Syndecan-1 and Free Indoxyl Sulfate Levels Are Associated with miR-126 in Chronic Kidney Disease
Abstract
1. Introduction
2. Results
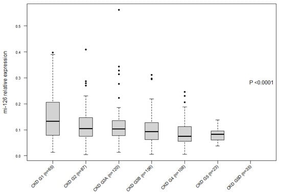
2.1. miR-126 Serum Levels Are Associated with Syndecan-1
2.2. miR-126 Serum Levels Are Associated with Free IS and Total pCG
3. Discussion
4. Material and Methods
4.1. The Study Population
4.2. Ethical Approval
4.3. RNA Extraction and Quantification of Serum miRNA Levels
4.4. Endothelial Dysfunction Markers Quantification
4.5. Uremic Toxins Quantification
4.6. Statistical Analyses
5. Conclusions
Supplementary Materials
Author Contributions
Funding
Acknowledgments
Conflicts of Interest
References
- Chen, T.K.; Knicely, D.H.; Grams, M.E. Chronic Kidney Disease Diagnosis and Management: A Review. JAMA 2019, 322, 1294–1304. [Google Scholar] [CrossRef] [PubMed]
- Sarnak, M.J.; Amann, K.; Bangalore, S.; Cavalcante, J.L.; Charytan, D.M.; Craig, J.C.; Gill, J.S.; Hlatky, M.A.; Jardine, A.G.; Landmesser, U.; et al. Chronic Kidney Disease and Coronary Artery Disease: JACC State-of-the-Art Review. J. Am. Coll. Cardiol. 2019, 74, 1823–1838. [Google Scholar] [CrossRef] [PubMed]
- Porrini, E.; Ruggenenti, P.; Luis-Lima, S.; Carrara, F.; Jiménez, A.; de Vries, A.; Torres, A.; Gaspari, F.; Remuzzi, G. Estimated GFR: Time for a critical appraisal. Nat. Rev. Nephrol. 2019, 15, 177–190. [Google Scholar] [CrossRef] [PubMed]
- Bartel, D.P. MicroRNAs: Target recognition and regulatory functions. Cell 2009, 136, 215–233. [Google Scholar] [CrossRef]
- Metzinger-Le Meuth, V.; Fourdinier, O.; Charnaux, N.; Massy, Z.A.; Metzinger, L. The expanding roles of microRNAs in kidney pathophysiology. Nephrol. Dial. Transplant. 2019, 34, 7–15. [Google Scholar] [CrossRef] [PubMed]
- Fourdinier, O.; Schepers, E.; Meuth, V.M.-L.; Glorieux, G.; Liabeuf, S.; Verbeke, F.; Vanholder, R.; Brigant, B.; Pletinck, A.; Diouf, M. Serum levels of miR-126 and miR-223 and outcomes in chronic kidney disease patients. Sci. Rep. 2019, 9, 4477. [Google Scholar] [CrossRef] [PubMed]
- Mondadori dos Santos, A.; Metzinger, L.; Haddad, O.; M’baya-Moutoula, E.; Taïbi, F.; Charnaux, N.; Massy, Z.A.; Hlawaty, H.; Meuth, M.L. miR-126 Is Involved in Vascular Remodeling under Laminar Shear Stress. Biomed. Res. Int. 2015, 2015, 497280. [Google Scholar] [CrossRef]
- Taïbi, F.; Meuth, V.M.-L.; M’Baya-Moutoula, E.; Djelouat, M.S.E.I.; Louvet, L.; Bugnicourt, J.-M.; Poirot, S.; Bengrine, A.; Chillon, J.-M.; Massy, Z.A.; et al. Possible involvement of microRNAs in vascular damage in experimental chronic kidney disease. Biochim. Biophys. Acta 2014, 1842, 88–98. [Google Scholar] [CrossRef]
- Schober, A.; Nazari-Jahantigh, M.; Wei, Y.; Bidzhekov, K.; Gremse, F.; Grommes, J.; Megens, R.; Heyll, K.; Noels, H.; Hristov, M.; et al. MicroRNA-126-5p promotes endothelial proliferation and limits atherosclerosis by suppressing Dlk1. Nat. Med. 2014, 20, 368–376. [Google Scholar] [CrossRef]
- Zernecke, A.; Bidzhekov, K.; Noels, H.; Shagdarsuren, E.; Gan, L.; Denecke, B.; Hristov, M.; Köppel, T.; Jahantigh, M.N.; Lutgens, E.; et al. Delivery of microRNA-126 by apoptotic bodies induces CXCL12-dependent vascular protection. Sci. Signal. 2009, 2, ra81. [Google Scholar] [CrossRef]
- Scullion, K.M.; Vliegenthart, A.D.B.; Rivoli, L.; Oosthuyzen, W.; Farrah, T.E.; Czopek, A.; Webb, D.J.; Hunter, R.W.; Bailey, M.A.; Dhaun, N.; et al. Circulating argonaute-bound microRNA-126 reports vascular dysfunction and treatment response in acute and chronic kidney disease. iScience 2021, 24, 101937. [Google Scholar] [CrossRef] [PubMed]
- Roumeliotis, S.; Mallamaci, F.; Zoccali, C. Endothelial Dysfunction in Chronic Kidney Disease, from Biology to Clinical Outcomes: A 2020 Update. JCM 2020, 9, 2359. [Google Scholar] [CrossRef] [PubMed]
- Glorieux, G.; Vanholder, R.; Van Biesen, W.; Pletinck, A.; Schepers, E.; Neirynck, N.; Speeckaert, M.; De Bacquer, D.; Verbeke, F. Free P-Cresyl Sulfate Shows The Highest Association with Cardiovascular Outcome In Chronic Kidney Disease. Nephrol. Dial. Transplant. 2021, 36, 998–1005. [Google Scholar] [CrossRef] [PubMed]
- De Luca, M.; Klimentidis, Y.C.; Casazza, K.; Chambers, M.M.; Cho, R.; Harbison, S.T.; Jumbo-Lucioni, P.; Zhang, S.; Leips, J.; Fernández, J.R.; et al. A conserved role for syndecan family members in the regulation of whole-body energy metabolism. PLoS ONE 2010, 5, e11286. [Google Scholar] [CrossRef] [PubMed]
- Chow, F.Y.; Nikolic-Paterson, D.J.; Ozols, E.; Atkins, R.C.; Tesch, G.H. Intercellular Adhesion Molecule-1 Deficiency Is Protective against Nephropathy in Type 2 Diabetic db/db Mice. JASN 2005, 16, 1711–1722. [Google Scholar] [CrossRef]
- Bradshaw, A.D. The role of SPARC in extracellular matrix assembly. J. Cell Commun. Signal. 2009, 3, 239–246. [Google Scholar] [CrossRef]
- Liu, Z.; Tan, R.J.; Liu, Y. The Many Faces of Matrix Metalloproteinase-7 in Kidney Diseases. Biomolecules 2020, 10, 960. [Google Scholar] [CrossRef]
- David, S.; Kümpers, P.; Lukasz, A.; Fliser, D.; Martens-Lobenhoffer, J.; Bode-Böger, S.M.; Kliem, V.; Haller, H.; Kielstein, J.T. Circulating angiopoietin-2 levels increase with progress of chronic kidney disease. Nephrol. Dial. Transplant. 2010, 25, 2571–2576. [Google Scholar] [CrossRef]
- Barreto, F.C.; Barreto, D.V.; Liabeuf, S.; Meert, N.; Glorieux, G.; Temmar, M.; Choukroun, G.; Vanholder, R.; Massy, Z.A.; on behalf of the European Uremic Toxin Work Group (EUTox). Serum indoxyl sulfate is associated with vascular disease and mortality in chronic kidney disease patients. Clin. J. Am. Soc. Nephrol. 2009, 4, 1551–1558. [Google Scholar] [CrossRef]
- Padberg, J.-S.; Wiesinger, A.; Di Marco, G.S.; Reuter, S.; Grabner, A.; Kentrup, D.; Lukasz, A.; Oberleithner, H.; Pavenstädt, H.; Brand, M.; et al. Damage of the endothelial glycocalyx in chronic kidney disease. Atherosclerosis 2014, 234, 335–343. [Google Scholar] [CrossRef]
- Liew, H.; Roberts, M.A.; Pope, A.; McMahon, L.P. Endothelial glycocalyx damage in kidney disease correlates with uraemic toxins and endothelial dysfunction. BMC Nephrol. 2021, 22, 21. [Google Scholar] [CrossRef] [PubMed]
- Jiang, W.; Wang, X.; Geng, X.; Gu, Y.; Guo, M.; Ding, X.; Zhao, S. Novel predictive biomarkers for acute injury superimposed on chronic kidney disease. Nefrología 2021, 41, 165–173. [Google Scholar] [CrossRef] [PubMed]
- Metzinger-Le Meuth, V.; Andrianome, S.; Chillon, J.M.; Bengrine, A.; Massy, Z.A.; Metzinger, L. microRNAs are dysregulated in the cerebral microvasculature of CKD mice. Front. Biosci. (Elite Ed.) 2014, 6, 80–88. [Google Scholar] [CrossRef] [PubMed]
- Bassand, K.; Metzinger, L.; Naïm, M.; Mouhoubi, N.; Haddad, O.; Assoun, V.; Zaïdi, N.; Sainte-Catherine, O.; Butt, A.; Guyot, E.; et al. miR-126-3p is essential for CXCL12-induced angiogenesis. J. Cell Mol. Med. 2021, 25, 6032–6045. [Google Scholar] [CrossRef] [PubMed]
- Fujii, T.; Shimada, K.; Tatsumi, Y.; Fujimoto, K.; Konishi, N. Syndecan-1 responsive microRNA-126 and 149 regulate cell proliferation in prostate cancer. Biochem. Biophys. Res. Commun. 2015, 456, 183–189. [Google Scholar] [CrossRef] [PubMed]
- Lano, G.; Burtey, S.; Sallée, M. Indoxyl Sulfate, a Uremic Endotheliotoxin. Toxins 2020, 12, 229. [Google Scholar] [CrossRef]
- Liabeuf, S.; Drüeke, T.B.; Massy, Z.A. Protein-Bound Uremic Toxins: New Insight from Clinical Studies. Toxins 2011, 3, 911–919. [Google Scholar] [CrossRef]
- Liabeuf, S.; Glorieux, G.; Lenglet, A.; Diouf, M.; Schepers, E.; Desjardins, L.; Choukroun, G.; Vanholder, R.; Massy, Z.A.; European Uremic Toxin (EUTox) Work Group. Does p-cresylglucuronide have the same impact on mortality as other protein-bound uremic toxins? PLoS ONE 2013, 8, e67168. [Google Scholar] [CrossRef]
- Favero, C.; Carriazo, S.; Cuarental, L.; Fernandez-Prado, R.; Gomá-Garcés, E.; Perez-Gomez, M.V.; Ortiz, A.; Fernandez-Fernandez, B.; Sanchez-Niño, M.D. Phosphate, Microbiota and CKD. Nutrients 2021, 13, 1273. [Google Scholar] [CrossRef]
- Six, I.; Flissi, N.; Lenglet, G.; Louvet, L.; Kamel, S.; Gallet, M.; Massy, Z.A.; Liabeuf, S. Uremic Toxins and Vascular Dysfunction. Toxins 2020, 12, 404. [Google Scholar] [CrossRef]
- Carmona, A.; Guerrero, F.; Buendia, P.; Obrero, T.; Aljama, P.; Carracedo, J. Microvesicles Derived from Indoxyl Sulfate Treated Endothelial Cells Induce Endothelial Progenitor Cells Dysfunction. Front. Physiol. 2017, 8, 666. [Google Scholar] [CrossRef]
- Guerrero, F.; Carmona, A.; Obrero, T.; Jiménez, M.J.; Soriano, S.; Moreno, J.A.; Martín-Malo, A.; Aljama, P. Role of endothelial microvesicles released by p-cresol on endothelial dysfunction. Sci. Rep. 2020, 10, 10657. [Google Scholar] [CrossRef]
- Koppe, L.; Alix, P.M.; Croze, M.L.; Chambert, S.; Vanholder, R.; Glorieux, G.; Fouque, D.; Soulage, C.O. p-Cresyl glucuronide is a major metabolite of p-cresol in mouse: In contrast to p-cresyl sulphate, p-cresyl glucuronide fails to promote insulin resistance. Nephrol. Dial. Transplant. 2017, 32, 2000–2009. [Google Scholar] [CrossRef]
- Wen, P.; Song, D.; Ye, H.; Wu, X.; Jiang, L.; Tang, B.; Zhou, Y.; Yafang, Y.; Cao, H.; He, W.; et al. Circulating MiR-133a as a biomarker predicts cardiac hypertrophy in chronic hemodialysis patients. PLoS ONE 2014, 9, e103079. [Google Scholar] [CrossRef] [PubMed][Green Version]
- Abdelsalam, M.; Wahab, A.M.; El Sayed Zaki, M.; Motawea, M. MicroRNA-451 as an Early Predictor of Chronic Kidney Disease in Diabetic Nephropathy. Int. J. Nephrol. 2020, 2020, 8075376. [Google Scholar] [CrossRef] [PubMed]
- Chen, N.X.; Kiattisunthorn, K.; O’Neill, K.D.; Chen, X.; Moorthi, R.N.; Ii, V.H.G.; Allen, M.R.; Moe, S.M. Decreased microRNA is involved in the vascular remodeling abnormalities in chronic kidney disease (CKD). PLoS ONE 2013, 8, e64558. [Google Scholar] [CrossRef] [PubMed]
- Anglicheau, D.; Sharma, V.; Ding, R.; Hummel, A.; Snopkowski, C.; Dadhania, D.; Seshan, S.V.; Suthanthiran, M. MicroRNA expression profiles predictive of human renal allograft status. Proc. Natl. Acad. Sci. USA 2009, 106, 5330–5335. [Google Scholar] [CrossRef] [PubMed]
- Ulbing, M.; Kirsch, A.; Leber, B.; Lemesch, S.; Münzker, J.; Schweighofer, N.; Hofer, D.; Trummer, O.; Rosenkranz, A.; Müller, H.; et al. MicroRNAs 223-3p and 93-5p in patients with chronic kidney disease before and after renal transplantation. Bone 2017, 95, 115–123. [Google Scholar] [CrossRef] [PubMed]
- Moreno, J.A.; Hamza, E.; Guerrero-Hue, M.; Rayego-Mateos, S.; García-Caballero, C.; Vallejo-Mudarra, M.; Metzinger, L.; Meuth, V.M.-L. Non-Coding RNAs in Kidney Diseases: The Long and Short of Them. IJMS 2021, 22, 6077. [Google Scholar] [CrossRef] [PubMed]



| miR-126 | ||
|---|---|---|
| Parameters | ρ | p |
| eGFR (n = 562) | −0.23 | p < 0.0001 |
| Age | −0.23 | p < 0.0001 |
| Platelet count | 0.18 | p < 0.0001 |
| Hemoglobin | 0.24 | p < 0.0001 |
| MMP-7 (n = 515) | −0.23 | p < 0.0001 |
| Sdc-1 (n = 515) | −0.29 | p < 0.0001 |
| VCAM-1 (n = 513) | −0.09 | p = 0.03 |
| ANGPT-2 (n = 515) | −0.05 | p = 0.25 |
| miR-126 | β | p-Value |
|---|---|---|
| eGFR (CKD-Epi) (per 1 mL/min/1.73 m²) | 0.08 | 0.17 |
| Platelet count (per 1/mm3) | 0.12 | 0.005 |
| Hemoglobin (per 1 g/dL) | 0.10 | 0.03 |
| Age (per year) | −0.18 | 0.001 |
| MMP-7 (mg/dL) | −0.07 | 0.17 |
| Sdc-1 (mg/dL) | −0.12 | 0.01 |
| VCAM-1 (mg/dL) | 0.02 | 0.71 |
| miR-126 | Cel-miR-39 | |||
|---|---|---|---|---|
| Parameters | ρ | p | ρ | p |
| Total IS (n = 625) | −0.30 | p < 0.0001 | −0.02 | NS |
| Free IS (n = 625) | −0.33 | p < 0.0001 | −0.02 | NS |
| Total pCS (n = 625) | −0.27 | p < 0.0001 | −0.01 | NS |
| Free pCS (n = 625) | −0.29 | p < 0.0001 | −0.07 | NS |
| Total pCG (n = 625) | −0.27 | p < 0.0001 | −0.02 | NS |
| Free pCG (n = 625) | −0.26 | p < 0.0001 | −0.02 | NS |
| Total IAA (n = 625) | −0.19 | p < 0.0001 | 0.008 | NS |
| Free IAA (n = 625) | −0.25 | p < 0.0001 | −0.06 | NS |
| miR-126 | β | p-Value |
|---|---|---|
| eGFR (CKD-Epi) (per 1 mL/min/1.73 m²) | 0.13 | 0.03 |
| Platelet count (per 1/mm3) | 0.15 | 0.001 |
| Hemoglobin (per 1 g/dL) | 0.13 | 0.003 |
| Age (per year) | −0.13 | 0.01 |
| Sdc-1 (mg/dL) | −0.12 | 0.01 |
| Total IS (mg/dL) | 0.07 | 0.37 |
| Free IS | −0.26 | 0.03 |
| Total pCS (mg/dL) | −0.06 | 0.35 |
| Free pCS | 0.04 | 0.64 |
| Total pCG (mg/dL) | −0.54 | 0.02 |
| Free pCG | 0.58 | 0.11 |
| Total IAA (mg/dL) | −0.10 | 0.34 |
| Free IAA | 0.13 | 0.24 |
Publisher’s Note: MDPI stays neutral with regard to jurisdictional claims in published maps and institutional affiliations. |
© 2021 by the authors. Licensee MDPI, Basel, Switzerland. This article is an open access article distributed under the terms and conditions of the Creative Commons Attribution (CC BY) license (https://creativecommons.org/licenses/by/4.0/).
Share and Cite
Fourdinier, O.; Glorieux, G.; Brigant, B.; Diouf, M.; Pletinck, A.; Vanholder, R.; Choukroun, G.; Verbeke, F.; Massy, Z.A.; Metzinger-Le Meuth, V.; et al. Syndecan-1 and Free Indoxyl Sulfate Levels Are Associated with miR-126 in Chronic Kidney Disease. Int. J. Mol. Sci. 2021, 22, 10549. https://doi.org/10.3390/ijms221910549
Fourdinier O, Glorieux G, Brigant B, Diouf M, Pletinck A, Vanholder R, Choukroun G, Verbeke F, Massy ZA, Metzinger-Le Meuth V, et al. Syndecan-1 and Free Indoxyl Sulfate Levels Are Associated with miR-126 in Chronic Kidney Disease. International Journal of Molecular Sciences. 2021; 22(19):10549. https://doi.org/10.3390/ijms221910549
Chicago/Turabian StyleFourdinier, Ophélie, Griet Glorieux, Benjamin Brigant, Momar Diouf, Anneleen Pletinck, Raymond Vanholder, Gabriel Choukroun, Francis Verbeke, Ziad A. Massy, Valérie Metzinger-Le Meuth, and et al. 2021. "Syndecan-1 and Free Indoxyl Sulfate Levels Are Associated with miR-126 in Chronic Kidney Disease" International Journal of Molecular Sciences 22, no. 19: 10549. https://doi.org/10.3390/ijms221910549
APA StyleFourdinier, O., Glorieux, G., Brigant, B., Diouf, M., Pletinck, A., Vanholder, R., Choukroun, G., Verbeke, F., Massy, Z. A., Metzinger-Le Meuth, V., Metzinger, L., & Group-EUTox, o. b. o. t. E. U. T. W. (2021). Syndecan-1 and Free Indoxyl Sulfate Levels Are Associated with miR-126 in Chronic Kidney Disease. International Journal of Molecular Sciences, 22(19), 10549. https://doi.org/10.3390/ijms221910549

