | 104.68 | 35.05 | 99.33 | −13.55 | −34.25 | 38.71 |
| NCI/ADR-RES | 96.25 | 102.89 | 78.87 | 95.25 | 2.97 | −39.38 | 52.54 |
| SK-OV-3 | 98.97 | 118.18 | 77.76 | 102.58 | 58.93 | −23.10 | 93.73 |
| Renal Cancer | |||||||
| 786-0 | 97.17 | 89.64 | 63.59 | 103.94 | −38.97 | −92.26 | 84.87 |
| A498 | - | 67.96 | 72.89 | 96.19 | −59.07 | −91.17 | 80.56 |
| ACHN | 86.11 | 99.80 | 41.58 | 44.33 | −22.16 | −100.00 | 32.49 |
| CAKI-1 | 74.02 | 66.38 | 55.59 | 55.81 | 9.32 | −78.75 | 51.03 |
| RXF 393 | 89.49 | 76.40 | 75.20 | 109.55 | −91.75 | −93.62 | 30.89 |
| SN12C | 88.79 | 87.69 | 62.68 | 100.53 | −17.67 | −77.80 | 57.75 |
| TK-10 | 109.75 | 76.40 | 31.89 | 97.40 | −14.49 | −60.49 | 132.71 |
| UO-31 | 95.19 | 66.99 | 58.69 | 77.02 | −97.34 | −100.00 | 56.64 |
| Prostate Cancer | |||||||
| PC-3 | 48.79 | 87.23 | 21.26 | 92.69 | −3.56 | −14.12 | 24.42 |
| DU-145 | 99.41 | 98.96 | 73.94 | 102.22 | −28.80 | −67.84 | 68.80 |
| Breast Cancer | |||||||
| MCF7 | 56.74 | 90.80 | 23.65 | 101.23 | 9.88 | −54.19 | 19.18 |
| MDA-MB-231/ATCC | 88.35 | 85.22 | 82.10 | 82.90 | −30.71 | −81.32 | 76.56 |
| HS 578T | 98.58 | 103.91 | 81.98 | 95.83 | 11.24 | −49.05 | 74.77 |
| BT-549 | 96.17 | - | 57.24 | 104.50 | −20.09 | −92.12 | 46.03 |
| T-47D | 74.66 | 106.29 | 30.20 | 84.80 | 24.61 | −43.57 | 24.42 |
| MDA-MB-468 | 57.26 | 108.53 | 20.53 | 19.35 | −5.83 | −76.12 | 55.75 |
| Subpanel/Cell Lines (μM) | GI50 Compound 6 | GI50 Compound 7 | GI50 Doxorubicin | Subpanel/Cell Lines (μM) | GI50 Compound 6 | GI50 Compound 7 | GI50 Doxorubicin |
|---|---|---|---|---|---|---|---|
| Leukemia | Melanoma | ||||||
| CCRF-CEM | 0.17 | 0.31 | 0.08 | LOX IMVI | 0.89 | 0.21 | 0.07 |
| HL-60(TB) | 0.56 | 0.25 | 0.12 | MALME-3M | 0.80 | 0.21 | 0.12 |
| K-562 | 0.03 | 0.33 | 0.19 | M14 | 1.74 | 0.31 | 0.18 |
| MOLT-4 | 0.17 | 0.30 | 0.03 | MDA-B-435 | 1.09 | 0.20 | 0.25 |
| RPMI-8226 | 0.16 | 0.24 | 0.08 | SK-MEL-2 | 1.30 | 0.47 | 0.17 |
| SR | 0.16 | 0.27 | 0.03 | SK-MEL-28 | 0.94 | 0.24 | 0.21 |
| Non-Small Cell Lung Cancer | SK-MEL-5 | 0.82 | 0.46 | 0.08 | |||
| A549/ATCC | 1.27 | 0.39 | 0.06 | UACC-257 | 1.67 | 0.27 | 0.14 |
| EKVX | 1.72 | 0.41 | 0.41 | UACC-62 | 0.60 | 0.40 | 0.12 |
| HOP-62 | 1.56 | 0.69 | 0.07 | Ovarian Cancer | |||
| HOP-92 | 0.82 | 0.53 | 0.10 | IGROV1 | 0.96 | 0.27 | 0.17 |
| NCI-H226 | 1.02 | 1.48 | 0.05 | OVCAR-3 | 0.88 | 0.27 | 0.39 |
| NCI-H23 | 1.04 | 0.35 | 0.15 | OVCAR-4 | 1.49 | 0.34 | 0.37 |
| NCI-H322M | 1.82 | 1.48 | - | OVCAR-5 | 1.46 | 0.41 | 0.41 |
| NCI-H460 | 0.89 | 0.83 | 0.02 | OVCAR-8 | 1.60 | 0.34 | 0.10 |
| NCI-H522 | 1.36 | 0.66 | 0.03 | NCI/ADR-RES | 1.70 | 0.43 | 7.16 |
| Colon cancer | SK-OV-3 | 5.90 | 1.43 | 0.22 | |||
| COLO 205 | 1.43 | 0.36 | 0.18 | Renal Cancer | |||
| HCC-2998 | 0.89 | 0.67 | 0.26 | 786-0 | 0.92 | 0.31 | 0.13 |
| HCT-116 | 0.23 | 0.20 | 0.08 | A498 | 0.78 | 0.18 | 0.10 |
| HCT-15 | 1.11 | 0.24 | 6.46 | ACHN | 1.41 | 0.19 | 0.08 |
| HT29 | 1.50 | 0.32 | 0.12 | CAKI-1 | 1.42 | 1.09 | 0.95 |
| KM-12 | 0.91 | 1.08 | 0.27 | RXF 393 | 0.83 | 0.27 | 0.10 |
| SW-620 | 0.98 | 0.30 | 0.09 | SN12C | 0.94 | 0.39 | 0.07 |
| CNS Cancer | TK-10 | 1.83 | 0.65 | - | |||
| SF-268 | 1.31 | 1.01 | 0.10 | UO-31 | 0.64 | 0.17 | 0.49 |
| SF-295 | 1.69 | 0.44 | 0.10 | Breast Cancer | |||
| SF-539 | 1.02 | 0.24 | 0.12 | MCF7 | 0.91 | 0.38 | 0.03 |
| SNB-19 | 0.85 | 0.69 | 0.04 | MDA-MB-231/ATCC | 1.03 | 0.47 | 0.51 |
| SNB-75 | 1.02 | 1.35 | 0.07 | HS 578T | 1.44 | 0.46 | 0.33 |
| U251 | 1.04 | 0.36 | 0.04 | BT-549 | 0.73 | 0.22 | 0.23 |
| Prostate Cancer | T -47D | 1.98 | 0.43 | 0.06 | |||
| PC-3 | 0.26 | 0.42 | 0.32 | MDA-MB-468 | 0.86 | 0.27 | 0.05 |
| DU-145 | 0.93 | 1.53 | 0.11 | ||||
| Healthy cells | |||||||
| HaCaT | 18.56 | 15.42 | - | 1BR3 | 23.05 | 20.87 | - |
| Panel | Leukemia | Non-Small Cell Lung Cancer | Colon Cancer | CNS CANCER | Melanoma | Ovarian Cancer | Renal Cancer | Prostate Cancer | Breast Cancer |
|---|---|---|---|---|---|---|---|---|---|
| SI for 6 | 5.30 | 0.87 | 1.10 | 0.96 | 1.01 | 0.57 | 1.01 | 1.86 | 0.96 |
| SI for 7 | 1.73 | 0.65 | 1.07 | 0.72 | 1.59 | 0.98 | 1.23 | 0.50 | 1.34 |
| Sample | Bcl-XL | Bcl-2 | Bak | Bad | ||||
|---|---|---|---|---|---|---|---|---|
| Mean | Std. Dev | Mean | Std. Dev | Mean | Std. Dev | Mean | Std. Dev | |
| A375 | ||||||||
| DMSO 1 | 1.733 | (1.030) | 0.843 | (0.185) | 1.980 | (0.030) | 4.840 | (2.456) |
| compound 7 | 28.893 ** | (6.866) | 81.120 *** | (15.501) | 17.743 *** | (0.979) | 155.433 * | (67.665) |
| DMSO 1 | 4.550 | (2.694) | 2.216 | (0.485) | 5.200 | (0.085) | 4.840 | (2.456) |
| compound 6 | 0.286 * | (0.136) | 2.570 | (2.670) | 0.546 *** | (0.107) | 0.150 * | (0.036) |
| RPMI | ||||||||
| DMSO 1 | 5.853 | (2.274) | 1.383 | (0.828) | 3.533 | (0.604) | ||
| compound 7 | 1.360 * | (1.232) | 0.313 | (0.172) | 0.990 ** | (0.476) | ||
| DMSO 1 | 4.836 | (2.533) | 1.600 | (0.374) | 1.766 | (0.302) | ||
| compound 6 | 0.100 ** | (0.117) | 0.246 ** | (0.040) | 0.066 *** | (0.023) | ||
| Sk-Mel-28 | ||||||||
| DMSO 1 | 2.423 | (1.890) | 2.573 | (1.015) | 1.383 | (0.249) | 3.460 | (1.935) |
| compound 7 | 3.826 | (2.557) | 0.210 * | (0.100) | 59.543 ** | (16.781) | 65.946 *** | (10.324) |
| DMSO 1 | 1.786 | (1.058) | 2.573 | (1.015) | 1.383 | (0.249) | 3.460 | (1.935) |
| compound 6 | 1.606 | (1.430) | 0.200 * | (0.135) | 22.826 *** | (3.009) | 15.716 ** | (2.176) |
| Target PDB ID | Binding Free Energy ∆G (kcal/mol) | ||
|---|---|---|---|
| Co-Crystallized Ligand | Compound 6 | Compound 7 | |
| 2YXJ | −10.7 | −10.4 | −11.1 |
| 3EQG | −8.8 | 2.2 | −7.9 |
| 2W3L | −10.3 | −5.4 | −7.3 |
| 4OQ5 | −12.2 | 6.5 | −8.3 |
| 4JT5 | −8.5 | 4.6 | −5.1 |
| 4FA6 | −9.3 | 60.4 | 21.1 |
| Test Compound and Controls | Irritation Score | Type of Effect |
|---|---|---|
| Distillate water | 0 | Non irritant |
| SLS 0.5% | 17.03 | Strong irritant |
| DMSO 0.5% | 0.68 | Non irritant |
| C7 | 0 | Non irritant |
| C6 | 0 | Non irritant |
| Protein | PDB ID | Grid Box Center Coordinates | Grid Box Size | Conformers Generated Per Ligand |
|---|---|---|---|---|
| Apoptosis regulator Bcl-X (Bcl-XL) | 2YXJ | center_x = −10.2573467499 center_y = −18.1808412775 center_z = 9.46376920765 | size_x = 18.8213065002 size_y = 30.6345174449 size_z = 10.2997599705 | 8 |
| Dual specificity mitogen-activated protein kinase kinase 1 (MEK1) | 3EQG | center_x = −4.16588471722 center_y = 59.3845284049 center_z = 34.6388482191 | size_x = 14.6058170561 size_y = 16.2060321551 size_z = 8.70490192182 | 8 |
| Apoptosis regulator Bcl-2 (Bcl-2) | 2W3L | center_x = 37.1927426166 center_y = 26.8056607992 center_z = −12.8141402336 | size_x = 15.4649240353 size_y = 13.2408048336 size_z = 13.3102000528 | 8 |
| Induced myeloid leukemia cell differentiation protein (Mcl-1) | 4OQ5 | center_x = 11.6262580805 center_y = 3.65908070556 center_z = 7.90001930158 | size_x = 15.5072934727 size_y = 13.9772309154 size_z = 10.4111215841 | 8 |
| Mamalyan terget of rapamycin- target of rapamycin complex subunit LST8 (mTOR-LST8) | 4JT5 | center_x = 51.5677297505 center_y = −1.9363339261 center_z = −48.4627944976 | size_x = 16.0737519631 size_y = 11.2048088799 size_z = 10.5072207821 | 8 |
| Phosphatidylinositol 4,5-bisphosphate 3-kinase catalytic subunit gamma isoform (PI3Kγ) | 4FA6 | center_x = 44.8020362414 center_y = 13.746321532 center_z = 30.3837942752 | size_x = 14.3022779071 size_y = 10.3234871012 size_z = 8.72203337452 | 8 |
Publisher’s Note: MDPI stays neutral with regard to jurisdictional claims in published maps and institutional affiliations. |
© 2021 by the authors. Licensee MDPI, Basel, Switzerland. This article is an open access article distributed under the terms and conditions of the Creative Commons Attribution (CC BY) license (https://creativecommons.org/licenses/by/4.0/).
Share and Cite
Kazakova, O.; Șoica, C.; Babaev, M.; Petrova, A.; Khusnutdinova, E.; Poptsov, A.; Macașoi, I.; Drăghici, G.; Avram, Ș.; Vlaia, L.; et al. 3-Pyridinylidene Derivatives of Chemically Modified Lupane and Ursane Triterpenes as Promising Anticancer Agents by Targeting Apoptosis. Int. J. Mol. Sci. 2021, 22, 10695. https://doi.org/10.3390/ijms221910695
Kazakova O, Șoica C, Babaev M, Petrova A, Khusnutdinova E, Poptsov A, Macașoi I, Drăghici G, Avram Ș, Vlaia L, et al. 3-Pyridinylidene Derivatives of Chemically Modified Lupane and Ursane Triterpenes as Promising Anticancer Agents by Targeting Apoptosis. International Journal of Molecular Sciences. 2021; 22(19):10695. https://doi.org/10.3390/ijms221910695
Chicago/Turabian StyleKazakova, Oxana, Codruța Șoica, Marat Babaev, Anastasiya Petrova, Elmira Khusnutdinova, Alexander Poptsov, Ioana Macașoi, George Drăghici, Ștefana Avram, Lavinia Vlaia, and et al. 2021. "3-Pyridinylidene Derivatives of Chemically Modified Lupane and Ursane Triterpenes as Promising Anticancer Agents by Targeting Apoptosis" International Journal of Molecular Sciences 22, no. 19: 10695. https://doi.org/10.3390/ijms221910695
APA StyleKazakova, O., Șoica, C., Babaev, M., Petrova, A., Khusnutdinova, E., Poptsov, A., Macașoi, I., Drăghici, G., Avram, Ș., Vlaia, L., Mioc, A., Mioc, M., Dehelean, C., & Voicu, A. (2021). 3-Pyridinylidene Derivatives of Chemically Modified Lupane and Ursane Triterpenes as Promising Anticancer Agents by Targeting Apoptosis. International Journal of Molecular Sciences, 22(19), 10695. https://doi.org/10.3390/ijms221910695

