A Comprehensive Study on Pyrolysis Mechanism of Substituted β-O-4 Type Lignin Dimers
Abstract
:1. Introduction
2. Results
2.1. Pyrolysis Model for β-O-4 Type Lignin Dimers
2.2. Pyrolysis Mechanism of β-O-4 Type Lignin Dimers Based on the Pyrolysis Model
2.2.1. Concerted Mechanisms of Model Compound α-OH-β-CH2OH-o-CH3O-PPE
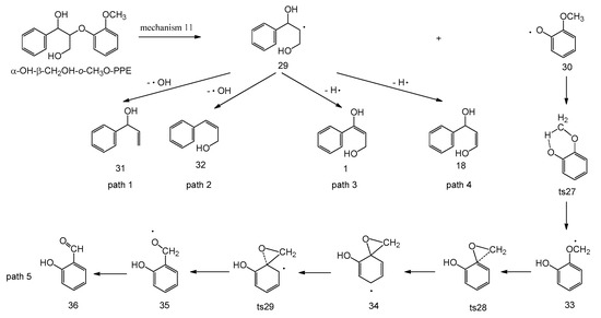
2.2.2. Homolytic Mechanisms of Model Compound α-OH-β-CH2OH-o-CH3O-PPE
2.2.3. Summary
3. Discussion
4. Calculation Methods
5. Conclusions
Supplementary Materials
Acknowledgments
Author Contributions
Conflicts of Interest
References
- Zakzeski, J.; Bruijnincx, P.C.A.; Jongerius, A.L.; Weckhuysen, B.M. The catalytic valorization of lignin for the production of renewable chemicals. Chem. Rev. 2010, 110, 3552–3599. [Google Scholar] [CrossRef] [PubMed]
- Kawamoto, H. Lignin pyrolysis reactions. J. Wood Sci. 2017, 63, 117–132. [Google Scholar] [CrossRef]
- Mu, W.; Ben, H.; Ragauskas, A.; Deng, Y. Lignin pyrolysis components and upgrading—Technology review. Bioenergy Res. 2013, 6, 1183–1204. [Google Scholar] [CrossRef]
- Azadi, P.; Inderwildi, O.R.; Farnood, R.; King, D.A. Liquid fuels, hydrogen and chemicals from lignin: A critical review. Renew. Sustain. Energy Rev. 2013, 21, 506–523. [Google Scholar] [CrossRef]
- Parthasarathi, R.; Romero, R.A.; Redondo, A.; Gnanakaran, S. Theoretical study of the remarkably diverse linkages in lignin. J. Phys. Chem. Lett. 2011, 2, 2660–2666. [Google Scholar] [CrossRef]
- Kim, S.; Chmely, S.C.; Nimlos, M.R.; Bomble, Y.J.; Foust, T.D.; Paton, R.S.; Beckham, G.T. Computational study of bond dissociation enthalpies for a large range of native and modified lignins. J. Phys. Chem. Lett. 2011, 2, 2846–2852. [Google Scholar] [CrossRef]
- Asatryan, R.; Bennadji, H.; Bozzelli, J.W.; Ruckenstein, E.; Khachatryan, L. Molecular products and fundamentally based reaction pathways in the gas-phase pyrolysis of the lignin model compound p-coumaryl alcohol. J. Phys. Chem. A 2017, 121, 3352–3371. [Google Scholar] [CrossRef] [PubMed]
- Sharma, A.; Pareek, V.; Zhang, D. Biomass pyrolysis—A review of modelling, process parameters and catalytic studies. Renew. Sustain. Energy Rev. 2015, 50, 1081–1096. [Google Scholar] [CrossRef]
- Bridgwater, A.V. Review of fast pyrolysis of biomass and product upgrading. Biomass Bioenergy 2012, 38, 68–94. [Google Scholar] [CrossRef]
- Collard, F.X.; Blin, J. A review on pyrolysis of biomass constituents: Mechanisms and composition of the products obtained from the conversion of cellulose, hemicelluloses and lignin. Renew. Sustain. Energy Rev. 2014, 38, 594–608. [Google Scholar] [CrossRef]
- Amen-Chen, C.; Pakdel, H.; Roy, C. Production of monomeric phenols by thermochemical conversion of biomass: A review. Bioresour. Technol. 2001, 79, 277–299. [Google Scholar] [CrossRef]
- Wang, Q.; Guan, S.; Shen, D. Experimental and kinetic study on lignin depolymerization in water/formic acid system. Int. J. Mol. Sci. 2017, 18, 2082. [Google Scholar] [CrossRef] [PubMed]
- Huang, J.; Liu, C.; Wu, D.; Tong, H.; Ren, L. Density functional theory studies on pyrolysis mechanism of β-O-4 type lignin dimer model compound. J. Anal. Appl. Pyrolysis 2014, 109, 98–108. [Google Scholar] [CrossRef]
- Jiang, X.Y.; Lu, Q.; Ye, X.N.; Hu, B.; Dong, C.Q. Experimental and theoretical studies on the pyrolysis mechanism of β-1-type lignin dimer model compound. BioResources 2016, 11, 6232–6243. [Google Scholar] [CrossRef]
- Wang, S.; Ru, B.; Dai, G.; Shi, Z.; Zhou, J.; Luo, Z.; Ni, M.; Cen, K. Mechanism study on the pyrolysis of a synthetic β-O-4 dimer as lignin model compound. Proc. Combust. Inst. 2017, 36, 2225–2233. [Google Scholar] [CrossRef]
- Liu, C.; Wilson, A.K. Cleavage of the β-O-4 linkage of lignin using group 8 pincer complexes: A DFT study. J. Mol. Catal. A Chem. 2015, 399, 33–41. [Google Scholar] [CrossRef]
- Younker, J.M.; Beste, A.; Buchanan, A.C. Computational study of bond dissociation enthalpies for substituted β-O-4 lignin model compounds. ChemPhysChem 2011, 12, 3556–3565. [Google Scholar] [CrossRef] [PubMed]
- Zhang, J.J.; Jiang, X.Y.; Ye, X.N.; Chen, L.; Lu, Q.; Wang, X.H.; Dong, C.Q. Pyrolysis mechanism of a β-O-4 type lignin dimer model compound. J. Therm. Anal. Calorim. 2016, 123, 501–510. [Google Scholar] [CrossRef]
- Chen, L.; Ye, X.; Luo, F.; Shao, J.; Lu, Q.; Fang, Y.; Wang, X.; Chen, H. Pyrolysis mechanism of β-O-4 type lignin model dimer. J. Anal. Appl. Pyrolysis 2015, 115, 103–111. [Google Scholar] [CrossRef]
- Beste, A.; Buchanan, A.C., III. Substituent effects on the reaction rates of hydrogen abstraction in the pyrolysis of phenethyl phenyl ethers. Energy Fuels 2010, 24, 2857–2867. [Google Scholar] [CrossRef]
- Elder, T.; Beste, A. Density functional theory study of the concerted pyrolysis mechanism for lignin models. Energy Fuels 2014, 28, 5229–5235. [Google Scholar] [CrossRef]
- He, T.; Zhang, Y.; Zhu, Y.; Wen, W.; Pan, Y.; Wu, J.; Wu, J. Pyrolysis mechanism study of lignin model compounds by synchrotron vacuum ultraviolet photoionization mass spectrometry. Energy Fuels 2016, 30, 2204–2208. [Google Scholar] [CrossRef]
- Wang, M.; Liu, C. Theoretic studies on decomposition mechanism of o-methoxy phenethyl phenyl ether: Primary and secondary reactions. J. Anal. Appl. Pyrolysis 2016, 117, 325–333. [Google Scholar] [CrossRef]
- Kawamoto, H.; Horigoshi, S.; Saka, S. Effects of side-chain hydroxyl groups on pyrolytic β-ether cleavage of phenolic lignin model dimer. J. Wood Sci. 2007, 53, 268–271. [Google Scholar] [CrossRef]
- Kawamoto, H.; Nakamura, T.; Saka, S. Pyrolytic cleavage mechanisms of lignin-ether linkages: A study on p-substituted dimers and trimers. Holzforschung 2008, 62, 50–56. [Google Scholar] [CrossRef]
- Kawamoto, H.; Ryoritani, M.; Saka, S. Different pyrolytic cleavage mechanisms of β-ether bond depending on the side-chain structure of lignin dimers. J. Anal. Appl. Pyrolysis 2008, 81, 88–94. [Google Scholar] [CrossRef]
- Kawamoto, H.; Saka, S. Role of side-chain hydroxyl groups in pyrolytic reaction of phenolic β-ether type of lignin dimer. J. Wood Chem. Technol. 2007, 27, 113–120. [Google Scholar] [CrossRef]
- Britt, P.F.; Kidder, M.K.; Buchanan, A.C., III. Oxygen substituent effects in the pyrolysis of phenethyl phenyl ethers. Energy Fuels 2007, 21, 3102–3108. [Google Scholar] [CrossRef]
- Britt, P.F.; Buchanan, A.C.; Cooney, M.J.; Martineau, D.R. Flash vacuum pyrolysis of methoxy-substituted lignin model compounds. J. Org. Chem. 2000, 65, 1376–1389. [Google Scholar] [CrossRef] [PubMed]
- Elder, T. A computational study of pyrolysis reactions of lignin model compounds. Holzforschung 2010, 64, 435–440. [Google Scholar] [CrossRef]
- Jiang, W.; Wu, S.; Lucia, L.A.; Chu, J. A comparison of the pyrolysis behavior of selected β-O-4 type lignin model compounds. J. Anal. Appl. Pyrolysis 2017, 125, 185–192. [Google Scholar] [CrossRef]
- Beste, A.; Buchanan, A.C., III. Kinetic simulation of the thermal degradation of phenethyl phenyl ether, a model compound for the β-O-4 linkage in lignin. Chem. Phys. Lett. 2012, 550, 19–24. [Google Scholar] [CrossRef]
- Huang, X.; Liu, C.; Huang, J.; Li, H. Theory studies on pyrolysis mechanism of phenethyl phenyl ether. Comput. Theor. Chem. 2011, 976, 51–59. [Google Scholar] [CrossRef]
- Jarvis, M.W.; Daily, J.W.; Carstensen, H.H.; Dean, A.M.; Sharma, S.; Dayton, D.C.; Robichaud, D.J.; Nimlos, M.R. Direct detection of products from the pyrolysis of 2-phenethyl phenyl ether. J. Phys. Chem. A 2011, 115, 428–438. [Google Scholar] [CrossRef] [PubMed]
- Nakamura, T.; Kawamoto, H.; Saka, S. Condensation reactions of some lignin related compounds at relatively low pyrolysis temperature. J. Wood Chem. Technol. 2007, 27, 121–133. [Google Scholar] [CrossRef]
- Frisch, M.J.; Trucks, G.W.; Schlegel, H.B.; Scuseria, G.E.; Robb, M.A.; Cheeseman, J.R.; Scalmani, G.; Barone, V.; Mennucci, B.; Petersson, G.A.; et al. Gaussian 09; Revision D.01; Gaussian, Inc.: Wallingford, CT, USA, 2013. [Google Scholar]
- Huang, J.; He, C. Pyrolysis mechanism of α-O-4 linkage lignin dimer: A theoretical study. J. Anal. Appl. Pyrolysis 2015, 113, 655–664. [Google Scholar] [CrossRef]








© 2017 by the authors. Licensee MDPI, Basel, Switzerland. This article is an open access article distributed under the terms and conditions of the Creative Commons Attribution (CC BY) license (http://creativecommons.org/licenses/by/4.0/).
Share and Cite
Jiang, X.; Lu, Q.; Hu, B.; Liu, J.; Dong, C.; Yang, Y. A Comprehensive Study on Pyrolysis Mechanism of Substituted β-O-4 Type Lignin Dimers. Int. J. Mol. Sci. 2017, 18, 2364. https://doi.org/10.3390/ijms18112364
Jiang X, Lu Q, Hu B, Liu J, Dong C, Yang Y. A Comprehensive Study on Pyrolysis Mechanism of Substituted β-O-4 Type Lignin Dimers. International Journal of Molecular Sciences. 2017; 18(11):2364. https://doi.org/10.3390/ijms18112364
Chicago/Turabian StyleJiang, Xiaoyan, Qiang Lu, Bin Hu, Ji Liu, Changqing Dong, and Yongping Yang. 2017. "A Comprehensive Study on Pyrolysis Mechanism of Substituted β-O-4 Type Lignin Dimers" International Journal of Molecular Sciences 18, no. 11: 2364. https://doi.org/10.3390/ijms18112364
APA StyleJiang, X., Lu, Q., Hu, B., Liu, J., Dong, C., & Yang, Y. (2017). A Comprehensive Study on Pyrolysis Mechanism of Substituted β-O-4 Type Lignin Dimers. International Journal of Molecular Sciences, 18(11), 2364. https://doi.org/10.3390/ijms18112364
