Molecular Insight into the Possible Mechanism of Drag Reduction of Surfactant Aqueous Solution in Pipe Flow
Abstract
1. Introduction
2. Model and Methods
2.1. Dissipative Particle Dynamics (DPD) Method
2.2. Simulation Model and Conditions
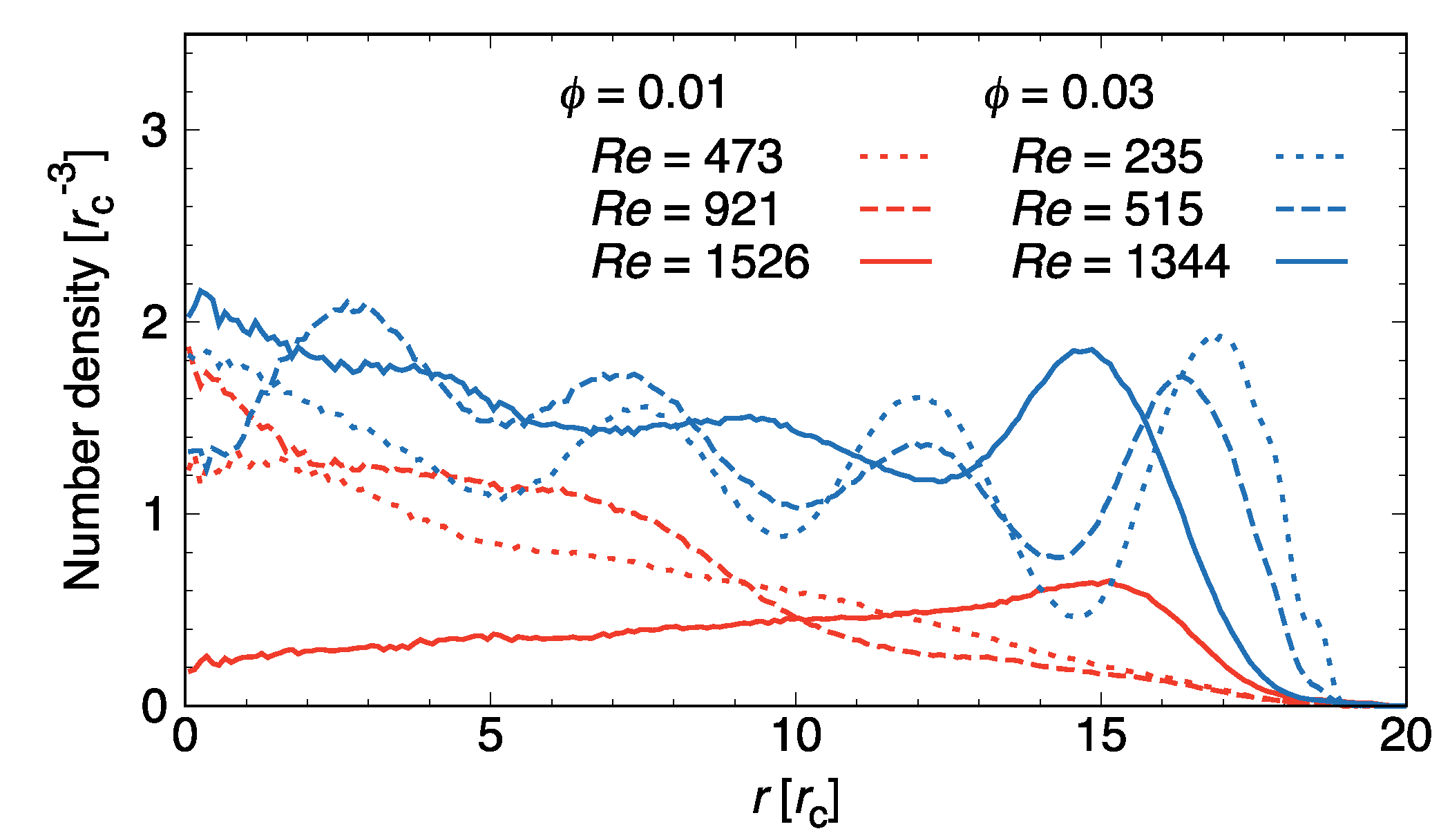
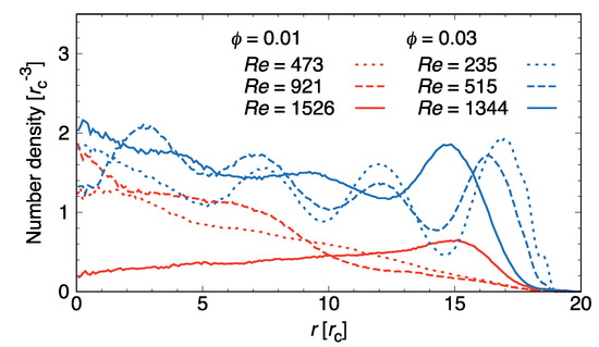
3. Results and Discussion
4. Conclusions
Supplementary Materials
Author Contributions
Funding
Institutional Review Board Statement
Informed Consent Statement
Data Availability Statement
Conflicts of Interest
Abbreviations
| DPD | Dissipative particle dynamics |
| CTAB | Cetyltrimethylammonium bromide |
| NaSal | Sodium salicylate |
References
- Murray, B.S. Interfacial rheology of food emulsifiers and proteins. Curr. Opin. Colloid Interface Sci. 2002, 7, 426–431. [Google Scholar] [CrossRef]
- Tabilo-Munizaga, G.; Barbosa-Cànovas, G.V. Rheology for the food industry. J. Food Eng. 2005, 67, 147–156. [Google Scholar] [CrossRef]
- Gallegos, C.; Franco, J.M. Rheology of food, cosmetics and pharmaceuticals. Curr. Opin. Colloid Interface Sci. 1999, 4, 288–293. [Google Scholar] [CrossRef]
- Townsend, J.M.; Beck, E.C.; Gehrke, S.H.; Berkland, C.J.; Detamore, M.S. Flow behavior prior to crosslinking: The need for precursor rheology for placement of hydrogels in medical applications and for 3D bioprinting. Prog. Polym. Sci. 2019, 91, 126–140. [Google Scholar] [CrossRef] [PubMed]
- Storm, C.; Pastore, J.J.; MacKintosh, F.C.; Lubensky, T.C.; Janmey, P.A. Nonlinear elasticity in biological gels. Nature 2005, 435, 191–194. [Google Scholar] [CrossRef] [PubMed]
- Arai, N.; Yasuoka, K.; Koishi, T.; Ebisuzaki, T.; Zeng, X.C. Understanding molecular motor walking along a microtubule: A themosensitive asymmetric brownian motor driven by bubble formation. J. Am. Chem. Soc. 2013, 135, 8616–8624. [Google Scholar] [CrossRef] [PubMed]
- Shelley, M.J. The dynamics of microtubule/motor-protein assemblies in biology and physics. Annu. Rev. Fluid Mech. 2016, 48, 487–506. [Google Scholar] [CrossRef]
- Karato, S.; Wu, P. Rheology of the upper mantle: A synthesis. Science 1993, 260, 771–778. [Google Scholar] [CrossRef]
- Bürgmann, R.; Dresen, G. Rheology of the lower crust and upper mantle: Evidence from rock mechanics, geodesy, and field observations. Annu. Rev. Earth Planet. Sci. 2008, 36, 531–567. [Google Scholar] [CrossRef]
- Ebisuzaki, T.; Maruyama, S. Nuclear geyser model of the origin of life: Driving force to promote the synthesis of building blocks of life. Geosci. Front. 2017, 8, 275–298. [Google Scholar] [CrossRef]
- Arai, N.; Kobayashi, Y.; Yasuoka, K. A biointerface effect on the self-assembly of ribonucleic acids: A possible mechanism of RNA polymerisation in the self-replication cycle. Nanoscale 2020, 12, 6691. [Google Scholar] [CrossRef]
- de Gennes, P.G. Reptation of a polymer chain in the presence of fixed obstacles. J. Chem. Phys. 1971, 55, 572. [Google Scholar] [CrossRef]
- Doi, M.; Edwards, S.F. Dynamics of concentrated polymer systems. Part 1.—Brownian motion in the equilibrium state. J. Chem. Soc. Faraday Trans. 2 1978, 74, 1789–1801. [Google Scholar] [CrossRef]
- Doi, M.; Edwards, S.F. Dynamics of concentrated polymer systems. Part 2.—Molecular motion under flow. J. Chem. Soc. Faraday Trans. 2 1978, 74, 1802–1817. [Google Scholar] [CrossRef]
- Doi, M.; Edwards, S.F. Dynamics of concentrated polymer systems. Part 3.—The constitutive equation. J. Chem. Soc. Faraday Trans. 2 1978, 74, 1818–1832. [Google Scholar] [CrossRef]
- Zia, R.N. Active and passive microrheology: Theory and simulation. Annu. Rev. Fluid Mech. 2018, 50, 371–405. [Google Scholar] [CrossRef]
- Camerin, F.; Gnan, N.; Ruiz-Franco, J.; Ninarello, A.; Rovigatti, L.; Zaccarelli, E. Microgels at interfaces behave as 2D elastic particles featuring reentrant dynamics. Phys. Rev. X 2020, 10, 031012. [Google Scholar] [CrossRef]
- Uneyama, T.; Masubuchi, Y. Plateau moduli of several single-chain slip-link and slip-spring models. Macromolecules 2021, 54, 1338–1353. [Google Scholar] [CrossRef]
- Ruiz-Franco, J.; Marakis, J.; Gnan, N.; Kohlbrecher, J.; Gauthier, M.; Lettinga, M.P.; Vlassopoulos, D.; Zaccarelli, E. Crystal-to-crystal transition of ultrasoft colloids under shear. Phys. Rev. Lett. 2018, 120, 078003. [Google Scholar] [CrossRef] [PubMed]
- Toms, B.A. Some observation on the flow of linear polymer solutions through straight tubes at large Reynolds numbers. Proc. 1st Int. Cong. Rheol. 1948, 2, 135–141. [Google Scholar]
- Li, J.; Yu, B.; Wang, L.; Li, F.; Hou, L. A mixed subgrid-scale model based on ICSM and TADM for LES of surfactant-induced drag-reduction in turbulent channel flow. Appl. Therm. Eng. 2017, 115, 1322–1329. [Google Scholar] [CrossRef]
- Peaudecerf, F.J.; Landel, J.R.; Goldstein, R.E.; Luzzatto-Fegiz, P. Traces of surfactants can severely limit the drag reduction of superhydrophobic surfaces. Proc. Natl. Acad. Sci. USA 2017, 114, 7254–7259. [Google Scholar] [CrossRef] [PubMed]
- Zhang, W.; Zhang, H.N.; Li, J.; Yu, B.; Li, F. Comparison of turbulent drag reduction mechanisms of viscoelastic fluids based on the Fukagata-Iwamoto-Kasagi identity and the Renard-Deck identity. Phys. Fluids 2020, 32, 013104. [Google Scholar]
- Lopez, J.; Choueiri, G.; Hof, B. Dynamics of viscoelastic pipe flow at low Reynolds numbers in the maximum drag reduction limit. J. Fluid Mech. 2019, 874, 699–719. [Google Scholar] [CrossRef]
- Wakimoto, T.; Araga, K.; Katoh, K. Simultaneous determination of micellar structure and drag reduction in a surfactant solution flow using the fluorescence probe method. Phys. Fluids 2018, 30, 033103. [Google Scholar] [CrossRef]
- Kotenko, M.; Oskarsson, H.; Bojesen, C.; Nielsen, M.P. An experimental study of the drag reducing surfactant for district heating and cooling. Energy 2019, 178, 72–78. [Google Scholar] [CrossRef]
- Liu, D.; Wang, Q.; Wei, J. Experimental study on drag reduction performance of mixed polymer and surfactant solutions. Chem. Eng. Res. Des. 2018, 132, 460–469. [Google Scholar] [CrossRef]
- Tamano, S.; Uchikawa, H.; Ito, J.; Morinishi, Y. Streamwise variations of turbulence statistics up to maximum drag reduction state in turbulent boundary layer flow due to surfactant injection. Phys. Fluids 2018, 30, 075103. [Google Scholar] [CrossRef]
- Zakin, J.L.; Lu, B.; Bewersdorff, H.W. Surfactant drag reduction. Rev. Chem. Eng. 1998, 14, 253–320. [Google Scholar] [CrossRef]
- Liu, D.; Liu, F.; Zhou, W.; Chen, F.; Wei, J. Molecular dynamics simulation of self-assembly and viscosity behavior of PAM and CTAC in salt-added solutions. J. Mol. Liq. 2018, 268, 131–139. [Google Scholar] [CrossRef]
- Liu, F.; Zhou, W.; Liu, D.; Chen, F.; Wei, J. Coarse-grained molecular dynamics study on the rheological behaviors of surfactant aqueous solution. J. Mol. Liq. 2018, 265, 572–577. [Google Scholar] [CrossRef]
- Liu, F.; Liu, D.; Zhou, W.; Wang, S.; Chen, F.; Wei, J. Weakening or losing of surfactant drag reduction ability: A coarse-grained molecular dynamics study. Chem. Eng. Sci. 2020, 219, 115610. [Google Scholar] [CrossRef]
- Liu, F.; Liu, D.; Zhou, W.; Chen, F.; Wei, J. Coarse-grained molecular dynamics simulations of the breakage and recombination behaviors of surfactant micelles. Ind. Eng. Chem. Res. 2018, 57, 9018–9027. [Google Scholar] [CrossRef]
- Zhou, J.; Ranjith, P.G. Self-assembly and viscosity changes of binary surfactant solutions: A molecular dynamics study. J. Colloid Interface Sci. 2021, 585, 250–257. [Google Scholar] [CrossRef] [PubMed]
- Asidin, M.A.; Suali, E.; Jusnukin, T.; Lahin, F.A. Review on the applications and developments of drag reducing polymer in turbulent pipe flow. Chin. J. Chem. Eng. 2019, 27, 1921–1932. [Google Scholar] [CrossRef]
- Gu, Y.; Yu, S.; Mou, J.; Wu, D.; Zheng, S. Research progress on the collaborative drag reduction effect of polymers and surfactants. Materials 2020, 13, 444. [Google Scholar] [CrossRef] [PubMed]
- Graham, M.D. Drag reduction and the dynamics of turbulence in simple and complex fluids. Phys. Fluids 2014, 26, 101301. [Google Scholar] [CrossRef]
- Hoogerbrugge, P.; Koelman, J. Simulating microscopic hydrodynamic phenomena with dissipative particle dynamics. Europhys. Lett. 1992, 19, 155–160. [Google Scholar] [CrossRef]
- Español, P.; Warren, P. Statistical mechanics of dissipative particle dynamics. Europhys. Lett. 1995, 30, 191–196. [Google Scholar] [CrossRef]
- Groot, R.D.; Warren, P. Dissipative particle dynamics: Bridging the gap between atomistic and mesoscopic simulation. J. Chem. Phys. 1997, 107, 4423–4435. [Google Scholar] [CrossRef]
- Prinsen, P.; Warren, P.B.; Michels, M.A.J. Mesoscale simulations of surfactant dissolution and mesophase formation. Phys. Rev. Lett. 2002, 89, 148302. [Google Scholar] [CrossRef]
- Mao, R.; Lee, M.T.; Vishnyakov, A.; Neimark, A.V. Modeling aggregation of ionic surfactants using a smeared charge approximation in dissipative particle dynamics simulations. J. Chem. Theory Comput. 2015, 119, 11673–11683. [Google Scholar] [CrossRef]
- Kobayashi, Y.; Arai, N. Self-assembly of surfactant aqueous solution confined in a Janus amphiphilic nanotube. Mol. Simul. 2017, 43, 1153–1159. [Google Scholar] [CrossRef]
- Anderson, R.L.; Bray, D.J.; Regno, A.D.; Seaton, M.A.; Ferrante, A.S.; Warren, P.B. Micelle formation in alkyl sulfate surfactants using dissipative particle dynamics. J. Am. Chem. Soc. 2018, 14, 2633–2643. [Google Scholar] [CrossRef] [PubMed]
- Jury, S.; Bladon, P.; Cates, M.; Krishna, S.; Hagen, M.; Ruddock, J.N.; Warren, P.B. Simulation of amphiphilic mesophases using dissipative particle dynamics. Phys. Chem. Chem. Phys. 1999, 1, 2051–2056. [Google Scholar] [CrossRef]
- Yamamoto, S.; Hyodo, S. Mesoscopic simulation of the crossing dynamics at an entanglement point of surfactant threadlike micelles. J. Chem. Phys. 2005, 122, 204907. [Google Scholar] [CrossRef]
- Arai, N.; Yasuoka, K.; Masubuchi, Y. Spontaneous self-assembly process for threadlike micelles. J. Chem. Phys. 2007, 126, 244905. [Google Scholar] [CrossRef]
- Arai, N.; Yasuoka, K.; Zeng, X.C. Self-assembly of surfactants and polymorphic transition in nanotubes. J. Am. Chem. Soc. 2008, 130, 7916–7920. [Google Scholar] [CrossRef]
- Arai, N.; Yasuoka, K.; Zeng, X.C. Nanochannel with uniform and Janus surfaces: Shear thinning and thickening in surfactant solution. Langmuir 2012, 28, 2866–2872. [Google Scholar] [CrossRef]
- Kobayashi, Y.; Arai, N. Polymodal rheological behaviors induced by self-assembly of surfactants confined in nanotubes. J. Mol. Liq. 2019, 274, 328–337. [Google Scholar] [CrossRef]
- Tsujinoue, H.; Kobayashi, Y.; Arai, N. Effect of the Janus amphiphilic wall on the viscosity behavior of aqueous surfactant solutions. Langmuir 2020, 36, 10690–10698. [Google Scholar] [CrossRef]
- Strey, R.; Schomäcker, R.; Roux, D.; Nallet, F.; Olsson, U. Dilute lamellar and L3 phases in the binary water-C12E5 system. J. Chem. Soc. Faraday Trans. 1990, 86, 2253–2261. [Google Scholar] [CrossRef]
- Groot, R.D.; Rabone, K.L. Mesoscopic simulation of cell membrane damage, morphology change and rupture by nonionic surfactants. Biophys. J. 2001, 81, 725–736. [Google Scholar] [CrossRef]
- Maddox, M.W.; Gubbins, K.E. A molecular simulation study of freezing/melting phenomena for Lennard-Jones methane in cylindrical nanoscale pores. J. Chem. Phys. 1997, 107, 9659–9667. [Google Scholar] [CrossRef]
- Takenaka, S.; Suga, K.; Kinjo, T.; Hyodo, S. Flow simulations in a sub-micro porous medium by the lattice Boltzmann and the molecular dynamics methods. In Proceedings of the ASME 2009 7th International Conference on Nanochannels, Microchannels, and Minichannels, Pohang, Korea, 22–24 June 2009; pp. 927–936. [Google Scholar]
- Zhu, Y.; Granick, S. Rate-dependent slip of Newtonian liquid at smooth surfaces. Phys. Rev. Lett. 2001, 87, 096105. [Google Scholar] [CrossRef]
- Tretheway, D.C.; Meinhart, C.D. Apparent fluid slip at hydrophobic microchannel walls. Phys. Fluids 2002, 14, L9–L12. [Google Scholar] [CrossRef]
- Kobayashi, Y.; Arai, N. Self-assembly and viscosity behavior of Janus nanoparticles in nanotube flow. Langmuir 2017, 33, 736–743. [Google Scholar] [CrossRef] [PubMed]
- Metzner, A.B.; Otto, R.E. Agitation of non-Newtonian fluids. AIChE J. 1957, 3, 3–10. [Google Scholar] [CrossRef]
- Harris, J. A note on the generalized Reynolds number in non-Newtonian flow. Br. J. Appl. Phys. 1963, 14, 817–818. [Google Scholar] [CrossRef]
- van de Meent, J.W.; Morozov, A.; Somfai, E.; Sultan, E.; van Saarloos, W. Coherent structures in dissipative particle dynamics simulations of the transition to turbulence in compressible shear flows. Phys. Rev. E 2008, 78, 015701(R). [Google Scholar] [CrossRef]
- Sultan, E.; van de Meent, J.W.; Somfai, E.; Morozov, A.N.; van Saarloos, W. Polymer rheology simulations at the meso- and macroscopic scale. Europhys. Lett. 2010, 90, 64002. [Google Scholar] [CrossRef][Green Version]
- Habibpour, M.; Clark, P.E. Drag reduction behavior of hydrolyzed polyacrylamide/xanthan gum mixed polymer solutions. Pet. Sci. 2017, 14, 412–423. [Google Scholar] [CrossRef]
- Nesyn, G.V.; Sunagatullin, R.Z.; Shibaev, V.P.; Malkin, A.Y. Drag reduction in transportation of hydrocarbon liquids: From fundamentals to engineering applications. J. Pet. Sci. Eng. 2018, 161, 715–725. [Google Scholar] [CrossRef]
- Rajappan, A.; McKinley, G.H. Cooperative drag reduction in turbulent flows using polymer additives and superhydrophobic walls. Phys. Rev. Fluids 2020, 5, 114601. [Google Scholar] [CrossRef]
- Virk, P.S. Drag reduction fundamentals. AIChE J. 1975, 21, 625–656. [Google Scholar] [CrossRef]
- Wang, Y.; Yu, B.; Zakin, J.L.; Shi, H. Review on drag reduction and its heat transfer by additives. Adv. Mech. Eng. 2011, 3, 478749. [Google Scholar] [CrossRef]
- Li, F.C.; Yu, B.; Wei, J.J.; Kawaguchi, Y. Turbulent Drag Reduction by Surfactant Additives; John Wiley & Sons, Ltd: Hoboken, NJ, USA, 2012; pp. 8–14. [Google Scholar]
- Ohlendorf, D.; Interthal, W.; Hoffmann, H. Surfactant systems for drag reduction: Physico-chemical properties and rheological behaviour. Rheol. Acta 1986, 25, 468–486. [Google Scholar] [CrossRef]
- Mohsenipour, A.A.; Pal, R. Drag reduction in turbulent pipeline flow of mixed nonionic polymer and cationic surfactant systems. Can. J. Chem. Eng. 2011, 91, 190–201. [Google Scholar] [CrossRef]
- Karami, H.R.; Mowla, D. Investigation of the effects of various parameters on pressure drop reduction in crude oil pipelines by drag reducing agents. J. Non-Newton. Fluid Mech. 2012, 177–178, 37–45. [Google Scholar] [CrossRef]
- Usui, H.; Itoh, T.; Saeki, T. On pipe diameter effects in surfactant drag-reducing pipe flows. Rheol. Acta. 1998, 37, 122–128. [Google Scholar] [CrossRef]
- Matras, Z.; Kopiczak, B. Intensification of drag reduction effect by simultaneous addition of surfactant and high molecular polymer into the solvent. Chem. Eng. Res. Des. 2015, 96, 35–42. [Google Scholar] [CrossRef]
- Eskin, D. Modeling an effect of pipe diameter on turbulent drag reduction. Chem. Eng. Sci. 2017, 162, 66–68. [Google Scholar] [CrossRef]







| h | t | w | Wall | |
|---|---|---|---|---|
| h | 40 | 70 | 25 | 25 |
| t | 70 | 25 | 70 | 70 |
| w | 25 | 70 | 25 | 25 |
| Wall | 25 | 70 | 25 | – |
Publisher’s Note: MDPI stays neutral with regard to jurisdictional claims in published maps and institutional affiliations. |
© 2021 by the authors. Licensee MDPI, Basel, Switzerland. This article is an open access article distributed under the terms and conditions of the Creative Commons Attribution (CC BY) license (https://creativecommons.org/licenses/by/4.0/).
Share and Cite
Kobayashi, Y.; Gomyo, H.; Arai, N. Molecular Insight into the Possible Mechanism of Drag Reduction of Surfactant Aqueous Solution in Pipe Flow. Int. J. Mol. Sci. 2021, 22, 7573. https://doi.org/10.3390/ijms22147573
Kobayashi Y, Gomyo H, Arai N. Molecular Insight into the Possible Mechanism of Drag Reduction of Surfactant Aqueous Solution in Pipe Flow. International Journal of Molecular Sciences. 2021; 22(14):7573. https://doi.org/10.3390/ijms22147573
Chicago/Turabian StyleKobayashi, Yusei, Hirotaka Gomyo, and Noriyoshi Arai. 2021. "Molecular Insight into the Possible Mechanism of Drag Reduction of Surfactant Aqueous Solution in Pipe Flow" International Journal of Molecular Sciences 22, no. 14: 7573. https://doi.org/10.3390/ijms22147573
APA StyleKobayashi, Y., Gomyo, H., & Arai, N. (2021). Molecular Insight into the Possible Mechanism of Drag Reduction of Surfactant Aqueous Solution in Pipe Flow. International Journal of Molecular Sciences, 22(14), 7573. https://doi.org/10.3390/ijms22147573

