Percutaneous Coronary Intervention (PCI) Reprograms Circulating Extracellular Vesicles from ACS Patients Impairing Their Cardio-Protective Properties
Abstract
:1. Introduction
2. Results
2.1. Clinical Features of Patients
2.2. EV Characterization
2.3. EV-RIPC and EV-Naive Fail to Protect Cardio-Myocytes from I/R Damage
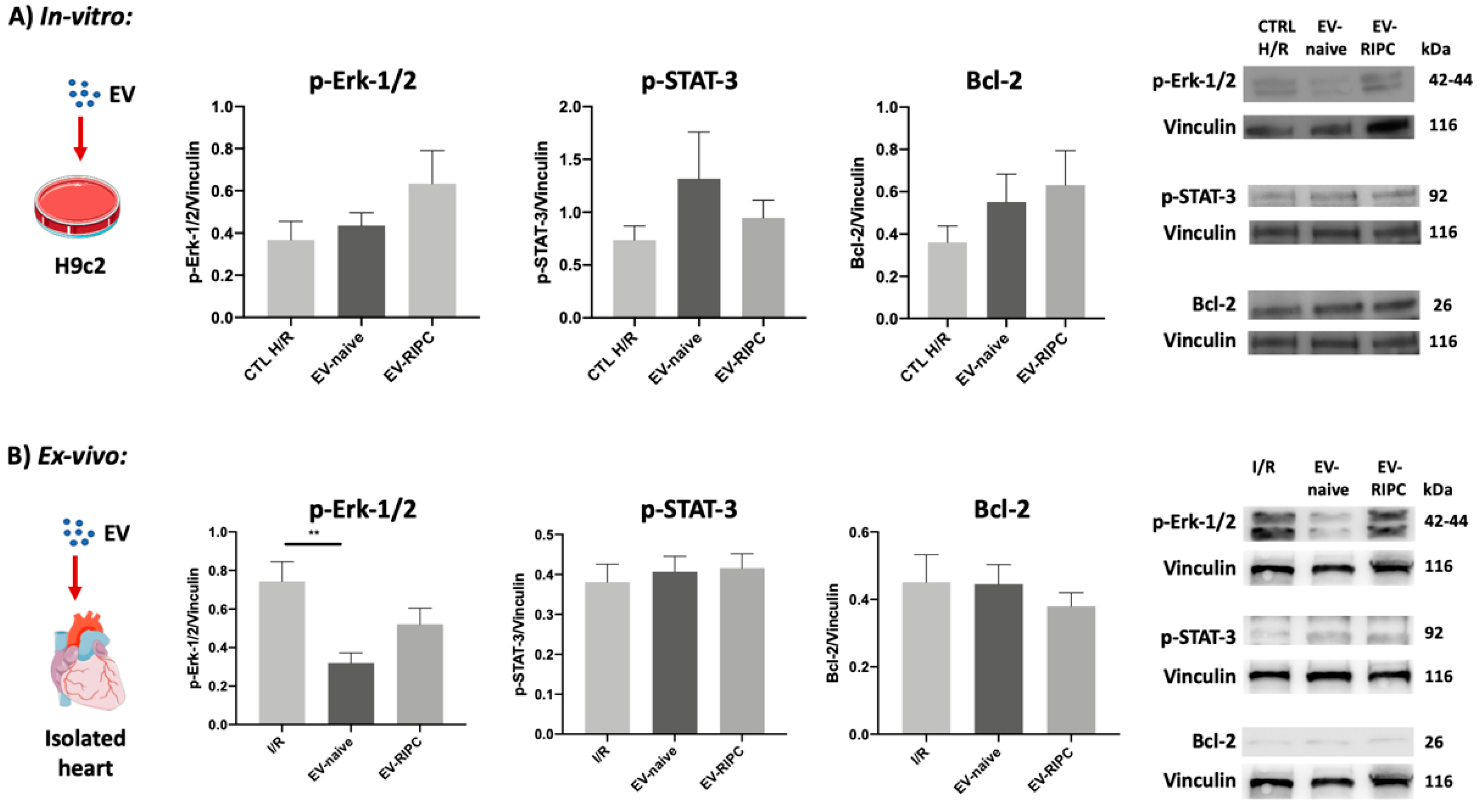
2.4. EV-RIPC and EV-Naive Do Not Trigger Canonical Cardio-Protective Pathways
2.5. Gene Expression Profiling of EV-Naive and EV-RIPC
3. Discussion
4. Materials and Methods
4.1. Study Design
4.2. EV Isolation from Human Serum
4.3. EV Characterization
4.4. Transmission Electron Microscopy (TEM)
4.5. In Vitro Model
4.6. Ex Vivo Model
- (1)
- SHAM group (n = 3) served as non-ischemic hearts (2 h);
- (2)
- I/R group (n = 5): hearts were subjected to I/R protocol [31];
- (3)
- EV-naive (n = 15): hearts were pre-treated with EV-naive (1 × 109/mL) for 10 min before I/R protocol [30];
- (4)
- EV-RIPC (n = 15): hearts were pre-treated with EV-RIPC (1 × 109/mL) for 10 min before I/R protocol [30].
4.7. Infarct Size Analysis
4.8. Microarrays and Ingenuity Analysis
4.9. Western Blot Analysis
4.10. Statistical Analysis
5. Conclusions
Author Contributions
Funding
Institutional Review Board Statement
Informed Consent Statement
Data Availability Statement
Acknowledgments
Conflicts of Interest
References
- Neumann, F.-J.; Uva, M.S.; Ahlsson, A.; Alfonso, F.; Banning, A.P.; Benedetto, U.; Byrne, R.A.; Collet, J.-P.; Falk, V.; Head, S.J.; et al. 2018 ESC/EACTS Guidelines on myocardial revascularization. EuroIntervention 2019, 14, 1435–1534. [Google Scholar] [CrossRef] [Green Version]
- Yellon, D.; Hausenloy, D. Myocardial Reperfusion Injury. N. Engl. J. Med. 2007, 357, 1121–1135. [Google Scholar] [CrossRef]
- Zweier, J.L. Measurement of superoxide-derived free radicals in the reperfused heart. Evidence for a free radical mechanism of reperfusion injury. J. Biol. Chem. 1988, 263, 1353–1357. [Google Scholar] [CrossRef]
- Hess, M.L.; Manson, N.H. Molecular oxygen: Friend and foe: The role of the oxygen free radical system in the calcium paradox, the oxygen paradox and ischemia/reperfusion injury. J. Mol. Cell. Cardiol. 1984, 16, 969–985. [Google Scholar] [CrossRef]
- Garcia-Dorado, D.; Ruiz-Meana, M.; Inserte, J.; Rodriguez-Sinovas, A.; Piper, H.M. Calcium-mediated cell death during myocardial reperfusion. Cardiovasc. Res. 2012, 94, 168–180. [Google Scholar] [CrossRef] [PubMed] [Green Version]
- Lemasters, J.J.; Bond, J.M.; Chacón, E.; Harper, I.S.; Kaplan, S.H.; Ohata, H.; Trollinger, D.R.; Herman, B.; Cascio, W.E. The pH paradox in ischemia-reperfusion injury to cardiac myocytes. Myocard. Ischemia Mech. Reperfus. Prot. 1996, 99–114. [Google Scholar] [CrossRef]
- Vinten-Johansen, J. Involvement of neutrophils in the pathogenesis of lethal myocardial reperfusion injury. Cardiovasc. Res. 2004, 61, 481–497. [Google Scholar] [CrossRef] [Green Version]
- Garcia-Dorado, D.; Ruiz-Meana, M.; Piper, H.M. Lethal reperfusion injury in acute myocardial infarction: Facts and unresolved issues. Cardiovasc. Res. 2009, 83, 165–168. [Google Scholar] [CrossRef] [PubMed] [Green Version]
- Schulman, D.; Latchman, D.S.; Yellon, D. Urocortin protects the heart from reperfusion injury via upregulation of p42/p44 MAPK signaling pathway. Am. J. Physiol. Circ. Physiol. 2002, 283, H1481–H1488. [Google Scholar] [CrossRef] [PubMed] [Green Version]
- Hausenloy, D. New directions for protecting the heart against ischaemia-reperfusion injury: Targeting the Reperfusion Injury Salvage Kinase (RISK)-pathway. Cardiovasc. Res. 2004, 61, 448–460. [Google Scholar] [CrossRef] [Green Version]
- Hausenloy, D.; Tsang, A.; Yellon, D. The Reperfusion Injury Salvage Kinase Pathway: A Common Target for Both Ischemic Preconditioning and Postconditioning. Trends Cardiovasc. Med. 2005, 15, 69–75. [Google Scholar] [CrossRef] [PubMed]
- Hadebe, N.; Cour, M.; Lecour, S. The SAFE pathway for cardioprotection: Is this a promising target? Basic Res. Cardiol. 2018, 113, 9. [Google Scholar] [CrossRef] [PubMed]
- Lecour, S. Activation of the protective Survivor Activating Factor Enhancement (SAFE) pathway against reperfusion injury: Does it go beyond the RISK pathway? J. Mol. Cell. Cardiol. 2009, 47, 32–40. [Google Scholar] [CrossRef] [PubMed]
- Lacerda, L.; Somers, S.; Opie, L.H.; Lecour, S. Ischaemic postconditioning protects against reperfusion injury via the SAFE pathway. Cardiovasc. Res. 2009, 84, 201–208. [Google Scholar] [CrossRef] [Green Version]
- Caccioppo, A.; Franchin, L.; Grosso, A.; Angelini, F.; D’Ascenzo, F.; Brizzi, M.F. Ischemia Reperfusion Injury: Mechanisms of Damage/Protection and Novel Strategies for Cardiac Recovery/Regeneration. Int. J. Mol. Sci. 2019, 20, 5024. [Google Scholar] [CrossRef] [Green Version]
- Hausenloy, D.J.; Yellon, D. Remote ischaemic preconditioning: Underlying mechanisms and clinical application. Cardiovasc. Res. 2008, 79, 377–386. [Google Scholar] [CrossRef] [PubMed]
- Thielmann, M.; Kottenberg, E.; Boengler, K.; Raffelsieper, C.; Neuhaeuser, M.; Peters, J.; Jakob, H.; Heusch, G. Remote ischemic preconditioning reduces myocardial injury after coronary artery bypass surgery with crystalloid cardioplegic arrest. Basic Res. Cardiol. 2010, 105, 657–664. [Google Scholar] [CrossRef]
- Przyklenk, K.; Whittaker, P. Remote Ischemic Preconditioning: Current Knowledge, Unresolved Questions, and Future Priorities. J. Cardiovasc. Pharmacol. Ther. 2011, 16, 255–259. [Google Scholar] [CrossRef]
- Raposo, G.; Stoorvogel, W. Extracellular vesicles: Exosomes, microvesicles, and friends. J. Cell Biol. 2013, 200, 373–383. [Google Scholar] [CrossRef] [PubMed] [Green Version]
- Yáñez-Mó, M.; Siljander, P.R.-M.; Andreu, Z.; Zavec, A.B.; Borras, F.E.; Buzas, E.I.; Buzas, K.; Casal, E.; Cappello, F.; Carvalho, J.; et al. Biological properties of extracellular vesicles and their physiological functions. J. Extracell. Vesicles 2015, 4, 27066. [Google Scholar] [CrossRef] [Green Version]
- Théry, C.; Witwer, K.W.; Aikawa, E.; Alcaraz, M.J.; Anderson, J.D.; Andriantsitohaina, R.; Antoniou, A.; Arab, T.; Archer, F.; Atkin-Smith, G.K.; et al. Minimal information for studies of extracellular vesicles 2018 (MISEV2018): A position statement of the International Society for Extracellular Vesicles and update of the MISEV2014 guidelines. J. Extracell. Vesicles 2018, 7, 1535750. [Google Scholar] [CrossRef] [Green Version]
- Barani, B.; Rajasingh, S.; Rajasingh, J. Exosomes: Outlook for Future Cell-Free Cardiovascular Disease Therapy. Exosomes Cardiovasc. Dis. 2017, 998, 285–307. [Google Scholar] [CrossRef]
- Fleury, A.; Martínez, M.C.; Le Lay, S. Extracellular Vesicles as Therapeutic Tools in Cardiovascular Diseases. Front. Immunol. 2014, 5, 370. [Google Scholar] [CrossRef] [PubMed] [Green Version]
- Loyer, X.; Zlatanova, I.; Devue, C.; Yin, M.; Howangyin, K.-Y.; Klaihmon, P.; Guerin, C.L.; Kheloufi, M.; Vilar, J.; Zannis, K.; et al. Intra-Cardiac Release of Extracellular Vesicles Shapes Inflammation Following Myocardial Infarction. Circ. Res. 2018, 123, 100–106. [Google Scholar] [CrossRef] [PubMed]
- Frey, U.H.; Klaassen, M.; Ochsenfarth, C.; Murke, F.; Thielmann, M.; Kottenberg, E.; Kleinbongard, P.; Klenke, S.; Engler, A.; Heusch, G.; et al. Remote ischaemic preconditioning increases serum extracellular vesicle concentrations with altered micro-RNA signature in CABG patients. Acta Anaesthesiol. Scand. 2018, 63, 483–492. [Google Scholar] [CrossRef]
- Ruf, J.; Vairo, D.; Paganelli, F.; Guieu, R. Extracellular vesicles with ubiquitinated adenosine A2A receptor in plasma of patients with coronary artery disease. J. Cell. Mol. Med. 2019, 23, 6805–6811. [Google Scholar] [CrossRef] [Green Version]
- Paganelli, F.; Gaudry, M.; Ruf, J.; Guieu, R. Recent advances in the role of the adenosinergic system in coronary artery disease. Cardiovasc. Res. 2020, 117, 1284–1294. [Google Scholar] [CrossRef]
- Abel, F.; Murke, F.; Gaida, M.; Garnier, N.; Ochsenfarth, C.; Theiss, C.; Thielmann, M.; Kleinbongard, P.; Giebel, B.; Peters, J.; et al. Extracellular vesicles isolated from patients undergoing remote ischemic preconditioning decrease hypoxia-evoked apoptosis of cardiomyoblasts after isoflurane but not propofol exposure. PLoS ONE 2020, 15, e0228948. [Google Scholar] [CrossRef]
- Zhang, G.; Yang, Y.; Huang, Y.; Zhang, L.; Ling, Z.; Zhu, Y.; Wang, F.; Zou, X.; Chen, M. Hypoxia-induced extracellular vesicles mediate protection of remote ischemic preconditioning for renal ischemia-reperfusion injury. Biomed. Pharmacother. 2017, 90, 473–478. [Google Scholar] [CrossRef]
- D’Ascenzo, F.; Femminò, S.; Ravera, F.; Angelini, F.; Caccioppo, A.; Franchin, L.; Grosso, A.; Comità, S.; Cavallari, C.; Penna, C.; et al. Extracellular vesicles from patients with Acute Coronary Syndrome impact on ischemia-reperfusion injury. Pharmacol. Res. 2021, 170, 105715. [Google Scholar] [CrossRef]
- Penna, C.; Femminò, S.; Tapparo, M.; Lopatina, T.; Fladmark, K.E.; Ravera, F.; Comità, S.; Alloatti, G.; Giusti, I.; Dolo, V.; et al. The Inflammatory Cytokine IL-3 Hampers Cardioprotection Mediated by Endothelial Cell-Derived Extracellular Vesicles Possibly via Their Protein Cargo. Cells 2020, 10, 13. [Google Scholar] [CrossRef]
- Tamareille, S.; Mateus, V.; Ghaboura, N.; Jeanneteau, J.; Croue, A.; Henrion, D.; Furber, A.; Prunier, F. RISK and SAFE signaling pathway interactions in remote limb ischemic perconditioning in combination with local ischemic postconditioning. Basic Res. Cardiol. 2011, 106, 1329–1339. [Google Scholar] [CrossRef] [Green Version]
- Gu, H.; Liu, Z.; Li, Y.; Xie, Y.; Yao, J.; Zhu, Y.; Xu, J.; Dai, Q.; Zhong, C.; Zhu, H.; et al. Serum-Derived Extracellular Vesicles Protect Against Acute Myocardial Infarction by Regulating miR-21/PDCD4 Signaling Pathway. Front. Physiol. 2018, 9, 348. [Google Scholar] [CrossRef] [PubMed] [Green Version]
- Geng, T.; Song, Z.-Y.; Xing, J.-X.; Wang, B.-X.; Dai, S.-P.; Xu, Z.-S. Exosome Derived from Coronary Serum of Patients with Myocardial Infarction Promotes Angiogenesis Through the miRNA-143/IGF-IR Pathway. Int. J. Nanomed. 2020, 15, 2647–2658. [Google Scholar] [CrossRef] [PubMed] [Green Version]
- Davidson, S.M.; Andreadou, I.; Barile, L.; Birnbaum, Y.; A Cabrera-Fuentes, H.; Cohen, M.V.; Downey, J.M.; Girao, H.; Pagliaro, P.; Penna, C.; et al. Circulating blood cells and extracellular vesicles in acute cardioprotection. Cardiovasc. Res. 2018, 115, 1156–1166. [Google Scholar] [CrossRef] [PubMed]
- Zhang, P.; Liang, T.; Wang, X.; Wu, T.; Xie, Z.; Yu, Y.; Yu, H. Serum-Derived Exosomes from Patients with Coronary Artery Disease Induce Endothelial Injury and Inflammation in Human Umbilical Vein Endothelial Cells. Int. Heart J. 2021, 62, 396–406. [Google Scholar] [CrossRef]
- Gan, L.; Xie, D.; Liu, J.; Lau, W.B.; Christopher, T.A.; Lopez, B.; Zhang, L.; Gao, E.; Koch, W.; Ma, X.-L.; et al. Small Extracellular Microvesicles Mediated Pathological Communications Between Dysfunctional Adipocytes and Cardiomyocytes as a Novel Mechanism Exacerbating Ischemia/Reperfusion Injury in Diabetic Mice. Circulation 2020, 141, 968–983. [Google Scholar] [CrossRef] [PubMed]
- Hildebrandt, H.A.; Kreienkamp, V.; Gent, S.; Kahlert, P.; Heusch, G.; Kleinbongard, P. Kinetics and Signal Activation Properties of Circulating Factor(s) From Healthy Volunteers Undergoing Remote Ischemic Pre-Conditioning. JACC Basic Transl. Sci. 2016, 1, 3–13. [Google Scholar] [CrossRef] [Green Version]
- Heusch, G. Critical Issues for the Translation of Cardioprotection. Circ. Res. 2017, 120, 1477–1486. [Google Scholar] [CrossRef] [PubMed] [Green Version]
- Kleinbongard, P.; Bøtker, H.E.; Ovize, M.; Hausenloy, D.; Heusch, G. Co-morbidities and co-medications as confounders of cardioprotection—Does it matter in the clinical setting? Br. J. Pharmacol. 2019, 177, 5252–5269. [Google Scholar] [CrossRef] [PubMed] [Green Version]
- Ferdinandy, P.; Hausenloy, D.; Heusch, G.; Baxter, G.F.; Schulz, R. Interaction of Risk Factors, Comorbidities, and Comedications with Ischemia/Reperfusion Injury and Cardioprotection by Preconditioning, Postconditioning, and Remote Conditioning. Pharmacol. Rev. 2014, 66, 1142–1174. [Google Scholar] [CrossRef] [PubMed]
- Hausenloy, D.J.; Kharbanda, R.K.; Møller, U.K.; Ramlall, M.; Aarøe, J.; Butler, R.; Bulluck, H.; Clayton, T.; Dana, A.; Dodd, M.; et al. Effect of remote ischaemic conditioning on clinical outcomes in patients with acute myocardial infarction (CONDI-2/ERIC-PPCI): A single-blind randomised controlled trial. Lancet 2019, 394, 1415–1424. [Google Scholar] [CrossRef] [Green Version]
- Bøtker, H.E.; Hausenloy, D.; Andreadou, I.; Antonucci, S.; Boengler, K.; Davidson, S.; Deshwal, S.; Devaux, Y.; Di Lisa, F.; Di Sante, M.; et al. Practical guidelines for rigor and reproducibility in preclinical and clinical studies on cardioprotection. Basic Res. Cardiol. 2018, 113, 1–73. [Google Scholar] [CrossRef] [PubMed] [Green Version]
- Hausenloy, D.; Barrabés, J.A.; Bøtker, H.E.; Davidson, S.; Di Lisa, F.; Downey, J.; Engstrom, T.; Ferdinandy, P.; Carbrera-Fuentes, H.A.; Heusch, G.; et al. Ischaemic conditioning and targeting reperfusion injury: A 30 year voyage of discovery. Basic Res. Cardiol. 2016, 111, 1–24. [Google Scholar] [CrossRef] [Green Version]
- Hausenloy, D.J. Cardioprotection Techniques: Preconditioning, Postconditioning and Remote Con-ditioning (Basic Science). Curr. Pharm. Des. 2013, 19, 4544–4563. [Google Scholar] [CrossRef] [Green Version]
- Wang, A.; Zhang, H.; Liang, Z.; Xu, K.; Qiu, W.; Tian, Y.; Guo, H.; Jia, J.; Xing, E.; Chen, R.; et al. U0126 attenuates ischemia/reperfusion-induced apoptosis and autophagy in myocardium through MEK/ERK/EGR-1 pathway. Eur. J. Pharmacol. 2016, 788, 280–285. [Google Scholar] [CrossRef]
- Skyschally, A.; Gent, S.; Amanakis, G.; Schulte, C.; Kleinbongard, P.; Heusch, G. Across-Species Transfer of Protection by Remote Ischemic Preconditioning with Species-Specific Myocardial Signal Transduction by Reperfusion Injury Salvage Kinase and Survival Activating Factor Enhancement Pathways. Circ. Res. 2015, 117, 279–288. [Google Scholar] [CrossRef] [Green Version]
- Lips, D.J.; Bueno, O.F.; Wilkins, B.J.; Purcell, N.H.; Kaiser, R.A.; Lorenz, J.N.; Voisin, L.; Saba-El-Leil, M.K.; Meloche, S.; Pouysségur, J.; et al. MEK1-ERK2 Signaling Pathway Protects Myocardium from Ischemic Injury In Vivo. Circulation 2004, 109, 1938–1941. [Google Scholar] [CrossRef] [Green Version]
- Rossello, X.; Yellon, D.M. The RISK pathway and beyond. Basic Res. Cardiol. 2017, 113, 1–5. [Google Scholar] [CrossRef] [Green Version]
- Naureen, J.; Debabrata, M. Exosomes and their role in the micro-/macro-environment: A comprehensive review. J. Biomed. Res. 2017, 31, 386–394. [Google Scholar] [CrossRef]
- Lombardo, G.; Dentelli, P.; Togliatto, G.; Rosso, A.; Gili, M.; Gallo, S.; Deregibus, M.C.; Camussi, G.; Brizzi, M.F. Activated Stat5 trafficking Via Endothelial Cell-derived Extracellular Vesicles Controls IL-3 Pro-angiogenic Paracrine Action. Sci. Rep. 2016, 6, 25689. [Google Scholar] [CrossRef] [Green Version]
- Li, B.; Li, L.; Zhang, Q.; Zhang, H.; Xiu, R. Effects of tumor necrosis factor-α-induced exosomes on the endothelial cellular behavior, metabolism and bioenergetics. Microcirculation 2018, 26, e12515. [Google Scholar] [CrossRef] [Green Version]
- Chen, G.; Fan, X.; Li, Y.; He, L.; Wang, S.; Dai, Y.; Bin, C.; Zhou, D.; Lin, H. Promoter aberrant methylation status of ADRA1A is associated with hepatocellular carcinoma. Epigenetics 2020, 15, 684–701. [Google Scholar] [CrossRef] [PubMed]
- Moradifard, S.; Minuchehr, Z.; Ganji, S.M. An Investigation on the c-MYC, AXIN1, and COL11A1 gene expression in colorectal cancer. Biotechnol. Appl. Biochem. 2021. [Google Scholar] [CrossRef] [PubMed]
- Kaprio, H.; Heuser, V.D.; Orte, K.; Tukiainen, M.; Leivo, I.; Gardberg, M. Expression of Transcription Factor CREM in Human Tissues. J. Histochem. Cytochem. 2021, 69, 495–509. [Google Scholar] [CrossRef] [PubMed]
- Xu, R.; Huang, X.; Li, C.; Deng, C.; Li, M.; Wu, P.; Geng, S.; Lai, P.; Lu, Z.; Weng, J.; et al. Bone marrow mesenchymal stromal cells in chronic myelomonocytic leukaemia: Overactivated WNT/β-catenin signalling by parallel RNA sequencing and dysfunctional phenotypes. Br. J. Haematol. 2021. [Google Scholar] [CrossRef]
- Liu, Z.; Ye, Q.; Wu, L.; Gao, F.; Xie, H.; Zhou, L.; Zheng, S.; Xu, X. Metallothionein 1 family profiling identifies MT1X as a tumor suppressor involved in the progression and metastastatic capacity of hepatocellular carcinoma. Mol. Carcinog. 2018, 57, 1435–1444. [Google Scholar] [CrossRef]
- Skyschally, A.; Kleinbongard, P.; Lieder, H.R.; Gedik, N.; Stoian, L.; Amanakis, G.; Elbers, E.; Heusch, G.; Gedik, N. Humoral transfer and intramyocardial signal transduction of protection by remote ischemic perconditioning in pigs, rats, and mice. Am. J. Physiol. Circ. Physiol. 2018, 315, H159–H172. [Google Scholar] [CrossRef]
- Deregibus, M.C.; Figliolini, F.; D’Antico, S.; Manzini, P.M.; Pasquino, C.; De Lena, M.; Tetta, C.; Brizzi, M.F.; Camussi, G. Charge-based precipitation of extracellular vesicles. Int. J. Mol. Med. 2016, 38, 1359–1366. [Google Scholar] [CrossRef] [Green Version]
- Wiklander, O.P.B.; Bostancioglu, R.B.; Welsh, J.; Zickler, A.M.; Murke, F.; Corso, G.; Felldin, U.; Hagey, D.; Evertsson, B.; Liang, X.-M.; et al. Systematic Methodological Evaluation of a Multiplex Bead-Based Flow Cytometry Assay for Detection of Extracellular Vesicle Surface Signatures. Front. Immunol. 2018, 9, 1326. [Google Scholar] [CrossRef] [PubMed] [Green Version]
- Lopatina, T.; Bruno, S.; Tetta, C.; Kalinina, N.; Porta, M.; Camussi, G. Platelet-derived growth factor regulates the secretion of extracellular vesicles by adipose mesenchymal stem cells and enhances their angiogenic potential. Cell Commun. Signal. 2014, 12, 1–12. [Google Scholar] [CrossRef] [PubMed] [Green Version]
- Basilico, N.; Mondani, M.; Parapini, S.; Speciale, L.; Ferrante, P.; Taramelli, D. Plasmodium falciparum parasitized red blood cells modulate the production of endothelin-1 by human endothelial cells. Minerva Med. 2004, 95, 153–158. [Google Scholar] [PubMed]
- Femminò, S.; Penna, C.; Bessone, F.; Caldera, F.; Dhakar, N.K.; Cau, D.; Pagliaro, P.; Cavalli, R.; Trotta, F. α-Cyclodextrin and α-Cyclodextrin Polymers as Oxygen Nanocarriers to Limit Hypoxia/Reoxygenation Injury: Implications from an In Vitro Model. Polymers 2018, 10, 211. [Google Scholar] [CrossRef] [PubMed] [Green Version]





| Sham | RIPC | p Value | ||
|---|---|---|---|---|
| GENDER | Male | 12 (80%) | 10 (67%) | 0.68 |
| Female | 3 (20%) | 5 (33%) | ||
| Age | 64 | 68 | 0.56 | |
| BMI | 26.6 | 25.4 | 0.23 | |
| COMORBIDITIES | Hypertension | 11 (73%) | 11 (73%) | 1.00 |
| Smoking habit | 10 (67%) | 8 (53%) | 0.74 | |
| Dyslipidemia | 10 (67%) | 7 (47%) | 0.46 | |
| Previous AMI | 7 (47%) | 5 (33%) | 0.71 | |
| CKD (eGFR < 30 mL/min/m2) | 4 (27%) | 1 (7%) | 0.33 | |
| Chronic heart failure | 3 (20%) | 1 (7%) | 0.30 | |
| Cerebral vascular disease | 2 (13%) | 1 (7%) | 0.50 | |
| Previous cancer | 0 | 3 (20%) | 0.11 | |
| COPD | 0 | 1 (7%) | 0.50 | |
| ACS CLASSIFICATION | NSTEMI | 9 (60%) | 9 (60%) | 1.00 |
| UA | 6 (40%) | 6 (40%) | ||
| MEDICATION BEFORE | ASA | 8 (53%) | 5 (33%) | 0.52 |
| ADMISSION | ACE-I/ARBs | 7 (47%) | 9 (60%) | 0.69 |
| Beta blockers | 6 (40%) | 6 (40%) | 1.00 | |
| Statins | 5 (33%) | 4 (27%) | 0.56 | |
| Ca2+ channel blockers | 5 (33%) | 1 (7%) | 0.09 | |
| Nitrates | 2 (13%) | 3 (20%) | 0.55 | |
| Clopidogrel | 0 | 2 (13%) | 0.26 | |
| CLINICAL FEATURES AT ADMISSION | Mean eGFR (mL/min/m2) | 75.9 | 80.7 | 0.58 |
| Left ventricular ejection fraction | 57% | 54% | 0.45 | |
| Time from onset to admission (h) | 42 | 44 | 0.78 | |
| Hemoglobin (g/dL) | 14.1 | 13.6 | 0.36 | |
| CLINICAL FEATURES DURING | Mean number of implanted stents | 2 | 2 | 1 |
| HOSPITALIZATION | Mean contrast agent volume (mL) | 237 | 228 | 0.77 |
| NUMBER OF VESSELS | 1 | 2 (13%) | 5 (33%) | 0.36 |
| AFFECTED BY | 2 | 7 (47%) | 5 (33%) | |
| SIGNIFICANT DISEASE | 3 | 6 (40%) | 5 (33%) | |
| COMPLICATIONS DURING | New AMI during hospitalization | 0 | 1 (7%) | 0.5 |
| HOSPITALIZATION | Intra stent thrombosis | 0 | 0 | |
| Additional PCI | 3 (20%) | 2 (13%) | 0.5 | |
| Mortality during hospitalization | 0 | 0 | ||
| BARC bleeding | 0 | 15 (100%) | 12 (80%) | 0.09 |
| 1 | 0 | 1 (7%) | ||
| 2 | 0 | 2 (13%) |
Publisher’s Note: MDPI stays neutral with regard to jurisdictional claims in published maps and institutional affiliations. |
© 2021 by the authors. Licensee MDPI, Basel, Switzerland. This article is an open access article distributed under the terms and conditions of the Creative Commons Attribution (CC BY) license (https://creativecommons.org/licenses/by/4.0/).
Share and Cite
Femminò, S.; D’Ascenzo, F.; Ravera, F.; Comità, S.; Angelini, F.; Caccioppo, A.; Franchin, L.; Grosso, A.; Thairi, C.; Venturelli, E.; et al. Percutaneous Coronary Intervention (PCI) Reprograms Circulating Extracellular Vesicles from ACS Patients Impairing Their Cardio-Protective Properties. Int. J. Mol. Sci. 2021, 22, 10270. https://doi.org/10.3390/ijms221910270
Femminò S, D’Ascenzo F, Ravera F, Comità S, Angelini F, Caccioppo A, Franchin L, Grosso A, Thairi C, Venturelli E, et al. Percutaneous Coronary Intervention (PCI) Reprograms Circulating Extracellular Vesicles from ACS Patients Impairing Their Cardio-Protective Properties. International Journal of Molecular Sciences. 2021; 22(19):10270. https://doi.org/10.3390/ijms221910270
Chicago/Turabian StyleFemminò, Saveria, Fabrizio D’Ascenzo, Francesco Ravera, Stefano Comità, Filippo Angelini, Andrea Caccioppo, Luca Franchin, Alberto Grosso, Cecilia Thairi, Emilio Venturelli, and et al. 2021. "Percutaneous Coronary Intervention (PCI) Reprograms Circulating Extracellular Vesicles from ACS Patients Impairing Their Cardio-Protective Properties" International Journal of Molecular Sciences 22, no. 19: 10270. https://doi.org/10.3390/ijms221910270
APA StyleFemminò, S., D’Ascenzo, F., Ravera, F., Comità, S., Angelini, F., Caccioppo, A., Franchin, L., Grosso, A., Thairi, C., Venturelli, E., Cavallari, C., Penna, C., De Ferrari, G. M., Camussi, G., Pagliaro, P., & Brizzi, M. F. (2021). Percutaneous Coronary Intervention (PCI) Reprograms Circulating Extracellular Vesicles from ACS Patients Impairing Their Cardio-Protective Properties. International Journal of Molecular Sciences, 22(19), 10270. https://doi.org/10.3390/ijms221910270

