Early Prediction of Therapy Response to Abiraterone Acetate Using PSA Subforms in Patients with Castration Resistant Prostate Cancer
Abstract
:1. Introduction
2. Results
2.1. Characteristics of the Study Group
2.2. Value of PSA Subforms as Prognostic Markers
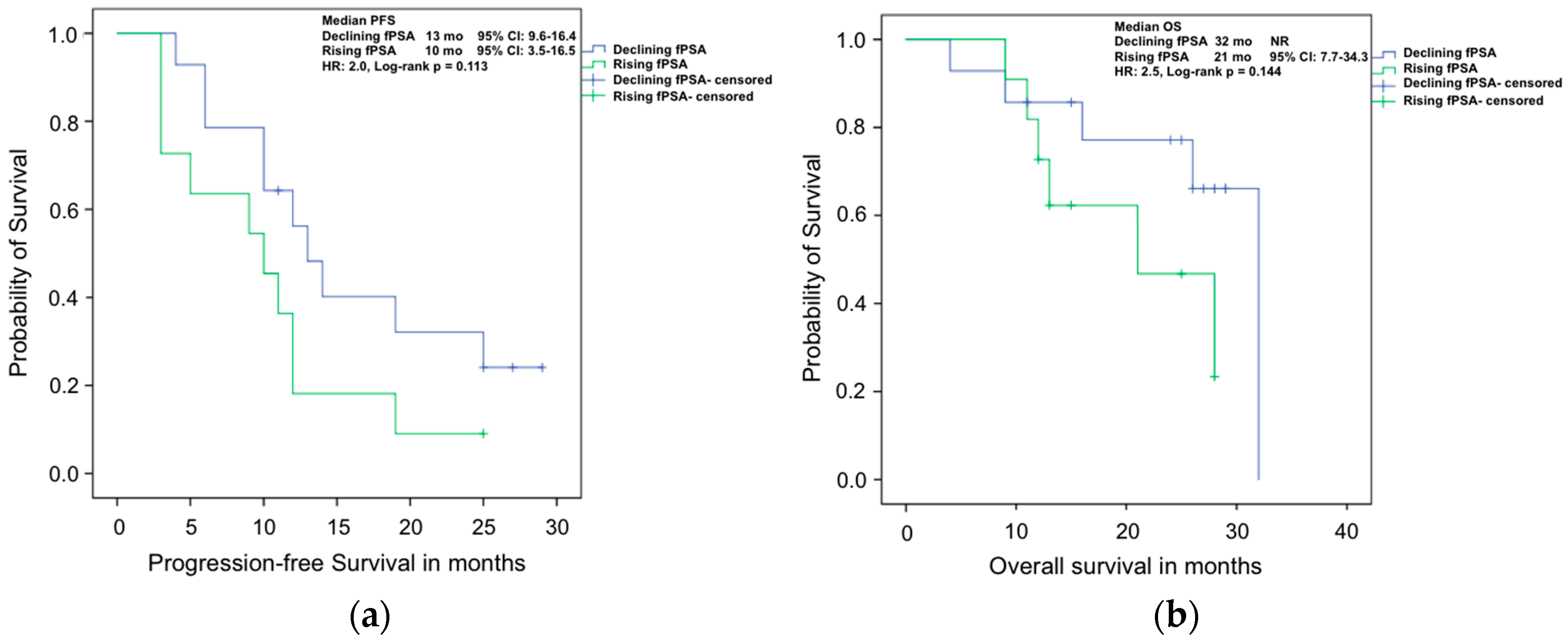
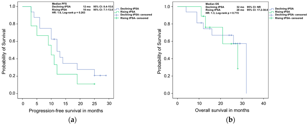
2.3. Kaplan–MEIER Survival Analysis
3. Discussion
4. Materials and Methods
4.1. Patients
4.2. Analysis of PSA Subforms
4.3. Statistical Methods
5. Conclusions
Supplementary Materials
Acknowledgments
Author Contributions
Conflicts of Interest
Abbreviations
| mCRPC | metastatic Castration Resistant Prostate Cancer |
| ADT | Androgen-Deprivation Therapy |
| PSA | Prostate Specific Antigen |
| tPSA | total PSA |
| ECOG | Eastern Cooperative Oncology Group performance status |
| PFS | Progression Free Survival |
| CTC | Circulating Tumor Cells |
| LDH | Lactate Dehydrogenase |
| OS | Overall Survival |
| fPSA | free PSA |
| PHI | Prostate Health Index |
| IQR | Interquartile Range |
| HR | Hazard Ratio |
| CI | Confidence Interval |
| NR | Not Reached |
| PD | Progressive Disease |
| PCWG2 | Prostate Cancer Working Group 2 |
| CR | Complete Remission |
| PR | Partial Remission |
| SD | Stable Disease |
References
- Ryan, C.J.; Smith, M.R.; Fizazi, K.; Saad, F.; Mulders, P.F.; Sternberg, C.N.; Miller, K.; Logothetis, C.J.; Shore, N.D.; Small, E.J.; et al. Abiraterone acetate plus prednisone versus placebo plus prednisone in chemotherapy-naive men with metastatic castration-resistant prostate cancer (COU-AA-302): Final overall survival analysis of a randomised, double-blind, placebo-controlled phase 3 study. Lancet Oncol. 2015, 16, 152–160. [Google Scholar] [CrossRef]
- Logothetis, C.J.; Basch, E.; Molina, A.; Fizazi, K.; North, S.A.; Chi, K.N.; Jones, R.J.; Goodman, O.B.; Mainwaring, P.N.; Sternberg, C.N.; et al. Effect of abiraterone acetate and prednisone compared with placebo and prednisone on pain control and skeletal-related events in patients with metastatic castration-resistant prostate cancer: Exploratory analysis of data from the COU-AA-301 randomised trial. Lancet Oncol. 2012, 13, 1210–1217. [Google Scholar] [PubMed]
- Kantoff, P.W.; Higano, C.S.; Shore, N.D.; Berger, E.R.; Small, E.J.; Penson, D.F.; Redfern, C.H.; Ferrari, A.C.; Dreicer, R.; Sims, R.B.; et al. Sipuleucel-t immunotherapy for castration-resistant prostate cancer. N. Engl. J. Med. 2010, 363, 411–422. [Google Scholar] [CrossRef] [PubMed]
- Loriot, Y.; Miller, K.; Sternberg, C.N.; Fizazi, K.; de Bono, J.S.; Chowdhury, S.; Higano, C.S.; Noonberg, S.; Holmstrom, S.; Mansbach, H.; et al. Effect of enzalutamide on health-related quality of life, pain, and skeletal-related events in asymptomatic and minimally symptomatic, chemotherapy-naive patients with metastatic castration-resistant prostate cancer (prevail): Results from a randomised, phase 3 trial. Lancet Oncol. 2015, 16, 509–521. [Google Scholar] [PubMed]
- Fizazi, K.; Scher, H.I.; Miller, K.; Basch, E.; Sternberg, C.N.; Cella, D.; Forer, D.; Hirmand, M.; de Bono, J.S. Effect of enzalutamide on time to first skeletal-related event, pain, and quality of life in men with castration-resistant prostate cancer: Results from the randomised, phase 3 affirm trial. Lancet Oncol. 2014, 15, 1147–1156. [Google Scholar] [CrossRef]
- Berthold, D.R.; Pond, G.R.; Soban, F.; de Wit, R.; Eisenberger, M.; Tannock, I.F. Docetaxel plus prednisone or mitoxantrone plus prednisone for advanced prostate cancer: Updated survival in the TAX 327 study. J. Clin. Oncol. 2008, 26, 242–245. [Google Scholar] [CrossRef] [PubMed]
- Petrylak, D.P.; Tangen, C.M.; Hussain, M.H.; Lara, P.N., Jr.; Jones, J.A.; Taplin, M.E.; Burch, P.A.; Berry, D.; Moinpour, C.; Kohli, M.; et al. Docetaxel and estramustine compared with mitoxantrone and prednisone for advanced refractory prostate cancer. N. Engl. J. Med. 2004, 351, 1513–1520. [Google Scholar] [CrossRef] [PubMed]
- Sartor, O.; Coleman, R.; Nilsson, S.; Heinrich, D.; Helle, S.I.; O’Sullivan, J.M.; Fossa, S.D.; Chodacki, A.; Wiechno, P.; Logue, J.; et al. Effect of radium-223 dichloride on symptomatic skeletal events in patients with castration-resistant prostate cancer and bone metastases: Results from a phase 3, double-blind, randomised trial. Lancet Oncol. 2014, 15, 738–746. [Google Scholar] [CrossRef]
- De Bono, J.S.; Logothetis, C.J.; Molina, A.; Fizazi, K.; North, S.; Chu, L.; Chi, K.N.; Jones, R.J.; Goodman, O.B., Jr.; Saad, F.; et al. Abiraterone and increased survival in metastatic prostate cancer. N. Engl. J. Med. 2011, 364, 1995–2005. [Google Scholar] [CrossRef] [PubMed]
- Burgio, S.L.; Conteduca, V.; Rudnas, B.; Carrozza, F.; Campadelli, E.; Bianchi, E.; Fabbri, P.; Montanari, M.; Carretta, E.; Menna, C.; et al. PSA flare with abiraterone in patients with metastatic castration-resistant prostate cancer. Clin. Genitourin. Cancer 2015, 13, 39–43. [Google Scholar] [CrossRef] [PubMed]
- Danila, D.C.; Morris, M.J.; de Bono, J.S.; Ryan, C.J.; Denmeade, S.R.; Smith, M.R.; Taplin, M.E.; Bubley, G.J.; Kheoh, T.; Haqq, C.; et al. Phase II multicenter study of abiraterone acetate plus prednisone therapy in patients with docetaxel-treated castration-resistant prostate cancer. J. Clin. Oncol. 2010, 28, 1496–1501. [Google Scholar] [CrossRef] [PubMed]
- Scher, H.I.; Heller, G.; Molina, A.; Attard, G.; Danila, D.C.; Jia, X.; Peng, W.; Sandhu, S.K.; Olmos, D.; Riisnaes, R.; et al. Circulating tumor cell biomarker panel as an individual-level surrogate for survival in metastatic castration-resistant prostate cancer. J. Clin. Oncol. 2015, 33, 1348–1355. [Google Scholar] [CrossRef] [PubMed]
- Danila, D.C.; Heller, G.; Gignac, G.A.; Gonzalez-Espinoza, R.; Anand, A.; Tanaka, E.; Lilja, H.; Schwartz, L.; Larson, S.; Fleisher, M.; et al. Circulating tumor cell number and prognosis in progressive castration-resistant prostate cancer. Clin. Cancer Res. 2007, 13, 7053–7058. [Google Scholar] [CrossRef] [PubMed]
- Danila, D.C.; Fleisher, M.; Scher, H.I. Circulating tumor cells as biomarkers in prostate cancer. Clin. Cancer Res. 2011, 17, 3903–3912. [Google Scholar] [CrossRef] [PubMed]
- Lilja, H.; Christensson, A.; Dahlen, U.; Matikainen, M.T.; Nilsson, O.; Pettersson, K.; Lovgren, T. Prostate-specific antigen in serum occurs predominantly in complex with α 1-antichymotrypsin. Clin. Chem. 1991, 37, 1618–1625. [Google Scholar] [PubMed]
- Lilja, H.; Stenman, U.H. Successful separation between benign prostatic hyperplasia and prostate cancer by measurement of free and complexed psa. Cancer Treat. Res. 1996, 88, 93–101. [Google Scholar] [PubMed]
- Stenman, U.H.; Leinonen, J.; Alfthan, H.; Rannikko, S.; Tuhkanen, K.; Alfthan, O. A complex between prostate-specific antigen and alpha 1-antichymotrypsin is the major form of prostate-specific antigen in serum of patients with prostatic cancer: Assay of the complex improves clinical sensitivity for cancer. Cancer Res. 1991, 51, 222–226. [Google Scholar] [PubMed]
- Mikolajczyk, S.D.; Rittenhouse, H.G. Pro psa: A more cancer specific form of prostate specific antigen for the early detection of prostate cancer. Keio J. Med. 2003, 52, 86–91. [Google Scholar] [CrossRef] [PubMed]
- Tosoian, J.; Loeb, S. Psa and beyond: The past, present, and future of investigative biomarkers for prostate cancer. Sci. World J. 2010, 10, 1919–1931. [Google Scholar] [CrossRef] [PubMed]
- Mikolajczyk, S.D.; Marks, L.S.; Partin, A.W.; Rittenhouse, H.G. Free prostate-specific antigen in serum is becoming more complex. Urology 2002, 59, 797–802. [Google Scholar] [CrossRef]
- Lazzeri, M.; Briganti, A.; Scattoni, V.; Lughezzani, G.; Larcher, A.; Gadda, G.M.; Lista, G.; Cestari, A.; Buffi, N.; Bini, V.; et al. Serum index test %[−2]proPSA and prostate health index are more accurate than prostate specific antigen and %fPSA in predicting a positive repeat prostate biopsy. J. Urol. 2012, 188, 1137–1143. [Google Scholar] [CrossRef] [PubMed]
- Catalona, W.J.; Partin, A.W.; Sanda, M.G.; Wei, J.T.; Klee, G.G.; Bangma, C.H.; Slawin, K.M.; Marks, L.S.; Loeb, S.; Broyles, D.L.; et al. A multicenter study of [−2]pro-prostate specific antigen combined with prostate specific antigen and free prostate specific antigen for prostate cancer detection in the 2.0 to 10.0 ng/mL prostate specific antigen range. J. Urol. 2011, 185, 1650–1655. [Google Scholar] [CrossRef] [PubMed]
- Lazzeri, M.; Haese, A.; Abrate, A.; de la Taille, A.; Redorta, J.P.; McNicholas, T.; Lughezzani, G.; Lista, G.; Larcher, A.; Bini, V.; et al. Clinical performance of serum prostate-specific antigen isoform [−2]proPSA (p2PSA) and its derivatives, %p2PSA and the prostate health index (PHI), in men with a family history of prostate cancer: Results from a multicentre european study, the prometheus project. BJU Int. 2013, 112, 313–321. [Google Scholar] [PubMed]
- Stephan, C.; Jung, K.; Semjonow, A.; Schulze-Forster, K.; Cammann, H.; Hu, X.; Meyer, H.A.; Bogemann, M.; Miller, K.; Friedersdorff, F. Comparative assessment of urinary prostate cancer antigen 3 and TMPRSS2: Erg gene fusion with the serum [−2]proprostate-specific antigen-based prostate health index for detection of prostate cancer. Clin. Chem. 2013, 59, 280–288. [Google Scholar] [CrossRef] [PubMed]
- Fossati, N.; Buffi, N.M.; Haese, A.; Stephan, C.; Larcher, A.; McNicholas, T.; de la Taille, A.; Freschi, M.; Lughezzani, G.; Abrate, A.; et al. Preoperative prostate-specific antigen isoform p2PSA and its derivatives, %p2PSA and prostate health index, predict pathologic outcomes in patients undergoing radical prostatectomy for prostate cancer: Results from a multicentric european prospective study. Eur. Urol. 2015, 68, 132–138. [Google Scholar] [CrossRef] [PubMed]
- Fossati, N.; Lazzeri, M.; Haese, A.; McNicholas, T.; de la Taille, A.; Buffi, N.M.; Lughezzani, G.; Gadda, G.M.; Lista, G.; Larcher, A.; et al. Clinical performance of serum isoform [−2]proPSA (p2PSA), and its derivatives %p2PSA and the prostate health index, in men aged <60 years: Results from a multicentric european study. BJU Int. 2015, 115, 913–920. [Google Scholar] [PubMed]
- Woo, H.H.; Begbie, S.; Gogna, K.; Mainwaring, P.N.; Murphy, D.G.; Parnis, F.; Steer, C.; Davis, I.D. Multidisciplinary consensus: A practical guide for the integration of abiraterone into clinical practice. Asia Pac. J. Clin. Oncol. 2014, 10, 228–236. [Google Scholar] [CrossRef] [PubMed]
- Roghmann, F.; Antczak, C.; McKay, R.R.; Choueiri, T.; Hu, J.C.; Kibel, A.S.; Kim, S.P.; Kowalczyk, K.J.; Menon, M.; Nguyen, P.L.; et al. The burden of skeletal-related events in patients with prostate cancer and bone metastasis. Urol. Oncol. 2015, 33, e9–e18. [Google Scholar] [CrossRef] [PubMed]
- Ryan, C.J.; Shah, S.; Efstathiou, E.; Smith, M.R.; Taplin, M.E.; Bubley, G.J.; Logothetis, C.J.; Kheoh, T.; Kilian, C.; Haqq, C.M.; et al. Phase II study of abiraterone acetate in chemotherapy-naive metastatic castration-resistant prostate cancer displaying bone flare discordant with serologic response. Clin. Cancer Res. 2011, 17, 4854–4861. [Google Scholar] [CrossRef] [PubMed]
- Johns, W.D.; Garnick, M.B.; Kaplan, W.D. Leuprolide therapy for prostate cancer: An association with scintigraphic “flare” on bone scan. Clin. Nucl. Med. 1990, 15, 485–487. [Google Scholar] [CrossRef] [PubMed]
- Scher, H.I.; Halabi, S.; Tannock, I.; Morris, M.; Sternberg, C.N.; Carducci, M.A.; Eisenberger, M.A.; Higano, C.; Bubley, G.J.; Dreicer, R.; et al. Design and end points of clinical trials for patients with progressive prostate cancer and castrate levels of testosterone: Recommendations of the prostate cancer clinical trials working group. J. Clin. Oncol. 2008, 26, 1148–1159. [Google Scholar] [CrossRef] [PubMed]
- Berthold, D.R.; Pond, G.R.; Roessner, M.; de Wit, R.; Eisenberger, M.; Tannock, A.I. TAX-327 investigators Treatment of hormone-refractory prostate cancer with docetaxel or mitoxantrone: Relationships between prostate-specific antigen, pain, and quality of life response and survival in the TAX-327 study. Clin. Cancer Res. 2008, 14, 2763–2767. [Google Scholar] [CrossRef] [PubMed]
- Leibowitz-Amit, R.; Templeton, A.J.; Omlin, A.; Pezaro, C.; Atenafu, E.G.; Keizman, D.; Vera-Badillo, F.; Seah, J.A.; Attard, G.; Knox, J.J.; et al. Clinical variables associated with psa response to abiraterone acetate in patients with metastatic castration-resistant prostate cancer. Ann. Oncol. 2014, 25, 657–662. [Google Scholar] [CrossRef] [PubMed]
- Armstrong, A.J.; Eisenberger, M.A.; Halabi, S.; Oudard, S.; Nanus, D.M.; Petrylak, D.P.; Sartor, A.O.; Scher, H.I. Biomarkers in the management and treatment of men with metastatic castration-resistant prostate cancer. Eur. Urol. 2012, 61, 549–559. [Google Scholar] [CrossRef] [PubMed]
- Scher, H.I.; Jia, X.; de Bono, J.S.; Fleisher, M.; Pienta, K.J.; Raghavan, D.; Heller, G. Circulating tumour cells as prognostic markers in progressive, castration-resistant prostate cancer: A reanalysis of IMMC38 trial data. Lancet Oncol. 2009, 10, 233–239. [Google Scholar] [CrossRef]
- De Angelis, G.; Rittenhouse, H.G.; Mikolajczyk, S.D.; Blair Shamel, L.; Semjonow, A. Twenty years of PSA: From prostate antigen to tumor marker. Rev. Urol. 2007, 9, 113–123. [Google Scholar] [PubMed]
- Catalona, W.J.; Partin, A.W.; Slawin, K.M.; Brawer, M.K.; Flanigan, R.C.; Patel, A.; Richie, J.P.; deKernion, J.B.; Walsh, P.C.; Scardino, P.T.; et al. Use of the percentage of free prostate-specific antigen to enhance differentiation of prostate cancer from benign prostatic disease: A prospective multicenter clinical trial. JAMA 1998, 279, 1542–1547. [Google Scholar] [CrossRef] [PubMed]
- Abrate, A.; Lughezzani, G.; Gadda, G.M.; Lista, G.; Kinzikeeva, E.; Fossati, N.; Larcher, A.; Dell’Oglio, P.; Mistretta, F.; Buffi, N.; et al. Clinical use of [−2]proPSA (p2PSA) and its derivatives (%p2PSA and prostate health index) for the detection of prostate cancer: A review of the literature. Korean J. Urol. 2014, 55, 436–445. [Google Scholar] [CrossRef] [PubMed]
- Eisenhauer, E.A.; Therasse, P.; Bogaerts, J.; Schwartz, L.H.; Sargent, D.; Ford, R.; Dancey, J.; Arbuck, S.; Gwyther, S.; Mooney, M.; et al. New response evaluation criteria in solid tumours: Revised recist guideline (version 1.1). Eur. J. Cancer 2009, 45, 228–247. [Google Scholar] [CrossRef] [PubMed]
- Semjonow, A.; Kopke, T.; Eltze, E.; Pepping-Schefers, B.; Burgel, H.; Darte, C. Pre-analytical in vitro stability of [−2]proPSA in blood and serum. Clin. Biochem. 2010, 43, 926–928. [Google Scholar] [CrossRef] [PubMed]




| Variable | Number |
|---|---|
| Patients (n) (%) | 25 (100) |
| Age, median (years) (IQR) | 71.0 (62.5–74.0) |
| Median follow-up (months) (IQR) | 25.0 (14.5–28.0) |
| Median duration of therapy (months) (IQR) | 13.0 (10.5–19.0) |
| Presence of lymphnode metastases (n) (%) | 16 (64.0) |
| Presence of bone metastases (n) (%) | 19 (76.0) |
| Presence of visceral metastases (n) (%) | 2 (8.0) |
| Pre chemotherapy (n) (%) | 20 (80.0) |
| Post chemotherapy (n) (%) | 5 (20.0) |
| Antiresorptive therapy (n) (%) | 12 (48.0) |
| Zoledronic acid (n) (%) | 7 (28.0) |
| Denosumab (n) (%) | 5 (20.0) |
| ECOG (all) (n) (%) | |
| 0–1 | 22 (88.0) |
| >1 | 3 (12.0) |
| Gleason Score ≥ 8 (n) (%) | 15 (60.0) |
| Median tPSA baseline (ng/mL) (IQR) | 61.7 (29.0–299.5) |
| Median fPSA baseline (ng/mL) (IQR) | 11.2 (5.2–29.1) |
| Median [−2]proPSA baseline (pg/mL) (IQR) | 485.3 (272.8–1107.9) |
| Median PHI baseline (IQR) | 327.3 (212.5–612.0) |
| Best clinical outcome (n) (%) | |
| Complete remission | 1 (4.0) |
| Partial remission | 10 (40.0) |
| Stable disease | 10 (40.0) |
| Progressive disease | 4 (16.0) |
| tPSA decrease ≥ 50% (n) (%) | 12 (48.0) |
| tPSA decrease ≥ 90% (n) (%) | 7 (28.0) |
| Patients died (n) (%) | 11 (44.0) |
| Variable | OS ≤ 15 Months | OS > 15 Months | p |
| tPSA | −1.1 (−54.5–66.3) | −55.1 (−74.6–13.2) | 0.20 |
| [−2]proPSA | 10.5 (−50.7–62.0) | −29.1 (−66.9–19.9) | 0.15 |
| PHI | 2.6 (−42.9–39.0) | −25.9 (−41.4–19.0) | 0.32 |
| %[−2]proPSA | 449.0 (260.6–588.4) | 242.1 (149.5–577.7) | 0.27 |
| fPSA | 17.0 (−41.8–50.3) | −46.3 (−72.0–8.1) | 0.06 |
| %fPSA | −0.9 (−19.6–28.1) | 7.0 (−27.6–41.3) | 0.61 |
| PFS < 12 Months | PFS ≥ 12 Months | ||
| tPSA | −0.1 (−0.1–71.3) | −86.8 (−60.9–9.4) | 0.02 |
| [−2]proPSA | 8.1 (−21.2–60.1) | −59.3 (−74.0–18.5) | 0.05 |
| PHI | 1.7 (−24.4–63.6) | −32.1 (−47.8–4.1) | 0.12 |
| %[−2]proPSA | 416.0 (159.8–754.2) | 335.5 (163.2–550.7) | 0.73 |
| fPSA | 12.1 (−22.7–43.8) | −55.3 (−83.3–13.6) | 0.03 |
| %fPSA | −5.2 (−28.3–16.7) | 9.1 (−17.3–42.0) | 0.15 |
| Univariate Analysis for OS | Univariate Analysis for PFS | ||||
|---|---|---|---|---|---|
| Variable | HR (95% CI) | p | Variable | HR (95% CI) | p |
| tPSA increase | 1.3 (0.4–4.5) | 0.72 | tPSA increase | 1.6 (0.6–4.0) | 0.29 |
| yes vs. no | yes vs. no | ||||
| fPSA increase | 2.5 (0.7–9.1) | 0.16 | fPSA increase | 2.0 (0.8–4.8) | 0.14 |
| yes vs. no | yes vs. no | ||||
| [−2]proPSA increase | 2.5 (0.7–9.1) | 0.16 | [−2]proPSA increase | 2.0 (0.8–4.8) | 0.14 |
| yes vs. no | yes vs. no | ||||
| PHI increase | 1.5 (0.4–5.4) | 0.49 | PHI increase | 2.0 (0.9–5.0) | 0.11 |
| yes vs. no | yes vs. no | ||||
| %[−2]proPSA increase | 23.1 (0–∞) | 0.57 | %[−2]proPSA increase | 1.8 (0.2–13.5) | 0.57 |
| yes vs. no | yes vs. no | ||||
| %fPSA increase | 0.4 (0.1–1.7) | 0.23 | %fPSA increase | 1.2 (0.5–2.8) | 0.73 |
| no vs. yes | no vs. yes | ||||
© 2016 by the authors; licensee MDPI, Basel, Switzerland. This article is an open access article distributed under the terms and conditions of the Creative Commons Attribution (CC-BY) license (http://creativecommons.org/licenses/by/4.0/).
Share and Cite
Schlack, K.; Krabbe, L.-M.; Fobker, M.; Schrader, A.J.; Semjonow, A.; Boegemann, M. Early Prediction of Therapy Response to Abiraterone Acetate Using PSA Subforms in Patients with Castration Resistant Prostate Cancer. Int. J. Mol. Sci. 2016, 17, 1520. https://doi.org/10.3390/ijms17091520
Schlack K, Krabbe L-M, Fobker M, Schrader AJ, Semjonow A, Boegemann M. Early Prediction of Therapy Response to Abiraterone Acetate Using PSA Subforms in Patients with Castration Resistant Prostate Cancer. International Journal of Molecular Sciences. 2016; 17(9):1520. https://doi.org/10.3390/ijms17091520
Chicago/Turabian StyleSchlack, Katrin, Laura-Maria Krabbe, Manfred Fobker, Andres Jan Schrader, Axel Semjonow, and Martin Boegemann. 2016. "Early Prediction of Therapy Response to Abiraterone Acetate Using PSA Subforms in Patients with Castration Resistant Prostate Cancer" International Journal of Molecular Sciences 17, no. 9: 1520. https://doi.org/10.3390/ijms17091520
APA StyleSchlack, K., Krabbe, L.-M., Fobker, M., Schrader, A. J., Semjonow, A., & Boegemann, M. (2016). Early Prediction of Therapy Response to Abiraterone Acetate Using PSA Subforms in Patients with Castration Resistant Prostate Cancer. International Journal of Molecular Sciences, 17(9), 1520. https://doi.org/10.3390/ijms17091520

