Isoconazole and Clemizole Hydrochloride Partially Reverse the Xeroderma Pigmentosum C Phenotype
Abstract
:1. Introduction
2. Results
2.1. Characterization of XP-C and Wild-Type (WT) Fibroblasts Used in This Study
2.1.1. XPC Protein Expression Is Lost in XP-C Cells Compared to WT Cells
2.1.2. Increased Photosensitivity of XP-C Cells in Response to UVB Irradiation Compared to WT Cells
2.1.3. Absence of XPC Impairs DNA Repair of UVB-Induced Lesions
2.2. Primary Screen Identified 16 Candidate Compounds That Increase XP-C Cells Viability Post UVB Irradiation
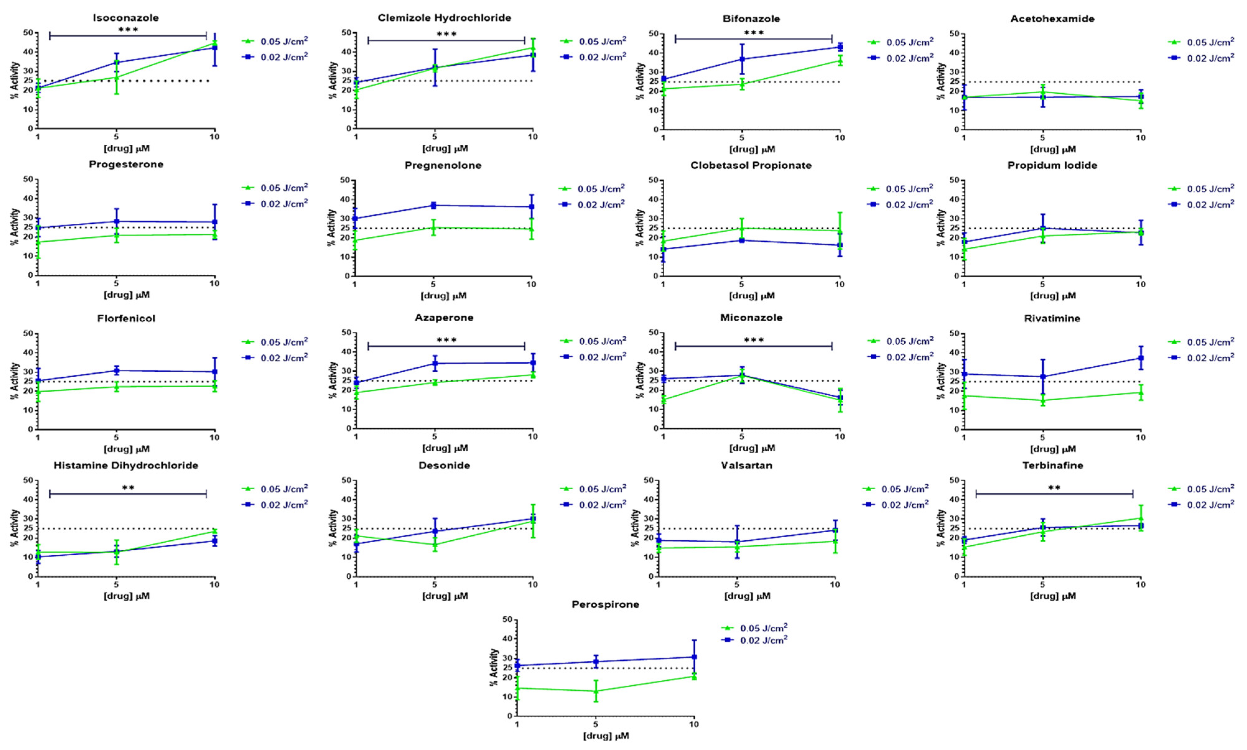
2.3. Selection of Three Bioactive Drugs Increasing XP-C Cells Viability after UVB Irradiation
2.4. Identification of Drugs That Promote the Repair of DNA Damage
2.5. Dose-Response Analysis of Drug Bioactivity as a Function of UVB Doses in XP-C and WT Cells
2.6. Investigation of Pre- Versus Post-Drug Treatment Efficacy
2.7. Double Drug Treatment Has no Synergistic nor Additive Effect
2.8. Isoconazole and Clemizole Hydrochloride Do Not Affect Cell Proliferation
2.9. Isoconazole and Not Clemizole Hydrochloride Increases Live Cell Population in the Course of Apoptosis and Necrosis Analysis
3. Discussion
4. Materials and Methods
4.1. Cell Line
4.2. Chemical Drug Screening
4.3. UV Dose-Response
4.4. XPC Immuno-Staining and Associated Microscopy
4.5. LC-MS/MS DNA Damage Quantification
4.6. 6-4PP DNA Damage Staining and Quantification
4.7. Ki67 Staining and Single-Cell Quantification
4.8. EdU Cell Proliferation Assay
4.9. Cell Event-PI Cell Death Quantification
4.10. Statistical Analysis
Supplementary Materials
Author Contributions
Funding
Institutional Review Board Statement
Informed Consent Statement
Data Availability Statement
Acknowledgments
Conflicts of Interest
References
- Tan, N.S.; Wahli, W. The emerging role of Nrf2 in dermatotoxicology. EMBO Mol. Med. 2014, 6, 431–433. [Google Scholar] [CrossRef]
- Gegotek, A.; Skrzydlewska, E. The role of transcription factor Nrf2 in skin cells metabolism. Arch. Dermatol. Res. 2015, 307, 385–396. [Google Scholar] [CrossRef] [PubMed] [Green Version]
- Ravanat, J.L.; Douki, T.; Cadet, J. Direct and indirect effects of UV radiation on DNA and its components. J. Photochem. Photobiol. B 2001, 63, 88–102. [Google Scholar] [CrossRef]
- Slieman, T.A.; Nicholson, W.L. Artificial and solar UV radiation induces strand breaks and cyclobutane pyrimidine dimers in Bacillus subtilis spore DNA. Appl. Environ. Microbiol. 2000, 66, 199–205. [Google Scholar] [CrossRef] [Green Version]
- Baumstark-Khan, C.; Hentschel, U.; Nikandrova, Y.; Krug, J.; Horneck, G. Fluorometric analysis of DNA unwinding (FADU) as a method for detecting repair-induced DNA strand breaks in UV-irradiated mammalian cells. Photochem. Photobiol. 2000, 72, 477–484. [Google Scholar] [CrossRef]
- Rastogi, R.P.; Singh, S.P.; Hader, D.P.; Sinha, R.P. Detection of reactive oxygen species (ROS) by the oxidant-sensing probe 2’,7’-dichlorodihydrofluorescein diacetate in the cyanobacterium Anabaena variabilis PCC 7937. Biochem. Biophys. Res. Commun. 2010, 397, 603–607. [Google Scholar] [CrossRef] [PubMed]
- Armstrong JD and Kunz BA (1990) Site and strand specificity of UVB mutagenesis in the SUP4-o gene of yeast. Proc. Natl. Acad. Sci. USA 1990, 87, 9005–9009. [CrossRef] [Green Version]
- Kobaisi, F.; Fayyad, N.; Rezvani, H.R.; Fayyad-Kazan, M.; Sulpice, E.; Badran, B.; Fayyad-Kazan, H.; Gidrol, X.; Rachidi, W. Signaling Pathways, Chemical and Biological Modulators of Nucleotide Excision Repair: The Faithful Shield against UV Genotoxicity. Oxidative Med. Cell. Longev. 2019, 2019, 4654206. [Google Scholar] [CrossRef] [PubMed] [Green Version]
- Spivak, G. Nucleotide excision repair in humans. DNA Repair 2015, 36, 3–18. [Google Scholar] [CrossRef] [PubMed] [Green Version]
- Iyama, T.; Wilson, D.M., III. DNA repair mechanisms in dividing and non-dividing cells. DNA Repair 2013, 12, 620–636. [Google Scholar] [CrossRef] [PubMed] [Green Version]
- Giglia-Mari, G.; Sarasin, A. TP53 mutations in human skin cancers. Hum. Mutat. 2003, 21, 217–228. [Google Scholar] [CrossRef] [PubMed]
- Tampa, M.; Georgescu, S.R.; Mitran, C.I.; Mitran, M.I.; Matei, C.; Scheau, C.; Constantin, C.; Neagu, M. Recent Advances in Signaling Pathways Comprehension as Carcinogenesis Triggers in Basal Cell Carcinoma. J. Clin. Med. 2020, 9, 3010. [Google Scholar] [CrossRef] [PubMed]
- Curtin, J.A.; Fridlyand, J.; Kageshita, T.; Patel, H.N.; Busam, K.J.; Kutzner, H.; Cho, K.H.; Aiba, S.; Bröcker, E.B.; LeBoit, P.E.; et al. Distinct sets of genetic alterations in melanoma. N. Engl. J. Med. 2005, 353, 2135–2147. [Google Scholar] [CrossRef]
- Melis, J.P.; Luijten, M.; Mullenders, L.H.; van Steeg, H. The role of XPC: Implications in cancer and oxidative DNA damage. Mutat. Res. 2001, 728, 107–117. [Google Scholar] [CrossRef] [PubMed] [Green Version]
- D’Errico, M.; Parlanti, E.; Teson, M.; de Jesus, B.M.; Degan, P.; Calcagnile, A.; Jaruga, P.; Bjoras, M.; Crescenzi, M.; Pedrini, A.M.; et al. New functions of XPC in the protection of human skin cells from oxidative damage. EMBO J. 2006, 25, 4305–4315. [Google Scholar] [CrossRef] [PubMed] [Green Version]
- Fayyad, N.; Kobaisi, F.; Beal, D.; Mahfouf, W.; Ged, C.; Morice-Picard, F.; Fayyad-Kazan, M.; Fayyad-Kazan, H.; Badran, B.; Rezvani, H.R.; et al. Xeroderma Pigmentosum C (XPC) Mutations in Primary Fibroblasts Impair Base Excision Repair Pathway and Increase Oxidative DNA Damage. Front. Genet. 2020, 11, 561687. [Google Scholar] [CrossRef]
- Rezvani, H.R.; Ged, C.; Bouadjar, B.; de Verneuil, H.; Taieb, A. Catalase overexpression reduces UVB-induced apoptosis in a human xeroderma pigmentosum reconstructed epidermis. Cancer Gene Ther. 2008, 15, 241–251. [Google Scholar] [CrossRef] [Green Version]
- Rezvani, H.R.; Kim, A.L.; Rossignol, R.; Ali, N.; Daly, M.; Mahfouf, W.; Bellance, N.; Taieb, A.; de Verneuil, H.; Mazurier, F.; et al. XPC silencing in normal human keratinocytes triggers metabolic alterations that drive the formation of squamous cell carcinomas. J. Clin. Investig. 2011, 121, 195–211. [Google Scholar] [CrossRef] [Green Version]
- Raad, H.; Serrano-Sanchez, M.; Harfouche, G.; Mahfouf, W.; Bortolotto, D.; Bergeron, V.; Kasraian, Z.; Dousset, L.; Hosseini, M.; Taieb, A.; et al. NADPH Oxidase-1 Plays a Key Role in Keratinocyte Responses to UV Radiation and UVB-Induced Skin Carcinogenesis. J. Investig. Dermatol. 2017, 137, 1311–1321. [Google Scholar] [CrossRef] [Green Version]
- Bidon, B.; Iltis, I.; Semer, M.; Nagy, Z.; Larnicol, A.; Cribier, A.; Benkirane, M.; Coin, F.; Egly, J.M.; Le May, N. XPC is an RNA polymerase II cofactor recruiting ATAC to promoters by interacting with E2F1. Nat. Commun. 2018, 9, 2610. [Google Scholar] [CrossRef]
- Chen, Z.; Yang, J.; Wang, G.; Song, B.; Li, J.; Xu, Z. Attenuated expression of xeroderma pigmentosum group C is associated with critical events in human bladder cancer carcinogenesis and progression. Cancer Res. 2007, 67, 4578–4585. [Google Scholar] [CrossRef] [Green Version]
- de Feraudy, S.; Ridd, K.; Richards, L.M.; Kwok, P.Y.; Revet, I.; Oh, D.; Feeney, L.; Cleaver, J.E. The DNA damage-binding protein XPC is a frequent target for inactivation in squamous cell carcinomas. Am. J. Pathol. 2010, 177, 555–562. [Google Scholar] [CrossRef]
- Pascucci, B.; D’Errico, M.; Parlanti, E.; Giovannini, S.; Dogliotti, E. Role of nucleotide excision repair proteins in oxidative DNA damage repair: An updating. Biochemistry 2011, 76, 4–15. [Google Scholar] [CrossRef]
- Birmingham, A.; Selfors, L.M.; Forster, T.; Wrobel, D.; Kennedy, C.J.; Shanks, E.; Santoyo-Lopez, J.; Dunican, D.J.; Long, A.; Kelleher, D.; et al. Statistical methods for analysis of high-throughput RNA interference screens. Nat. Methods 2009, 6, 569–575. [Google Scholar] [CrossRef] [Green Version]
- Mazouzi, A.; Battistini, F.; Moser, S.C.; da Ferreira, S.J.; Wiedner, M.; Owusu, M.; Lardeau, C.H.; Ringler, A.; Weil, B.; Neesen, J.; et al. Repair of UV-Induced DNA Damage Independent of Nucleotide Excision Repair Is Masked by MUTYH. Mol. Cell 2017, 68, 797–807. [Google Scholar] [CrossRef] [Green Version]
- Borszéková Pulzová, L.; Ward, T.A.; Chovanec, M. XPA: DNA Repair Protein of Significant Clinical Importance. Int. J. Mol. Sci. 2020, 6, 2182. [Google Scholar] [CrossRef] [PubMed] [Green Version]
- van Oijen, M.G.; Medema, R.H.; Slootweg, P.J.; Rijksen, G. Positivity of the proliferation marker Ki-67 in noncycling cells. Am. J. Clin. Pathol. 1998, 110, 24–31. [Google Scholar] [CrossRef] [PubMed]
- Black, J.O. Xeroderma Pigmentosum. Head Neck Pathol. 2016, 10, 139–144. [Google Scholar] [CrossRef] [Green Version]
- Mouret, S.; Charveron, M.; Favier, A.; Cadet, J.; Douki, T. Differential repair of UVB-induced cyclobutane pyrimidine dimers in cultured human skin cells and whole human skin. DNA Repair 2008, 7, 704–712. [Google Scholar] [CrossRef] [PubMed]
- Courdavault, S.; Baudouin, C.; Charveron, M.; Canguilhem, B.; Favier, A.; Cadet, J.; Douki, T. Repair of the three main types of bipyrimidine DNA photoproducts in human keratinocytes exposed to UVB and UVA radiations. DNA Repair 2005, 4, 836–844. [Google Scholar] [CrossRef]
- Pushpakom, S.; Iorio, F.; Eyers, P.A.; Escott, K.J.; Hopper, S.; Wells, A.; Doig, A.; Guilliams, T.; Latimer, J.; McNamee, C.; et al. Drug repurposing: Progress, challenges and recommendations. Nat. Rev. Drug Discov. 2019, 18, 41–58. [Google Scholar] [CrossRef]
- Basu, A.K. DNA Damage, Mutagenesis and Cancer. Int. J. Mol. Sci. 2018, 19, 970. [Google Scholar] [CrossRef] [PubMed] [Green Version]
- Einav, S.; Gerber, D.; Bryson, P.D.; Sklan, E.H.; Elazar, M.; Maerkl, S.J.; Glenn, J.S.; Quake, S.R. Discovery of a hepatitis C target and its pharmacological inhibitors by microfluidic affinity analysis. Nat. Biotechnol. 2008, 26, 1019–1027. [Google Scholar] [CrossRef] [PubMed] [Green Version]
- Richter, J.M.; Schaefer, M.; Hill, K. Clemizole hydrochloride is a novel and potent inhibitor of transient receptor potential channel TRPC5. Mol. Pharmacol. 2014, 86, 514–521. [Google Scholar] [CrossRef] [PubMed] [Green Version]
- Kashfi, S.M.; Golmohammadi, M.; Behboudi, F.; Nazemalhosseini-Mojarad, E.; Zali, M.R. MUTYH the base excision repair gene family member associated with colorectal cancer polyposis. Gastroenterol. Hepatol. Bed Bench 2013, 6, S1–S10. [Google Scholar] [PubMed]
- Matallana-Surget, S.; Meador, J.A.; Joux, F.; Douki, T. Effect of the GC content of DNA on the distribution of UVB-induced bipyrimidine photoproducts. Photochem. Photobiol. Sci. 2008, 7, 794–801. [Google Scholar] [CrossRef]
- Douki, T.; Cadet, J. Individual determination of the yield of the main UV-induced dimeric pyrimidine photoproducts in DNA suggests a high mutagenicity of CC photolesions. Biochemistry 2001, 40, 2495–2501. [Google Scholar] [CrossRef]
- Kuschal, C.; DiGiovanna, J.J.; Khan, S.G.; Gatti, R.A.; Kraemer, K.H. Repair of UV photolesions in xeroderma pigmentosum group C cells induced by translational readthrough of premature termination codons. Proc. Natl. Acad. Sci. USA 2013, 110, 19483–19488. [Google Scholar] [CrossRef] [Green Version]
- Flowing Software Version 2.5.1 bPT, Turku Centre for Biotechnology University of Turku, Finland, In Colaboration with Turku Bioimaging. Available online: http://flowingsoftware.btk.fi/ (accessed on 16 February 2021).
- R Core Team. R: A Language and Environment for Statistical Computing. R Foundation for Statistical Computing V, Austria. 2018. Available online: http://www.R-project.org/ (accessed on 16 February 2021).









Publisher’s Note: MDPI stays neutral with regard to jurisdictional claims in published maps and institutional affiliations. |
© 2021 by the authors. Licensee MDPI, Basel, Switzerland. This article is an open access article distributed under the terms and conditions of the Creative Commons Attribution (CC BY) license (https://creativecommons.org/licenses/by/4.0/).
Share and Cite
Kobaisi, F.; Sulpice, E.; Barette, C.; Fayyad, N.; Fauvarque, M.-O.; Badran, B.; Fayyad-Kazan, M.; Fayyad-Kazan, H.; Gidrol, X.; Rachidi, W. Isoconazole and Clemizole Hydrochloride Partially Reverse the Xeroderma Pigmentosum C Phenotype. Int. J. Mol. Sci. 2021, 22, 8156. https://doi.org/10.3390/ijms22158156
Kobaisi F, Sulpice E, Barette C, Fayyad N, Fauvarque M-O, Badran B, Fayyad-Kazan M, Fayyad-Kazan H, Gidrol X, Rachidi W. Isoconazole and Clemizole Hydrochloride Partially Reverse the Xeroderma Pigmentosum C Phenotype. International Journal of Molecular Sciences. 2021; 22(15):8156. https://doi.org/10.3390/ijms22158156
Chicago/Turabian StyleKobaisi, Farah, Eric Sulpice, Caroline Barette, Nour Fayyad, Marie-Odile Fauvarque, Bassam Badran, Mohammad Fayyad-Kazan, Hussein Fayyad-Kazan, Xavier Gidrol, and Walid Rachidi. 2021. "Isoconazole and Clemizole Hydrochloride Partially Reverse the Xeroderma Pigmentosum C Phenotype" International Journal of Molecular Sciences 22, no. 15: 8156. https://doi.org/10.3390/ijms22158156
APA StyleKobaisi, F., Sulpice, E., Barette, C., Fayyad, N., Fauvarque, M.-O., Badran, B., Fayyad-Kazan, M., Fayyad-Kazan, H., Gidrol, X., & Rachidi, W. (2021). Isoconazole and Clemizole Hydrochloride Partially Reverse the Xeroderma Pigmentosum C Phenotype. International Journal of Molecular Sciences, 22(15), 8156. https://doi.org/10.3390/ijms22158156

