Discovery of New Inhibitors of Transforming Growth Factor-Beta Type 1 Receptor by Utilizing Docking and Structure-Activity Relationship Analysis
Abstract
:1. Introduction
2. Results and Discussion
2.1. Docking Results and Binding Mode
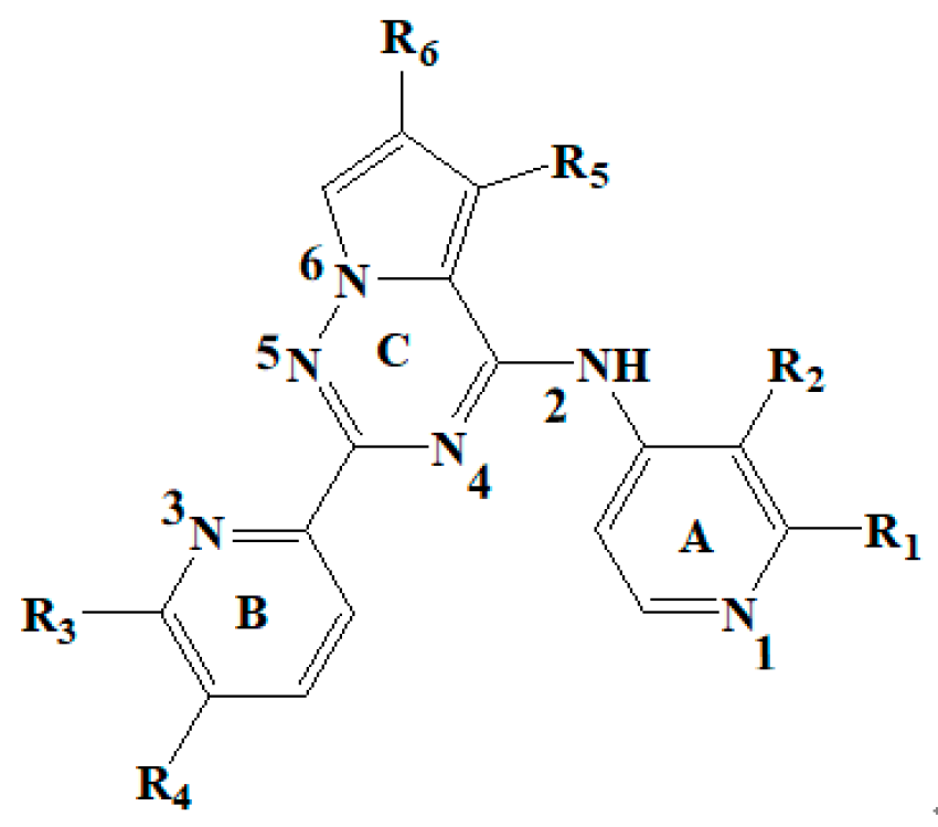
2.2. Structure—Activity Relationships
2.3. Design and Screening of New Inhibitors
3. Materials and Methods
3.1. Molecular Docking
3.2. Structure-Activity Relationship
3.3. Compound Libraries
4. Conclusions
Supplementary Materials
Author Contributions
Funding
Conflicts of Interest
References
- Ge, X.X.; Zhou, Q.F.; Chen, G.L. Advances of transforming growth factor-β inhibitors. Acta Pharm. Sin. 2015, 50, 413–418. [Google Scholar]
- Poniatowski, Ł.A.; Wojdasiewicz, P.; Gasik, R.; Szukiewicz, D. Transforming growth factor beta family: Insight into the role of growth factors in regulation of fracture healing biology and potential clinical. Mediat. Inflamm. 2015. [Google Scholar] [CrossRef] [PubMed]
- Haque, S.; Morris, J.C. Transforming growth factor-β: A therapeutic target for cancer. Hum. Vaccin. Immunother. 2017, 13, 1741–1750. [Google Scholar] [CrossRef] [PubMed]
- Papageorgis, P.; Stylianopoulos, T. Role of TGFβ in regulation of the tumor microenvironment and drug delivery. Int. J. Oncol. 2015, 46, 933–943. [Google Scholar] [CrossRef] [PubMed]
- Colak, S.; Ten Dijke, P. Targeting TGF-β Signaling in Cancer. Trends Cancer 2017, 3, 56–71. [Google Scholar] [CrossRef] [PubMed]
- Guo, J.; Canaff, L.; Rajadurai, C.V.; Fils-Aimé, N.; Tian, J.; Dai, M.; Korah, J.; Villatoro, M.; Park, M.; Ali, S.; et al. Breast cancer anti-estrogen resistance 3 inhibits transforming growth factor β/Smad signaling and associates with favorable breast cancer disease outcomes. Breast Cancer Res. 2014, 16, 476. [Google Scholar] [CrossRef] [PubMed]
- Yingling, J.M.; McMillen, W.T.; Yan, L.; Huang, H.; Sawyer, J.S.; Graff, J.; Clawson, D.K.; Britt, K.S.; Anderson, B.D.; Beight, D.W.; et al. Preclinical assessment of galunisertib (LY2157299 monohydrate), a first-in-class transforming growth factor-β receptor type I inhibitor. Oncotarget 2017, 9, 6659–6677. [Google Scholar] [CrossRef] [PubMed]
- Squibb, B.-M. Transforming Growth Factor-Beta Receptor Antagonists. China Patent 201680049890.2, 17 April 2018. [Google Scholar]
- Squibb, B.-M. Transforming Growth Factor-Beta Receptor Antagonists. China Patent 201680055202.3, 11 May 2018. [Google Scholar]
- Wu, Z.; Xu, H.; Wang, M.; Zhan, R.; Chen, W.; Zhang, R.; Kuang, Z.; Zhang, F.; Wang, K.; Gu, J. Molecular docking and molecular dynamics studies on selective synthesis of α-amyrin and β-amyrin by oxidosqualene cyclases from ilex asprella. Int. J. Mol. Sci. 2019, 20, 3469. [Google Scholar] [CrossRef] [PubMed]
- Xie, L.; Xie, L. Pathway-centric atructure-based multi-target compound screening for anti-virulence drug repurposing. Int. J. Mol. Sci. 2019, 20, 3504. [Google Scholar] [CrossRef] [PubMed]
- Jiang, J.; Zhou, H.; Jiang, Q.; Sun, L.; Deng, P. Novel transforming growth factor-Beta receptor 1 antagonists through a pharmacophore-based virtual screening approach. Molecules 2018, 23, 2824. [Google Scholar] [CrossRef] [PubMed]
- Huse, M.; Chen, Y.G.; Massagué, J.; Kuriyan, J. Crystal structure of the cytoplasmic domain of the type I TGF beta receptor in complex with FKBP12. Cell 1999, 96, 425–436. [Google Scholar] [CrossRef]
- Wu, G.; Robertson, D.H.; Brooks, C.L., III; Vieth, M. Detailed Analysis of grid-based molecular docking: a case study of CDOCKER—a CHARMm-based MD docking algorithm. J. Comp. Chem. 2003, 24, 1549–1562. [Google Scholar] [CrossRef] [PubMed]
- Hussain, J.; Rea, C. Computationally efficient algorithm to identify matched molecular pairs (MMPs) in large data sets. J. Chem. Inf. Model. 2010, 50, 339–348. [Google Scholar] [CrossRef] [PubMed]







| NO. | MS | pIC50 | ΔpIC50 | NO. | MS | pIC50 | ΔpIC50 |
|---|---|---|---|---|---|---|---|
| 2 | ![]() | −0.6021 | / | 5 | ![]() | −2.5563 | –1.8842 |
| 3 | ![]() | −2.8195 | –2.1474 | 6 | ![]() | −2.3979 | –1.7258 |
| 4 | ![]() | −2.9494 | –2.2773 |
| NO. | MS | pIC50 | NO. | MS | pIC50 |
|---|---|---|---|---|---|
| 7 | ![]() | −1.1461 | 13 | ![]() | −0.1761 |
| 8 | ![]() | 0.4089 | 14 | ![]() | 0.0315 |
| 9 | ![]() | 0.1024 | 15 | ![]() | −0.5911 |
| 10 | ![]() | −0.3979 | 16 | ![]() | −1.6435 |
| 11 | ![]() | −0.2041 | 17 | ![]() | −1.6232 |
| 12 | ![]() | −0.1761 |
| NO. | MS | pIC50 | ΔpIC50 | NO. | MS | pIC50 | ΔpIC50 |
|---|---|---|---|---|---|---|---|
| 12 | ![]() | −0.1761 | / | 20 | ![]() | −1.8129 | –1.6368 |
| 9 | ![]() | 0.1024 | 0.2785 | 21 | ![]() | −2.1761 | –2.0000 |
| 18 | ![]() | −0.5682 | –0.3921 | 22 | ![]() | −3.2304 | –3.0543 |
| 19 | ![]() | −1.8451 | –1.6690 |
| Name | MW | ALogP | ROTB | HBA | HBD | CDDOCK energy |
|---|---|---|---|---|---|---|
| CQMU1901 | 358 | 0.142 | 3 | 10 | 2 | −52.7057 |
| CQMU1902 | 375 | 0.710 | 3 | 10 | 1 | −59.5115 |
| CQMU1903 | 358 | −0.791 | 3 | 9 | 1 | −40.7534 |
| CQMU1904 | 389 | −0.311 | 3 | 9 | 2 | −38.3008 |
| CQMU1905 | 390 | 0.283 | 3 | 10 | 2 | −48.0729 |
© 2019 by the authors. Licensee MDPI, Basel, Switzerland. This article is an open access article distributed under the terms and conditions of the Creative Commons Attribution (CC BY) license (http://creativecommons.org/licenses/by/4.0/).
Share and Cite
Jiang, J.-H.; Deng, P. Discovery of New Inhibitors of Transforming Growth Factor-Beta Type 1 Receptor by Utilizing Docking and Structure-Activity Relationship Analysis. Int. J. Mol. Sci. 2019, 20, 4090. https://doi.org/10.3390/ijms20174090
Jiang J-H, Deng P. Discovery of New Inhibitors of Transforming Growth Factor-Beta Type 1 Receptor by Utilizing Docking and Structure-Activity Relationship Analysis. International Journal of Molecular Sciences. 2019; 20(17):4090. https://doi.org/10.3390/ijms20174090
Chicago/Turabian StyleJiang, Jun-Hao, and Ping Deng. 2019. "Discovery of New Inhibitors of Transforming Growth Factor-Beta Type 1 Receptor by Utilizing Docking and Structure-Activity Relationship Analysis" International Journal of Molecular Sciences 20, no. 17: 4090. https://doi.org/10.3390/ijms20174090
APA StyleJiang, J.-H., & Deng, P. (2019). Discovery of New Inhibitors of Transforming Growth Factor-Beta Type 1 Receptor by Utilizing Docking and Structure-Activity Relationship Analysis. International Journal of Molecular Sciences, 20(17), 4090. https://doi.org/10.3390/ijms20174090























