Insulin Treatment May Alter Fatty Acid Carriers in Placentas from Gestational Diabetes Subjects
Abstract
:1. Introduction
2. Results
2.1. Subject Characteristics
2.2. Lipases and Lipid Carriers in Placentas from GDM
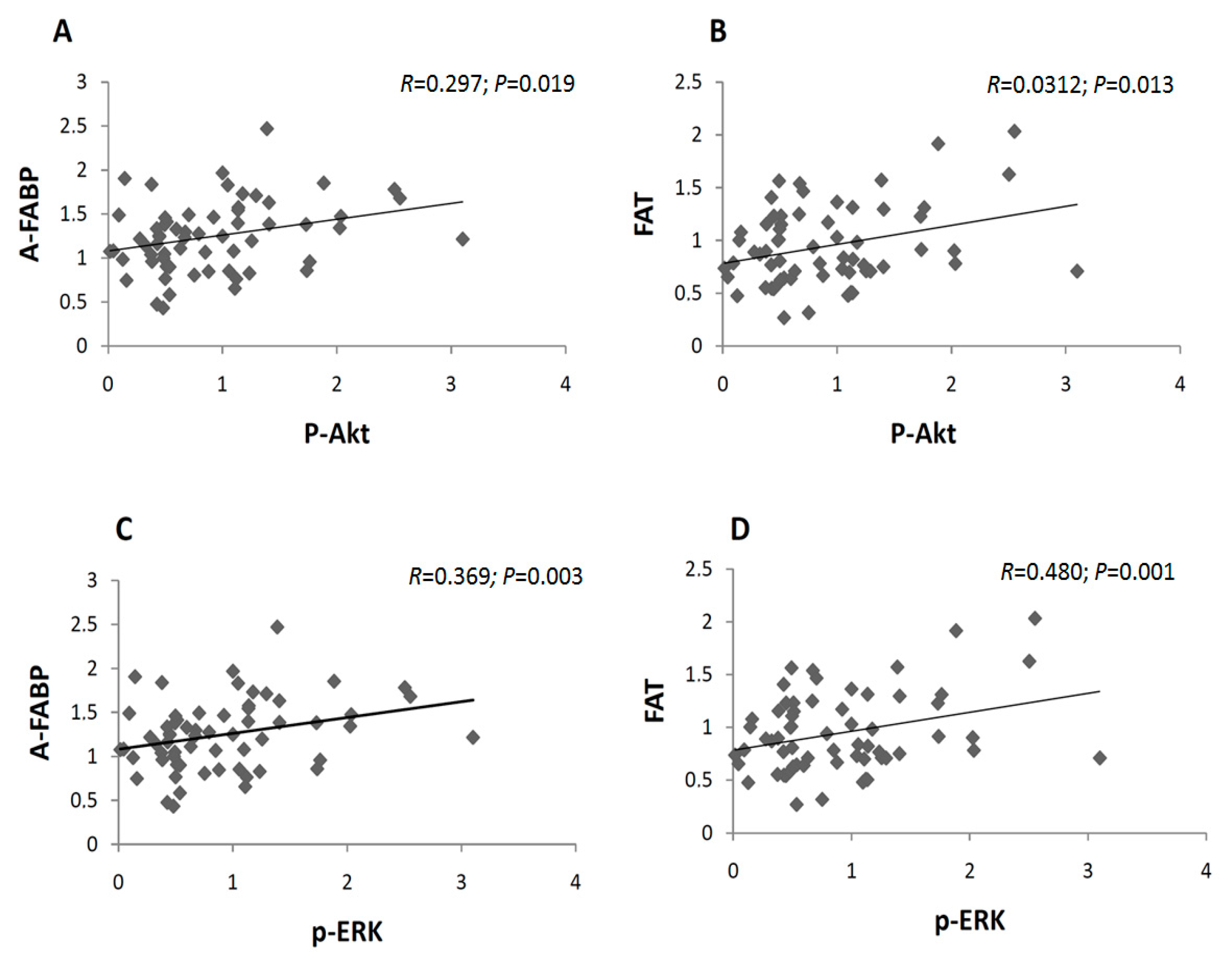
2.3. Phosphorylated Insulin Signaling in GDM Placentas
2.4. In Vitro Effect of Insulin on Lipid Carriers in BeWo Cells
3. Discussion
4. Materials and Methods
4.1. Ethical Approval
4.2. Study Population
4.3. Maternal and Neonatal Anthropometrical Measurements
4.4. Sampling
4.5. Biochemical Analysis
4.6. Fatty Acids in Total Lipids of Serum and Placenta
4.7. Inhibitors and Antibodies
4.8. Cell Culture
4.9. Protein Extracts for Western Blotting
4.10. Western Blotting Analyses
4.11. Statistical Analysis
Acknowledgments
Author Contributions
Conflicts of Interest
Abbreviations
| GDM | Gestational Diabetes mellitus |
| FAT | Fatty acid translocase |
| FATP-1 | Fatty acid transport protein |
| A-FABP | Fatty acid binding protein |
| FATP-4 | Fatty acid transport protein |
| LPL | Lipoprotein lipase |
| EL | Endothelial lipase |
| BeWo | Human Choricarcinoma-Derived cell line |
| Akt | Protein Kinase B |
| IRS-1 | Insulin receptor substrate-1 |
| ERK | Extracellular signal regulated Kinase |
| S6 | Ribosomal protein S6 |
| m-TOR | Mammalian Target of Rapamycin |
| z-AC | z-score of ultrasound fetal abdominal circumference |
References
- Gauster, M.; Desoye, G.; Totsch, M.; Hiden, U. The placenta and gestational diabetes mellitus. Curr. Diab. Rep. 2012, 12, 16–23. [Google Scholar] [CrossRef] [PubMed]
- Gauster, M.; Rechberger, G.; Sovic, A.; Horl, G.; Steyrer, E.; Sattler, W.; Frank, S. Endothelial lipase releases saturated and unsaturated fatty acids of high density lipoprotein phosphatidylcholine. J. Lipid Res. 2005, 46, 1517–1525. [Google Scholar] [CrossRef] [PubMed]
- Lindegaard, M.L.; Olivecrona, G.; Christoffersen, C.; Kratky, D.; Hannibal, J.; Petersen, B.L.; Zechner, R.; Damm, P.; Nielsen, L.B. Endothelial and lipoprotein lipases in human and mouse placenta. J. Lipid Res. 2005, 46, 2339–2346. [Google Scholar] [CrossRef] [PubMed]
- van der Vusse, G.J.; van Bilsen, M.; Glatz, J.F.; Hasselbaink, D.M.; Luiken, J.J. Critical steps in cellular fatty acid uptake and utilization. Mol. Cell. Biochem. 2002, 239, 9–15. [Google Scholar] [CrossRef] [PubMed]
- Campbell, F.M.; Dutta-Roy, A.K. Plasma membrane fatty acid-binding protein (FABPpm) is exclusively located in the maternal facing membranes of the human placenta. FEBS Lett. 1995, 375, 227–230. [Google Scholar] [CrossRef]
- Hanebutt, F.L.; Demmelmair, H.; Schiessl, B.; Larque, E.; Koletzko, B. Long-chain polyunsaturated fatty acid (LC-PUFA) transfer across the placenta. Clin. Nutr. 2008, 27, 685–693. [Google Scholar] [CrossRef] [PubMed]
- Cunningham, P.; McDermott, L. Long chain pufa transport in human term placenta. J. Nutr. 2009, 139, 636–639. [Google Scholar] [CrossRef] [PubMed]
- Lappas, M. Effect of pre-existing maternal obesity, gestational diabetes and adipokines on the expression of genes involved in lipid metabolism in adipose tissue. Metabolism 2014, 63, 250–262. [Google Scholar] [CrossRef] [PubMed]
- Radaelli, T.; Lepercq, J.; Varastehpour, A.; Basu, S.; Catalano, P.M.; Hauguel-De Mouzon, S. Differential regulation of genes for fetoplacental lipid pathways in pregnancy with gestational and type 1 diabetes mellitus. Am. J. Obstet. Gynecol. 2009, 201, e201–e210. [Google Scholar] [CrossRef] [PubMed]
- Buse, M.G.; Roberts, W.J.; Buse, J. The role of the human placenta in the transfer and metabolism of insulin. J. Clin. Investig. 1962, 41, 29–41. [Google Scholar] [CrossRef] [PubMed]
- Desoye, G.; Hofmann, H.H.; Weiss, P.A. Insulin binding to trophoblast plasma membranes and placental glycogen content in well-controlled gestational diabetic women treated with diet or insulin, in well-controlled overt diabetic patients and in healthy control subjects. Diabetologia 1992, 35, 45–55. [Google Scholar] [CrossRef] [PubMed]
- Pessin, J.E.; Saltiel, A.R. Signaling pathways in insulin action: Molecular targets of insulin resistance. J. Clin. Investig. 2000, 106, 165–169. [Google Scholar] [CrossRef] [PubMed]
- McKay, M.M.; Morrison, D.K. Integrating signals from rtks to erk/mapk. Oncogene 2007, 26, 3113–3121. [Google Scholar] [CrossRef] [PubMed]
- Colomiere, M.; Permezel, M.; Riley, C.; Desoye, G.; Lappas, M. Defective insulin signaling in placenta from pregnancies complicated by gestational diabetes mellitus. Eur. J. Endocrinol. 2009, 160, 567–578. [Google Scholar] [CrossRef] [PubMed]
- Luiken, J.J.; Dyck, D.J.; Han, X.X.; Tandon, N.N.; Arumugam, Y.; Glatz, J.F.; Bonen, A. Insulin induces the translocation of the fatty acid transporter fat/cd36 to the plasma membrane. Am. J. Physiol. Endocrinol. Metab. 2002, 282, E491–E495. [Google Scholar] [CrossRef] [PubMed]
- Wu, Q.; Ortegon, A.M.; Tsang, B.; Doege, H.; Feingold, K.R.; Stahl, A. Fatp1 is an insulin-sensitive fatty acid transporter involved in diet-induced obesity. Mol. Cell. Biol. 2006, 26, 3455–3467. [Google Scholar] [CrossRef] [PubMed]
- Magnusson-Olsson, A.L.; Hamark, B.; Ericsson, A.; Wennergren, M.; Jansson, T.; Powell, T.L. Gestational and hormonal regulation of human placental lipoprotein lipase. J. Lipid Res. 2006, 47, 2551–2561. [Google Scholar] [CrossRef] [PubMed]
- HAPO Study Cooperative Research Group. Hyperglycemia and adverse pregnancy outcome (HAPO) study: Associations with neonatal anthropometrics. Diabetes 2009, 58, 453–459. [Google Scholar]
- National Diabetes Data Group. Classification and diagnosis of diabetes mellitus and other categories of glucose intolerance. National diabetes data group. Diabetes 1979, 28, 1039–1057. [Google Scholar]
- Kehl, R.J.; Krew, M.A.; Thomas, A.; Catalano, P.M. Fetal growth and body composition in infants of women with diabetes mellitus during pregnancy. J. Mater. Fetal Med. 1996, 5, 273–280. [Google Scholar] [CrossRef]
- Schaefer-Graf, U.M.; Graf, K.; Kulbacka, I.; Kjos, S.L.; Dudenhausen, J.; Vetter, K.; Herrera, E. Maternal lipids as strong determinants of fetal environment and growth in pregnancies with gestational diabetes mellitus. Diabetes Care 2008, 31, 1858–1863. [Google Scholar] [CrossRef] [PubMed]
- O’Tierney-Ginn, P.; Presley, L.; Myers, S.; Catalano, P. Placental growth response to maternal insulin in early pregnancy. J. Clin. Endocrinol. Metab. 2015, 100, 159–165. [Google Scholar] [CrossRef] [PubMed]
- Jansson, N.; Rosario, F.J.; Gaccioli, F.; Lager, S.; Jones, H.N.; Roos, S.; Jansson, T.; Powell, T.L. Activation of placental mtor signaling and amino acid transporters in obese women giving birth to large babies. J. Clin. Endocrinol. Metab. 2013, 98, 105–113. [Google Scholar] [CrossRef] [PubMed]
- Karl, P.I.; Alpy, K.L.; Fisher, S.E. Amino acid transport by the cultured human placental trophoblast: Effect of insulin on aib transport. Am. J. Physiol. 1992, 262, C834–C839. [Google Scholar] [PubMed]
- Rajkhowa, M.; Brett, S.; Cuthbertson, D.J.; Lipina, C.; Ruiz-Alcaraz, A.J.; Thomas, G.E.; Logie, L.; Petrie, J.R.; Sutherland, C. Insulin resistance in polycystic ovary syndrome is associated with defective regulation of erk1/2 by insulin in skeletal muscle in vivo. Biochem. J. 2009, 418, 665–671. [Google Scholar] [CrossRef] [PubMed]
- Ruiz-Alcaraz, A.J.; Lipina, C.; Petrie, J.R.; Murphy, M.J.; Morris, A.D.; Sutherland, C.; Cuthbertson, D.J. Obesity-induced insulin resistance in human skeletal muscle is characterised by defective activation of p42/p44 map kinase. PLoS ONE 2013, 8, e56928. [Google Scholar] [CrossRef] [PubMed]
- Visiedo, F.; Bugatto, F.; Sanchez, V.; Cozar-Castellano, I.; Bartha, J.L.; Perdomo, G. High glucose levels reduce fatty acid oxidation and increase triglyceride accumulation in human placenta. Am. J. Physiol. Endocrinol. Metab. 2013, 305, E205–E212. [Google Scholar] [CrossRef] [PubMed]
- Chabowski, A.; Coort, S.L.; Calles-Escandon, J.; Tandon, N.N.; Glatz, J.F.; Luiken, J.J.; Bonen, A. Insulin stimulates fatty acid transport by regulating expression of fat/cd36 but not fabppm. Am. J. Physiol. Endocrinol. Metab. 2004, 287, E781–E789. [Google Scholar] [CrossRef] [PubMed]
- Lindegaard, M.L.; Damm, P.; Mathiesen, E.R.; Nielsen, L.B. Placental triglyceride accumulation in maternal type 1 diabetes is associated with increased lipase gene expression. J. Lipid Res. 2006, 47, 2581–2588. [Google Scholar] [CrossRef] [PubMed]
- Gauster, M.; Hiden, U.; van Poppel, M.; Frank, S.; Wadsack, C.; Hauguel-de Mouzon, S.; Desoye, G. Dysregulation of placental endothelial lipase in obese women with gestational diabetes mellitus. Diabetes 2011, 60, 2457–2464. [Google Scholar] [CrossRef] [PubMed]
- Scifres, C.M.; Chen, B.; Nelson, D.M.; Sadovsky, Y. Fatty acid binding protein 4 regulates intracellular lipid accumulation in human trophoblasts. J. Clin. Endocrinol. Metab. 2011, 96, E1083–E1091. [Google Scholar] [CrossRef] [PubMed]
- O’Sullivan, J.B.; Mahan, C.M. Criteria for the oral glucose tolerance test in pregnancy. Diabetes 1964, 13, 278–285. [Google Scholar] [PubMed]
- Chitty, L.S.; Altman, D.G.; Henderson, A.; Campbell, S. Charts of fetal size: 3. Abdominal measurements. Br. J. Obstet. Gynaecol. 1994, 101, 125–131. [Google Scholar] [CrossRef] [PubMed]
- Carrascosa, A.; Fernandez, J.M.; Fernandez, C.; Ferrandez, A.; Lopez-Siguero, J.P.; Sanchez, E.; Sobradillo, B.; Yeste, D. Spanish growth studies 2008. New anthropometric standards. Endocrinol. Nutr. 2008, 55, 484–506. [Google Scholar] [CrossRef]
- Folch, J.; Lees, M.; Sloane Stanley, G.H. A simple method for the isolation and purification of total lipides from animal tissues. J. Biol. Chem. 1957, 226, 497–509. [Google Scholar] [PubMed]
- Ruiz-Alcaraz, A.J.; Liu, H.K.; Cuthbertson, D.J.; McManus, E.J.; Akhtar, S.; Lipina, C.; Morris, A.D.; Petrie, J.R.; Hundal, H.S.; Sutherland, C. A novel regulation of irs1 (insulin receptor substrate-1) expression following short term insulin administration. Biochem. J. 2005, 392, 345–352. [Google Scholar] [CrossRef] [PubMed]
- Bradford, M.M. A rapid and sensitive method for the quantitation of microgram quantities of protein utilizing the principle of protein-dye binding. Anal. Biochem. 1976, 72, 248–254. [Google Scholar] [CrossRef]





| Mothers | ||||
|---|---|---|---|---|
| Control (n = 25) | GDM-Diet (n = 23) | GDM-Insulin (n = 20) | p | |
| Pregestational BMI (kg/m2) | 23.2 ± 0.8 b | 26.2 ± 1 a,b | 28.2 ± 1.3 a | 0.005 |
| Placental weight (g) | 582 ± 24 b | 651 ± 26 a,b | 674 ± 34 a | 0.045 |
| Placental thickness | 38.2 ± 2.1 a | 47.8 ± 2.4 b | 49 ± 2.4 b,c | 0.002 |
| Cesarean Rate | 26% | 30% | 30% | 0.060 |
| Gestational age (weeks) | 39.5 ± 0.15 a | 38.1 ± 0.3 b | 38.2 ± 0.2 b | 0.000 |
| BMI 3rd trimester (kg/m2) | 26 ± 0.7 a | 29 ± 1 a,b | 30.6 ± 1 b | 0.003 |
| BMI at Delivery (kg/m2) | 27.9 ± 0.7 b | 30.3 ± 1.0 a,b | 31.8 ± 1.3 a | 0.033 |
| Glucose 3rd trimester (mg/dL) | 72.8 ±1.4 a | 80.6 ±1.8 a,b | 84.0 ± 4.0 b | 0.007 |
| Glucose delivery (mg/dL) | 63.6 ± 3.7 a | 84.3 ± 3.7 b | 88.1 ± 7.4 b | 0.002 |
| Insulin 3rd trimester (µIU/mL) | 15.2 ± 1.4 a | 17.1 ± 1.7 a | 28.4 ± 5.0 b | 0.004 |
| Insulin delivery (µIU/mL) | 20.2 ± 5 | 20.6 ± 3.3 | 37.1 ± 8.1 | 0.067 |
| HOMA 3rd trimester | 2.7 ± 0.2 a | 3.4 ± 0.4 a,b | 5.8 ± 1.4 b | 0.020 |
| HOMA delivery | 3.1 ± 1.0 b | 4.5 ± 0.9 a,b | 9.9 ± 3.3 a | 0.039 |
| TG 3rd trimester (mg/dL) | 183 ± 17.7 a | 188 ± 10.6 a,b | 240 ± 18.3 b | 0.028 |
| TG delivery (mg/dL) | 222 ± 13.7 | 220 ± 13.5 | 256 ± 17.7 | 0.187 |
| Total FA 3rd trimester (mg/dL) | 501 ± 19.4 a | 506 ± 17.3 a | 627 ± 44.5 b | 0.003 |
| Total FA delivery (mg/dL) | 517 ± 21 | 516 ± 14.4 | 565 ± 18.4 | 0.121 |
| Offspring | ||||
| z-fetal AC 3rd trimester | −0.3 ± 0.2 | 0.6 ± 0.2 | 0.6 ± 0.2 | 0.075 |
| z-fetal AC delivery | −0.3 ± 0.2 | 0.3 ± 0.2 | 0.4 ± 0.2 | 0.071 |
| z-Birth weight | 0.3 ± 0.2 | 0.4 ± 0.2 | 0.6 ± 0.2 | 0.482 |
| z-Length baby | 0.2 ± 0.2 | 0.7 ± 0.2 | 0.9 ± 0.2 | 0.099 |
| z-BMI baby | 0.1 ± 0.25 | −0.3 ± 0.2 | 0.02 ± 0.2 | 0.474 |
| Glucose cord (mg/dL) | 69.4 ± 3.7 | 67.8 ± 3.5 | 76.3 ± 6.2 | 0.390 |
| Insulin cord (µIU/mL) | 8.9 ± 1.7 | 11.3 ± 1.8 | 8.7 ± 1 | 0.453 |
| HOMA cord | 1.6 ± 0.5 | 1.6 ± 0.3 | 1.2 ± 0.2 | 0.706 |
| TG cord (mg/dL) | 42.1 ± 3.6 a | 32.1 ± 3.5 a,b | 28.8 ± 2.2 b | 0.015 |
| Total FA cord (mg/dL) | 184 ± 9.4 a | 146 ± 4.5 b | 155 ± 5.7 b | 0.001 |
© 2017 by the authors. Licensee MDPI, Basel, Switzerland. This article is an open access article distributed under the terms and conditions of the Creative Commons Attribution (CC BY) license (http://creativecommons.org/licenses/by/4.0/).
Share and Cite
Ruiz-Palacios, M.; Prieto-Sánchez, M.T.; Ruiz-Alcaraz, A.J.; Blanco-Carnero, J.E.; Sanchez-Campillo, M.; Parrilla, J.J.; Larqué, E. Insulin Treatment May Alter Fatty Acid Carriers in Placentas from Gestational Diabetes Subjects. Int. J. Mol. Sci. 2017, 18, 1203. https://doi.org/10.3390/ijms18061203
Ruiz-Palacios M, Prieto-Sánchez MT, Ruiz-Alcaraz AJ, Blanco-Carnero JE, Sanchez-Campillo M, Parrilla JJ, Larqué E. Insulin Treatment May Alter Fatty Acid Carriers in Placentas from Gestational Diabetes Subjects. International Journal of Molecular Sciences. 2017; 18(6):1203. https://doi.org/10.3390/ijms18061203
Chicago/Turabian StyleRuiz-Palacios, Maria, Maria Teresa Prieto-Sánchez, Antonio José Ruiz-Alcaraz, José Eliseo Blanco-Carnero, Maria Sanchez-Campillo, Juan José Parrilla, and Elvira Larqué. 2017. "Insulin Treatment May Alter Fatty Acid Carriers in Placentas from Gestational Diabetes Subjects" International Journal of Molecular Sciences 18, no. 6: 1203. https://doi.org/10.3390/ijms18061203
APA StyleRuiz-Palacios, M., Prieto-Sánchez, M. T., Ruiz-Alcaraz, A. J., Blanco-Carnero, J. E., Sanchez-Campillo, M., Parrilla, J. J., & Larqué, E. (2017). Insulin Treatment May Alter Fatty Acid Carriers in Placentas from Gestational Diabetes Subjects. International Journal of Molecular Sciences, 18(6), 1203. https://doi.org/10.3390/ijms18061203

