HisCoM-G×E: Hierarchical Structural Component Analysis of Gene-Based Gene–Environment Interactions
Abstract
1. Introduction
2. Results
2.1. Type I Error Rate
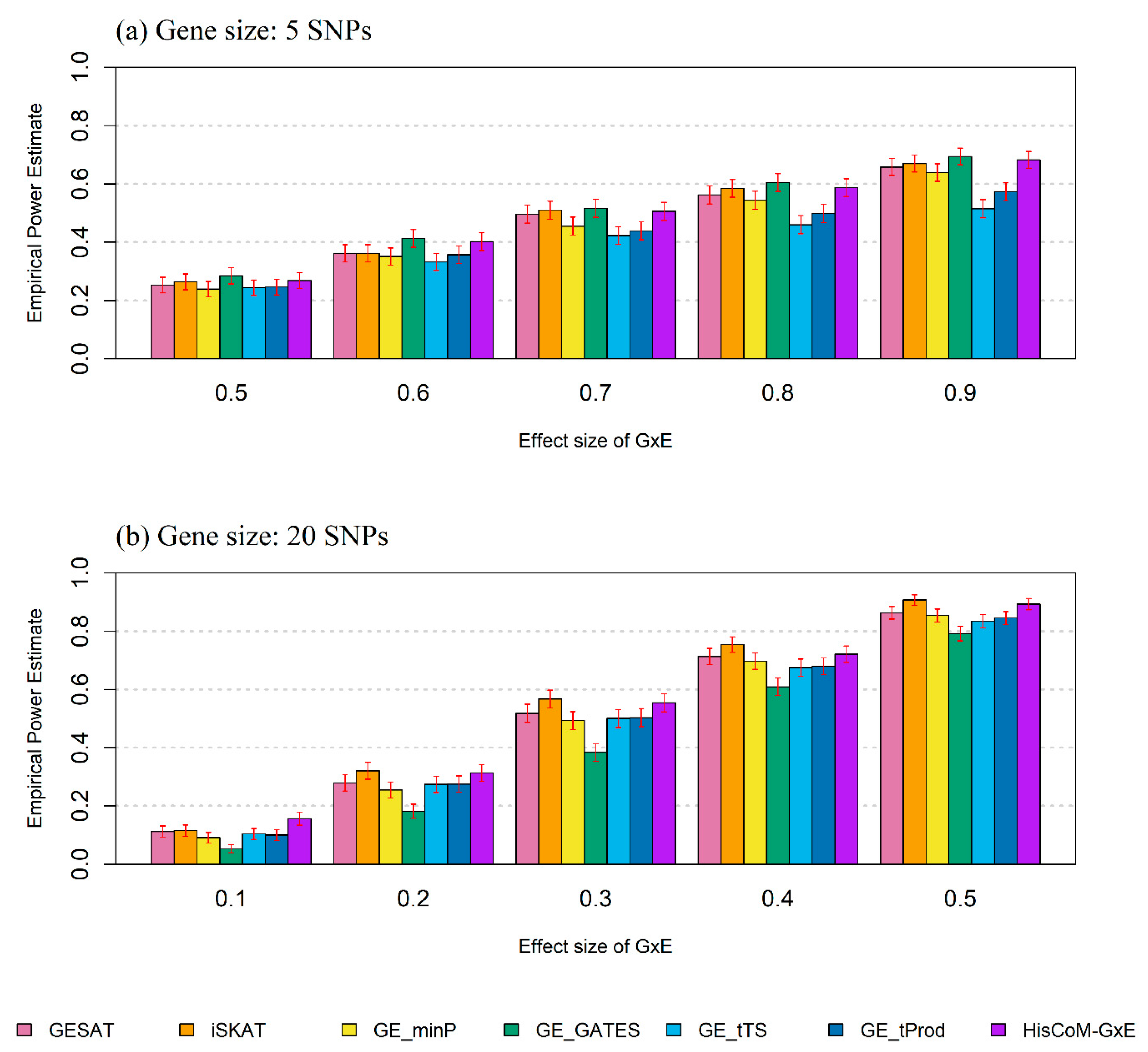
2.2. Power Comparison
2.3. Real Data Analysis: KARE Dataset
3. Discussion
4. Materials and Methods
4.1. HisCoM-G×E Method
4.2. Simulation Study
4.3. Type I Error Rate
4.4. Power Comparison
4.5. Real Data Analysis: KARE Dataset
5. Conclusions
Supplementary Materials
Author Contributions
Funding
Conflicts of Interest
Abbreviations
| G×E | Gene–environment interaction |
| GWAS | Genome-wide association studies |
| SNPs | Single nucleotide polymorphisms |
| HisCoM-G×E | Hierarchical structural CoMponent analysis of gene-based Gene–Environment interactions |
| KARE | Korea Associated REsource |
| GGG | Gene-based gene–gene interaction |
| GESAT | The gene–environment set association test |
| iSKAT | The interaction sequence kernel association test |
| PHARAOH | Pathway-based approach, using a hierarchical structure of collapsed rare variants of high-throughput sequencing data |
| HisCoM-GGI | The hierarchical structural component analysis of gene–gene interactions |
| LD | Linkage disequilibrium |
| SBP | Systolic blood pressure |
| BMI | Body mass index |
| KNIH | Korean National Institute of Health |
| QQ plot | Quantile–quantile plot |
| FDR | False discovery rate |
| SD | Standard deviation |
References
- Maher, B. Personal genomes: The case of the missing heritability. Nature 2008, 456, 18–21. [Google Scholar] [CrossRef] [PubMed]
- Manolio, T.A.; Collins, F.S.; Cox, N.J.; Goldstein, D.B.; Hindorff, L.A.; Hunter, D.J.; McCarthy, M.I.; Ramos, E.M.; Cardon, L.R.; Chakravarti, A.; et al. Finding the missing heritability of complex diseases. Nature 2009, 461, 747–753. [Google Scholar] [CrossRef] [PubMed]
- Hunter, D.J. Gene-environment interactions in human diseases. Nat. Rev. Genet. 2005, 6, 287–298. [Google Scholar] [CrossRef] [PubMed]
- Hindorff, L.A.; Sethupathy, P.; Junkins, H.A.; Ramos, E.M.; Mehta, J.P.; Collins, F.S.; Manolio, T.A. Potential etiologic and functional implications of genome-wide association loci for human diseases and traits. Proc. Natl. Acad. Sci. USA 2009, 106, 9362–9367. [Google Scholar] [CrossRef] [PubMed]
- Thomas, D. Gene-environment-wide association studies: Emerging approaches. Nat. Rev. Gen. 2010, 11, 259–272. [Google Scholar] [CrossRef] [PubMed]
- Rothman, N.; Garcia-Closas, M.; Chatterjee, N.; Malats, N.; Wu, X.F.; Figueroa, J.D.; Real, F.X.; Van den Berg, D.; Matullo, G.; Baris, D.; et al. A multi-stage genome-wide association study of bladder cancer identifies multiple susceptibility loci. Nat. Genet. 2010, 42, 978–998. [Google Scholar] [CrossRef]
- Kooperberg, C.; LeBlanc, M. Increasing the power of identifying gene x gene interactions in genome-wide association studies. Genet. Epidemiol. 2008, 32, 255–263. [Google Scholar] [CrossRef]
- Murcray, C.E.; Lewinger, J.P.; Gauderman, W.J. Gene-Environment Interaction in Genome-Wide Association Studies. Am. J. Epidemiol. 2009, 169, 219–226. [Google Scholar] [CrossRef]
- Ma, L.; Clark, A.G.; Keinan, A. Gene-Based Testing of Interactions in Association Studies of Quantitative Traits. PLoS Genet. 2013, 9, 1–12. [Google Scholar] [CrossRef]
- Li, M.X.; Gui, H.S.; Kwan, J.S.H.; Sham, P.C. GATES: A Rapid and Powerful Gene-Based Association Test Using Extended Simes Procedure. Am. J. Hum. Gen. 2011, 88, 283–293. [Google Scholar] [CrossRef]
- Jiang, B.; Zhang, X.A.; Zuo, Y.J.; Kang, G.L. A powerful truncated tail strength method for testing multiple null hypotheses in one dataset. J. Theor. Biol. 2011, 277, 67–73. [Google Scholar] [CrossRef] [PubMed]
- Zaykin, D.V.; Zhivotovsky, L.A.; Westfall, P.H.; Weir, B.S. Truncated product method for combining P-values. Genet. Epidemiol. 2002, 22, 170–185. [Google Scholar] [CrossRef] [PubMed]
- Liu, J.Z.; Mcrae, A.F.; Nyholt, D.R.; Medland, S.E.; Wray, N.R.; Brown, K.M.; Hayward, N.K.; Montgomery, G.W.; Visscher, P.M.; Martin, N.G.; et al. Versatile Gene-Based Test for Genome-wide Association Studies. A. J. Hum. Gen. 2010, 87, 139–145. [Google Scholar] [CrossRef] [PubMed]
- Lin, X.Y.; Lee, S.; Christiani, D.C.; Lin, X.H. Test for interactions between a genetic marker set and environment in generalized linear models. Biostatistics 2013, 14, 667–681. [Google Scholar] [CrossRef]
- Lin, X.Y.; Lee, S.; Wu, M.C.; Wang, C.L.; Chen, H.; Li, Z.L.; Lin, X.H. Test for Rare Variants by Environment Interactions in Sequencing Association Studies. Biometrics 2016, 72, 156–164. [Google Scholar] [CrossRef]
- Madsen, B.E.; Browning, S.R. A Groupwise Association Test for Rare Mutations Using a Weighted Sum Statistic. PLoS Genet. 2009, 5, e1000384. [Google Scholar] [CrossRef]
- Hwang, H.S.; Takane, Y. Generalized structured component analysis. Psychometrika 2004, 69, 81–99. [Google Scholar] [CrossRef]
- Lee, S.; Choi, S.; Kim, Y.J.; Kim, B.J.; Consortium, T.d.-G.; Hwang, H.; Park, T. Pathway-based approach using hierarchical components of collapsed rare variants. Bioinformatics 2016, 32, i586–i594. [Google Scholar] [CrossRef]
- Choi, S.; Lee, S.; Kim, Y.; Hwang, H.; Park, T. HisCoM-GGI: Hierarchical structural component analysis of gene-gene interactions. J. Bioinform. Comput. Biol. 2018, 16, e1000384. [Google Scholar] [CrossRef]
- Cho, Y.S.; Go, M.J.; Kim, Y.J.; Heo, J.Y.; Oh, J.H.; Ban, H.J.; Yoon, D.; Lee, M.H.; Kim, D.J.; Park, M. A large-scale genome-wide association study of Asian populations uncovers genetic factors influencing eight quantitative traits. Nat. Genet. 2009, 41, 527–534. [Google Scholar] [CrossRef]
- Hoffmann, T.J.; Ehret, G.B.; Nandakumar, P.; Ranatunga, D.; Schaefer, C.; Kwok, P.Y.; Iribarren, C.; Chakravarti, A.; Risch, N. Genome-wide association analyses using electronic health records identify new loci influencing blood pressure variation. Nat. Genet. 2017, 49, 54–64. [Google Scholar] [CrossRef] [PubMed]
- Wain, L.V.; Vaez, A.; Jansen, R.; Joehanes, R.; van der Most, P.J.; Erzurumluoglu, A.M.; O’Reilly, P.F.; Cabrera, C.P.; Warren, H.R.; Rose, L.M.; et al. Novel Blood Pressure Locus and Gene Discovery Using Genome-Wide Association Study and Expression Data Sets From Blood and the Kidney. Hypertension 2017, 70, e4–e19. [Google Scholar] [CrossRef] [PubMed]
- Giri, A.; Hellwege, J.N.; Keaton, J.M.; Park, J.; Qiu, C.X.; Warren, H.R.; Torstenson, E.S.; Kovesdy, C.P.; Sun, Y.V.; Wilson, O.D. Trans-ethnic association study of blood pressure determinants in over 750,000 individuals. Nat. Genet. 2019, 51, 51–62. [Google Scholar] [CrossRef]
- Verme-Gibboney, C. Oral angiotensin-converting-enzyme inhibitors. Am. J. Health Syst. Pharm. 1997, 54, 2689–2703. [Google Scholar] [CrossRef] [PubMed]
- Ward-Caviness, C.K.; Neas, L.M.; Blach, C.; Haynes, C.S.; LaRocque-Abramson, K.; Grass, E.; Dowdy, E.; Devlin, R.B.; Diaz-Sanchez, D.; Cascio, W.E. Genetic Variants in the Bone Morphogenic Protein Gene Family Modify the Association between Residential Exposure to Traffic and Peripheral Arterial Disease. PLoS ONE 2016, 11, e0152670. [Google Scholar] [CrossRef]
- Itoga, N.K.; Tawfik, D.S.; Lee, C.K.; Maruyama, S.; Leeper, N.J.; Chang, T.I. Association of Blood Pressure Measurements With Peripheral Artery Disease Events. Circulation 2018, 138, 1805–1814. [Google Scholar] [CrossRef]
- Ward-Caviness, C.K.; Neas, L.M.; Blach, C.; Haynes, C.S.; LaRocque-Abramson, K.; Grass, E.; Dowdy, Z.E.; Devlin, R.B.; Diaz-Sanchez, D.; Cascio, W.E.; et al. A genome-wide trans-ethnic interaction study links the PIGR-FCAMR locus to coronary atherosclerosis via interactions between genetic variants and residential exposure to traffic. PLoS ONE 2017, 12, e0173880. [Google Scholar] [CrossRef]
- Her, A.Y.; Cho, K.I.; Garg, S.; Kim, Y.H.; Shin, E.S. Association of Inter-Arm Systolic Blood Pressure Difference with Coronary Atherosclerotic Disease Burden Using Calcium Scoring. Yonsei Med. J. 2017, 58, 954–958. [Google Scholar] [CrossRef]
- Bavishi, C.; Goel, S.; Messerli, F.H. Isolated Systolic Hypertension: An Update After SPRINT. Am. J. Med. 2016, 129, 1251–1258. [Google Scholar] [CrossRef]
- Benjamini, Y.; Hochberg, Y. Controlling the False Discovery Rate—A Practical and Powerful Approach to Multiple Testing. J. R. Stat. Soc. B-Stat. Methodol. 1995, 57, 289–300. [Google Scholar] [CrossRef]
- Lee, S.; Choi, S.; Qiao, D.; Cho, M.; Silverman, E.K.; Park, T.; Won, S. WISARD: Workbench for integrated superfast association studies for related datasets. BMC Med. Genom. 2018, 11 (Suppl. 2), 39. [Google Scholar] [CrossRef] [PubMed]
- Trevino, L.S.; Dong, J.; Kaushal, A.; Katz, T.A.; Jangid, R.K.; Robertson, M.J.; Grimm, S.L.; Ambati, C.S.R.; Putluri, V.; Cox, A.R.; et al. Epigenome environment interactions accelerate epigenomic aging and unlock metabolically restricted epigenetic reprogramming in adulthood. Nat. Commun. 2020, 11, 2316. [Google Scholar] [CrossRef] [PubMed]
- Hwang, H. Regularized Generalized Structured Component Analysis. Psychometrika 2009, 74, 517–530. [Google Scholar] [CrossRef]
- Takane, Y.; Hwang, H. An extended redundancy analysis and its applications to two practical examples. Comput. Stat. Data Anal. 2005, 49, 785–808. [Google Scholar] [CrossRef]
- Barrett, J.C.; Fry, B.; Maller, J.; Daly, M.J. Haploview: Analysis and visualization of LD and haplotype maps. Bioinformatics 2005, 21, 263–265. [Google Scholar] [CrossRef]
- Howie, B.N.; Donnelly, P.; Marchini, J. A Flexible and Accurate Genotype Imputation Method for the Next Generation of Genome-Wide Association Studies. PLoS Genet. 2009, 5, e1000529. [Google Scholar] [CrossRef]



| No | CHR | GENE | # of SNPs | iSKAT | GE_GATES | HisCoM-G×E |
|---|---|---|---|---|---|---|
| 1 | 1 | NBPF14 | 54 | 0.5697 | 0.9902 | 6.00 × 10−5 |
| 2 | 19 | TLE | 7 | 0.2587 | 0.2491 | 1.00 × 10−4 |
| 3 | 4 | COMMD8 | 116 | 0.0285 | 0.2064 | 1.40 × 10−4 |
| 4 | 4 | UGDH | 90 | 0.0141 | 0.0518 | 2.00 × 10−4 |
| 5 | 8 | ZFAND1 | 91 | 0.1227 | 0.1713 | 2.20 × 10−4 |
| 6 | 2 | RY1 | 8 | 0.1900 | 0.9966 | 2.60 × 10−4 |
| 7 | 9 | GAPVD1 | 120 | 0.4700 | 0.6905 | 2.80 × 10−4 |
| 8 | 1 | FCAMR | 107 | 0.7512 | 0.9398 | 3.40 × 10−4 |
| 9 | 9 | ADFP | 78 | 0.6676 | 0.4259 | 4.20 × 10−4 |
| 10 | 1 | PIGR | 119 | 0.7613 | 0.9911 | 5.00 × 10−4 |
| 11 | 3 | EIF1B | 89 | 0.1935 | 0.2530 | 8.00 × 10−4 |
| 12 | 19 | ZNF321 | 41 | 6.74 × 10−4 | 0.0262 | 0.0182 |
| 13 | 17 | ACE | 154 | 9.50 × 10−4 | 0.0051 | 0.0220 |
| 14 | 19 | ZNF566 | 11 | 0.3003 | 5.46 × 10−4 | 0.0670 |
| 15 | 13 | SMAD9 | 313 | 7.25 × 10−4 | 0.5510 | 0.0950 |
| 16 | 8 | LETM2 | 107 | 0.0027 | 5.51 × 10−4 | 0.0974 |
| 17 | 16 | KATNB1 | 38 | 1.57 × 10−4 | 0.0011 | 0.1555 |
| 18 | 16 | PARD6A | 60 | 7.36 × 10−5 | 0.0010 | 0.1887 |
| 19 | 16 | ACD | 69 | 1.08 × 10−4 | 0.0014 | 0.2463 |
| 20 | 11 | CALCB | 62 | 0.8119 | 2.45 × 10−4 | 0.2515 |
| 21 | 14 | RAD51L1 | 1199 | 2.71 × 10−4 | 0.1166 | 0.2515 |
| 22 | 11 | TRIM5 | 53 | 9.48 × 10−4 | 0.0070 | 0.2633 |
| 23 | 16 | C16orf86 | 68 | 3.30 × 10−5 | 0.0015 | 0.2787 |
| 24 | 4 | SORCS2 | 1270 | 5.99 × 10−4 | 2.38 × 10−5 | 0.3954 |
| 25 | 11 | NUCB2 | 134 | 8.16 × 10−5 | 0.0341 | 0.4232 |
| 26 | 21 | DSCR3 | 230 | 3.35 × 10−4 | 0.0060 | 0.4502 |
| 27 | 16 | RLTPR | 82 | 3.30 × 10−5 | 8.65 × 10−4 | 0.4794 |
| 28 | 16 | KIFC3 | 131 | 0.0393 | 9.48 × 10−4 | 0.5110 |
| 29 | 1 | ST6GALNAC3 | 1212 | 6.51 × 10−4 | 0.2535 | 0.5270 |
| 30 | 7 | YKT6 | 61 | 9.96 × 10−4 | 0.1369 | 0.5700 |
| 31 | 19 | ZNF99 | 90 | 8.90 × 10−4 | 0.0154 | 0.5736 |
| 32 | 14 | SSTR1 | 40 | 7.67 × 10−4 | 0.0249 | 0.8029 |
| 33 | 2 | C2orf21 | 50 | 5.25 × 10−4 | 0.1123 | 0.8119 |
| 34 | 8 | WHSC1L1 | 134 | 5.79 × 10−4 | 0.0020 | 0.8379 |
| 35 | 4 | TNFRSF1A | 57 | 0.5246 | 2.57 × 10−4 | 0.8798 |
© 2020 by the authors. Licensee MDPI, Basel, Switzerland. This article is an open access article distributed under the terms and conditions of the Creative Commons Attribution (CC BY) license (http://creativecommons.org/licenses/by/4.0/).
Share and Cite
Choi, S.; Lee, S.; Huh, I.; Hwang, H.; Park, T. HisCoM-G×E: Hierarchical Structural Component Analysis of Gene-Based Gene–Environment Interactions. Int. J. Mol. Sci. 2020, 21, 6724. https://doi.org/10.3390/ijms21186724
Choi S, Lee S, Huh I, Hwang H, Park T. HisCoM-G×E: Hierarchical Structural Component Analysis of Gene-Based Gene–Environment Interactions. International Journal of Molecular Sciences. 2020; 21(18):6724. https://doi.org/10.3390/ijms21186724
Chicago/Turabian StyleChoi, Sungkyoung, Sungyoung Lee, Iksoo Huh, Heungsun Hwang, and Taesung Park. 2020. "HisCoM-G×E: Hierarchical Structural Component Analysis of Gene-Based Gene–Environment Interactions" International Journal of Molecular Sciences 21, no. 18: 6724. https://doi.org/10.3390/ijms21186724
APA StyleChoi, S., Lee, S., Huh, I., Hwang, H., & Park, T. (2020). HisCoM-G×E: Hierarchical Structural Component Analysis of Gene-Based Gene–Environment Interactions. International Journal of Molecular Sciences, 21(18), 6724. https://doi.org/10.3390/ijms21186724

