Prediction of Hepatocellular Carcinoma Development after Hepatitis C Virus Eradication Using Serum Wisteria floribunda Agglutinin-Positive Mac-2-Binding Protein
Abstract
:1. Introduction
2. Results
2.1. Patients’ Characteristics and Hepatocellular Carcinoma (HCC) Development after Sustained Virologic Response (SVR)
2.2. Serum WFA+-M2BP Levels in the Study Cohort
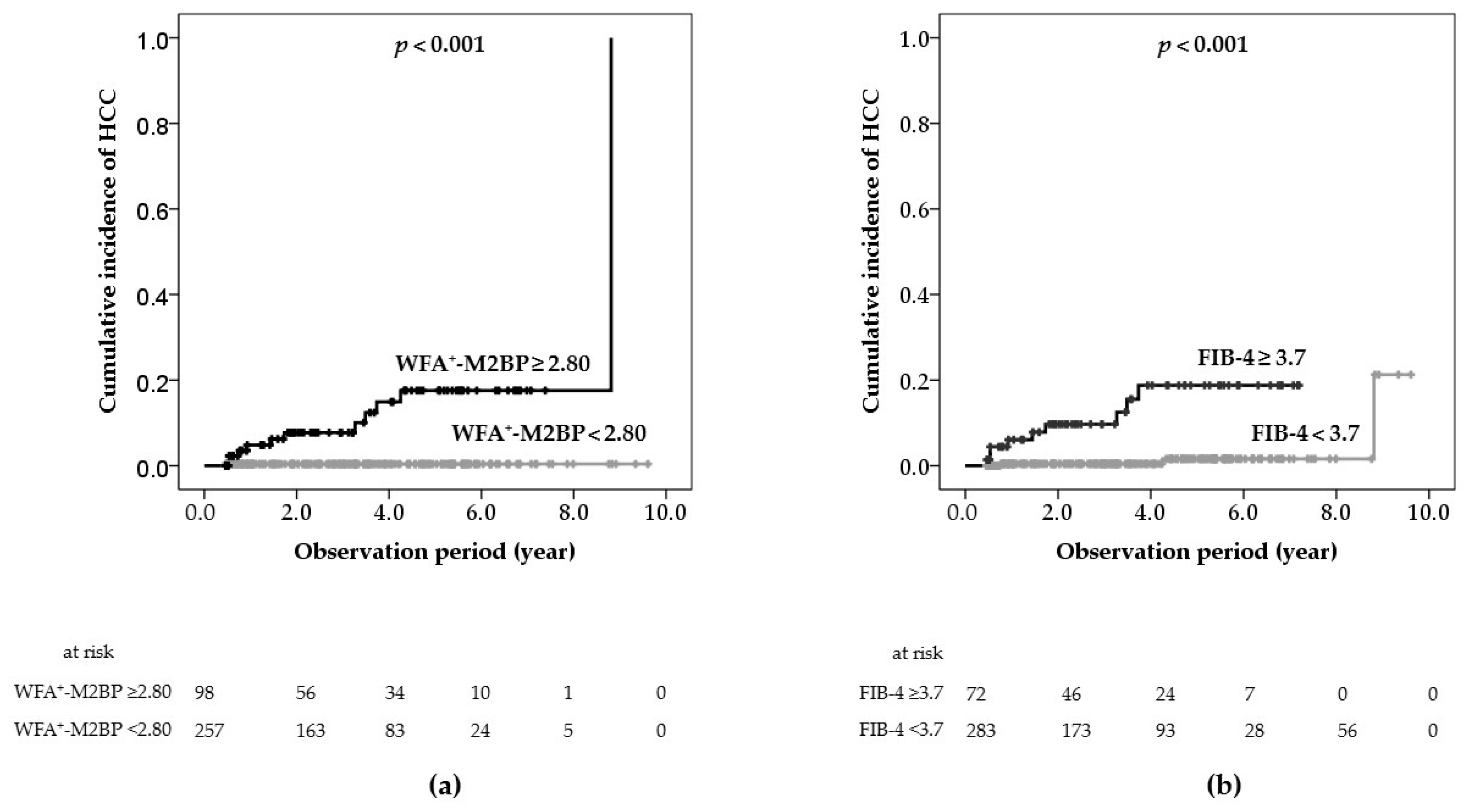
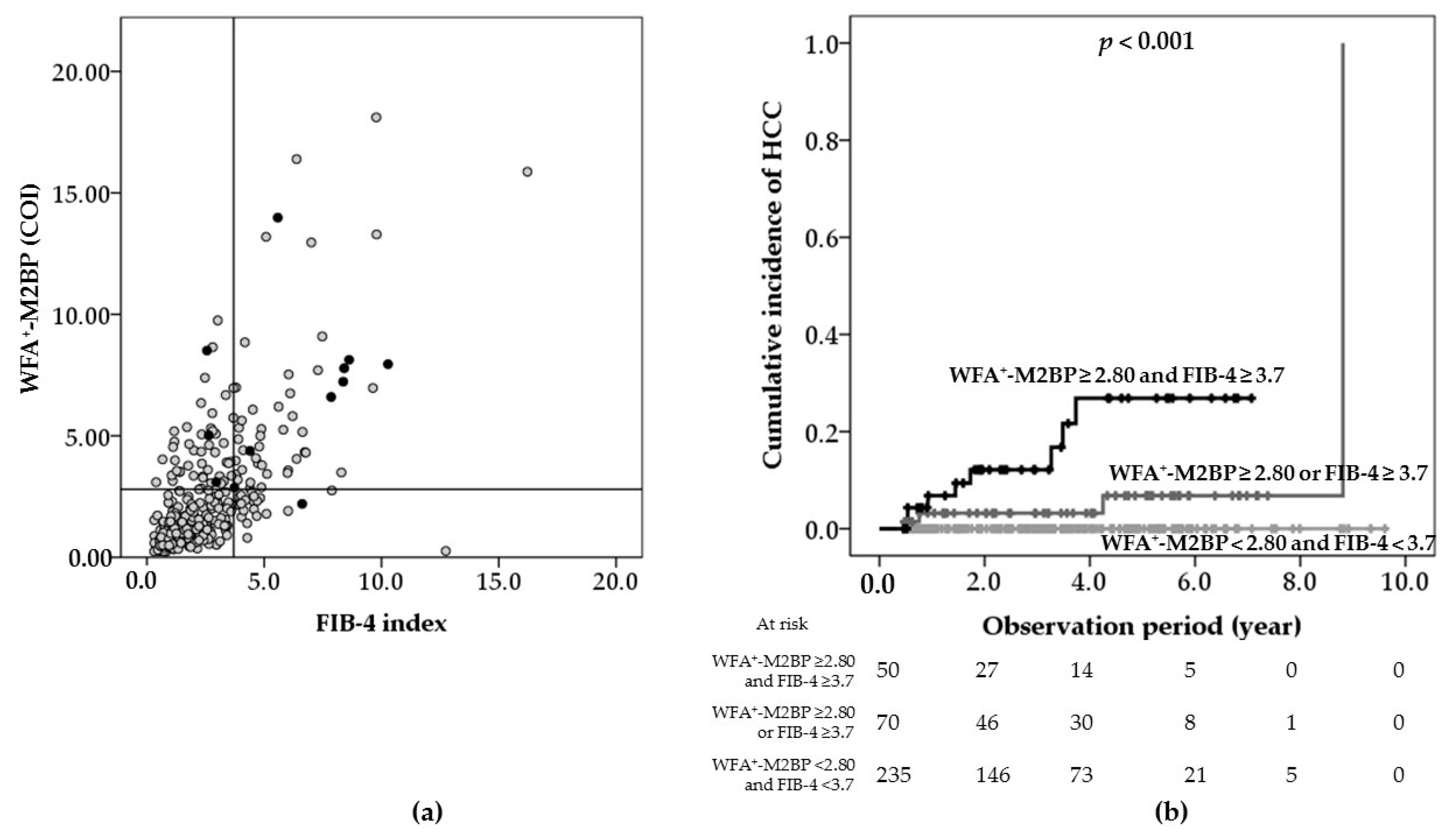
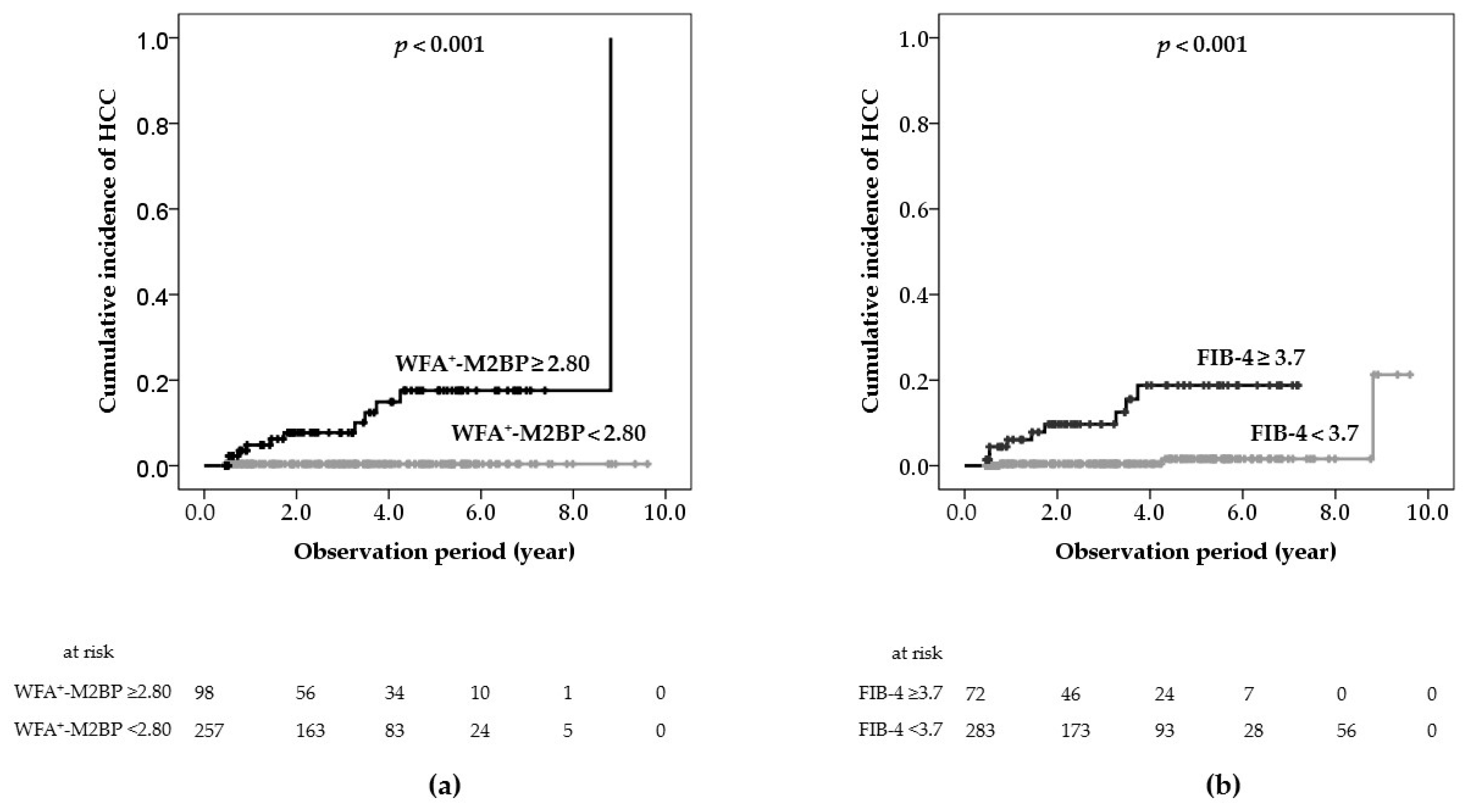
2.3. Risk Analysis
2.4. Hepatic Fibrosis Stage and Serum WFA+-M2BP and FIB-4 Index
3. Discussion
4. Materials and Methods
4.1. Patients
4.2. Laboratory Investigations and Liver Histology
4.3. Patient Follow-Up
4.4 Statistical Analyses
5. Conclusions
Acknowledgments
Author Contributions
Conflicts of Interest
Abbreviations
| AFP | α-Fetoprotein |
| ALT | Alanine aminotransferase |
| APRI | Aspartate aminotransferase-to-platelet ratio index |
| BMI | Body mass index |
| CHC | Chronic hepatitis C |
| CI | Confidence interval |
| COI | Cut off index |
| DAA | Direct-acting antiviral drug |
| EOT | End of treatment |
| FIB-4 | Fibrosis-4 |
| GGT | γ-Glutamyl transpeptidase |
| HCC | Hepatocellular carcinoma |
| HCV | Hepatitis C virus |
| HR | Hazard ratio |
| PI | Protease inhibitor |
| SVR | Sustained virologic response |
| WFA+-M2BP | Wisteria floribunda agglutinin-positive Mac-2-binding protein |
References
- EI-Serag, H.B.; Rudolph, K.L. Hepatocellular carcinoma: Epidemiology and molecular carcinogenesis. Gastroenterology 2007, 132, 2557–2576. [Google Scholar] [CrossRef] [PubMed]
- Fattovich, G.; Stroffolini, T.; Zagni, I.; Donato, F. Hepatocellular carcinoma in cirrhosis: Incidence and risk factors. Gastroenterology 2004, 127, S35–S50. [Google Scholar] [CrossRef] [PubMed]
- Kiyosawa, K.; Umemura, T.; Ichijo, T.; Matsumoto, A.; Yoshizawa, K.; Gad, A.; Tanaka, E. Hepatocellular carcinoma: Recent trends in Japan. Gastroenterology 2004, 127, S17–S26. [Google Scholar] [CrossRef] [PubMed]
- Sun, C.A.; Wu, D.M.; Lin, C.C.; Lu, S.N.; You, S.L.; Wang, L.Y.; Wu, M.H.; Chen, C.J. Incidence and cofactors of hepatitis C virus-related hepatocellular carcinoma: A prospective study of 12,008 men in Taiwan. Am. J. Epidemiol. 2003, 157, 674–682. [Google Scholar] [CrossRef] [PubMed]
- Cammà, C.; Giunta, M.; Andreone, P.; Craxi, A. Interferon and prevention of hepatocellular carcinoma in viral cirrhosis: An evidence-based approach. J. Hepatol. 2001, 34, 593–602. [Google Scholar] [CrossRef]
- Papatheodoridis, G.V.; Papadimitropoulos, V.C.; Hadziyannis, S.J. Effect of interferon therapy on the development of hepatocellular carcinoma in patients with hepatitis C virus-related cirrhosis: A meta-analysis. Aliment. Pharmacol. Ther. 2001, 15, 689–698. [Google Scholar] [CrossRef] [PubMed]
- Shiratori, Y.; Ito, Y.; Yokosuka, O.; Imazeki, F.; Nakata, R.; Tanaka, N.; Arakawa, Y.; Hashimoto, E.; Hirota, K.; Yoshida, H.; et al. Antiviral therapy for cirrhotic hepatitis C: Association with reduced hepatocellular carcinoma development and improved survival. Ann. Intern. Med. 2005, 142, 105–114. [Google Scholar] [CrossRef] [PubMed]
- Hayashi, N.; Okanoue, T.; Tsubouchi, H.; Toyota, J.; Chayama, K.; Kumada, H. Efficacy and safety of telaprevir, a new protease inhibitor, for difficult-to-treat patients with genotype 1 chronic hepatitis C. J. Viral Hepat. 2012, 19, e134–e142. [Google Scholar] [CrossRef] [PubMed]
- Hayashi, N.; Izumi, N.; Kumada, H.; Okanoue, T.; Tsubouchi, H.; Yatsuhashi, H.; Kato, M.; Ki, R.; Komada, Y.; Seto, C.; et al. Simeprevir with peginterferon/ribavirin for treatment-naïve hepatitis C genotype 1 patients in Japan: CONCERTO-1, a phase III trial. J. Hepatol. 2014, 61, 219–227. [Google Scholar] [CrossRef] [PubMed]
- Omata, M.; Nishiguchi, S.; Ueno, Y.; Mochizuki, H.; Izumi, N.; Ikeda, F.; Toyoda, H.; Yokosuka, O.; Nirei, K.; Genda, T.; et al. Sofosbuvir plus ribavirin in Japanese patients with chronic genotype 2 HCV infection: An open-label, phase 3 trial. J. Viral Hepat. 2014, 21, 762–768. [Google Scholar] [CrossRef] [PubMed]
- Mizokami, M.; Yokosuka, O.; Takehara, T.; Sakamoto, N.; Korenaga, M.; Mochizuki, H.; Nakane, K.; Enomoto, H.; Ikeda, F.; Yanase, M.; et al. Ledipasvir and sofosbuvir fixed-dose combination with and without ribavirin for 12 weeks in treatment-naive and previously treated Japanese patients with genotype 1 hepatitis C: An open-label, randomised, phase 3 trial. Lancet Infect. Dis. 2015, 15, 645–653. [Google Scholar] [CrossRef]
- Morgan, T.R.; Ghany, M.G.; Kim, H.Y.; Snow, K.K.; Shiffman, M.L.; de Santo, J.L.; Lee, W.M.; di Bisceglie, A.M.; Bonkovsky, H.L.; Dienstag, J.L.; et al. Outcome of sustained virological responders with histologically advanced chronic hepatitis C. Hepatology 2010, 52, 833–844. [Google Scholar] [CrossRef] [PubMed]
- Makiyama, A.; Itoh, Y.; Kasahara, A.; Imai, Y.; Kawata, S.; Yoshioka, K.; Tsubouchi, H.; Kiyosawa, K.; Kakumu, S.; Okita, K.; et al. Characteristics of patients with chronic hepatitis C who develop hepatocellular carcinoma after a sustained response to interferon therapy. Cancer 2004, 101, 1616–1622. [Google Scholar] [CrossRef] [PubMed]
- Ikeda, M.; Fujiyama, S.; Tanaka, M.; Sata, M.; Ide, T.; Yatsuhashi, H.; Watanabe, H. Risk factors for development of hepatocellular carcinoma in patients with chronic hepatitis C after sustained response to interferon. J. Gastroenterol. 2005, 40, 148–156. [Google Scholar] [CrossRef] [PubMed]
- Yoshida, H.; Shiratori, Y.; Moriyama, M.; Arakawa, Y.; Ide, T.; Sata, M.; Inoue, O.; Yano, M.; Tanaka, M.; Fujiyama, S.; et al. Interferon therapy reduces the risk for hepatocellular carcinoma: National surveillance program of cirrhotic and noncirrhotic patients with chronic hepatitis C in Japan. IHIT study group. Inhibition of hepatocarcinogenesis by interferon therapy. Ann. Intern. Med. 1999, 131, 174–181. [Google Scholar] [CrossRef] [PubMed]
- Bravo, A.A.; Sheth, S.G.; Chopra, S. Liver biopsy. N. Engl. J. Med. 2001, 344, 495–500. [Google Scholar] [CrossRef] [PubMed]
- Bedossa, P.; Dargère, D.; Paradis, V. Sampling variability of liver fibrosis in chronic hepatitis C. Hepatology 2003, 38, 1449–1457. [Google Scholar] [CrossRef] [PubMed]
- Rousselet, M.C.; Michalak, S.; Dupré, F.; Croué, A.; Bedossa, P.; Saint-André, J.P.; Calès, P. Hepatitis Network 49. Sources of variability in histological scoring of chronic viral hepatitis. Hepatology 2005, 41, 257–264. [Google Scholar] [CrossRef] [PubMed]
- Wai, C.T.; Greenson, J.K.; Fontana, R.J.; Kalbfleisch, J.D.; Marrero, J.A.; Conjeevaram, H.S.; Lok, A.S. A simple noninvasive index can predict both significant fibrosis and cirrhosis in patients with chronic hepatitis C. Hepatology 2003, 38, 518–526. [Google Scholar] [CrossRef] [PubMed]
- Vallet-Pichard, A.; Mallet, V.; Nalpas, B.; Verkarre, V.; Nalpas, A.; Dhalluin-Venier, V.; Fontaine, H.; Pol, S. FIB-4: An inexpensive and accurate marker of fibrosis in HCV infection. Comparison with liver biopsy and fibrotest. Hepatology 2007, 46, 32–36. [Google Scholar] [CrossRef] [PubMed]
- Kuno, A.; Ikehara, Y.; Tanaka, Y.; Ito, K.; Matsuda, A.; Sekiya, S.; Hige, S.; Sakamoto, M.; Kage, M.; Mizokami, M.; et al. A serum “sweet-doughnut” protein facilitates fibrosis evaluation and therapy assessment in patients with viral hepatitis. Sci. Rep. 2013, 3, 1065. [Google Scholar] [CrossRef] [PubMed]
- Toshima, T.; Shirabe, K.; Ikegami, T.; Yoshizumi, T.; Kuno, A.; Togayachi, A.; Gotoh, M.; Narimatsu, H.; Korenaga, M.; Mizokami, M.; et al. A novel serum marker, glycosylated Wisteria floribunda agglutinin-positive Mac-2 binding protein (WFA+-M2BP), for assessing liver fibrosis. J. Gastroenterol. 2015, 50, 76–84. [Google Scholar] [CrossRef] [PubMed]
- Ichikawa, Y.; Joshita, S.; Umemura, T.; Shobugawa, Y.; Usami, Y.; Shibata, S.; Yamazaki, T.; Fujimori, N.; Komatsu, M.; Matsumoto, A.; et al. Serum Wisteria floribunda agglutinin-positive human Mac-2 binding protein may predict liver fibrosis and progression to hepatocellular carcinoma in patients with chronic hepatitis B virus infection. Hepatol. Res. 2016. [Google Scholar] [CrossRef] [PubMed]
- Pohl, A.; Behling, C.; Oliver, D.; Kilani, M.; Monson, P.; Hassanein, T. Serum aminotransferase levels and platelet counts as predictors of degree of fibrosis in chronic hepatitis C virus infection. Am. J. Gastroenterol. 2001, 96, 3142–3146. [Google Scholar] [CrossRef] [PubMed]
- Ballmer, P.E.; Reichen, J.; McNurlan, M.A.; Sterchi, A.B.; Anderson, S.E.; Garlick, P.J. Albumin but not fibrinogen synthesis correlates with galactose elimination capacity in patients with cirrhosis of the liver. Hepatology 1996, 24, 53–59. [Google Scholar] [CrossRef] [PubMed]
- Sterling, R.K.; Stravitz, R.T.; Luketic, V.A.; Sanyal, A.; Contos, M.J.; Mills, A.S.; Shiffman, M.L. A comparison of the spectrum of chronic hepatitis C virus between Caucasians and African Americans. Clin. Gastroenterol. Hepatol. 2004, 2, 469–473. [Google Scholar] [CrossRef]
- Hu, K.Q.; Kyulo, N.L.; Lim, N.; Elhazin, B.; Hillebrand, D.J.; Bock, T. Clinical significance of elevated α-fetoprotein (AFP) in patients with chronic hepatitis C, but not hepatocellular carcinoma. Am. J. Gastroenterol. 2004, 99, 860–865. [Google Scholar] [CrossRef] [PubMed]
- Lee, D.H.; Blomhoff, R.; Jacobs, D.R., Jr. Is serum γ glutamyltransferase a marker of oxidative stress? Free Radic. Res. 2004, 38, 535–539. [Google Scholar] [CrossRef] [PubMed]
- Sasaki, R.; Yamasaki, K.; Abiru, S.; Komori, A.; Nagaoka, S.; Saeki, A.; Hashimoto, S.; Bekki, S.; Kugiyama, Y.; Kuno, A.; et al. Serum Wisteria floribunda agglutinin-positive Mac-2 binding protein values predict the development of hepatocellular carcinoma among patients with chronic hepatitis C after sustained virological response. PLoS ONE 2015, 10, e0129053. [Google Scholar] [CrossRef] [PubMed]
- Bruix, J.; Sherman, M. Management of hepatocellular carcinoma. Hepatology 2005, 42, 1208–1236. [Google Scholar] [CrossRef] [PubMed]
- Tamaki, N.; Kurosaki, M.; Matsuda, S.; Muraoka, M.; Yasui, Y.; Suzuki, S.; Hosokawa, T.; Ueda, K.; Tsuchiya, K.; Nakanishi, H.; et al. Non-invasive prediction of hepatocellular carcinoma development using serum fibrosis marker in chronic hepatitis C patients. J. Gastroenterol. 2014, 49, 1495–1503. [Google Scholar] [CrossRef] [PubMed]
- Yamasaki, K.; Tateyama, M.; Abiru, S.; Komori, A.; Nagaoka, S.; Saeki, A.; Hashimoto, S.; Sasaki, R.; Bekki, S.; Kugiyama, Y.; et al. Elevated serum levels of Wisteria floribunda agglutinin-positive human Mac-2 binding protein predict the development of hepatocellular carcinoma in hepatitis C patients. Hepatology 2014, 60, 1563–1570. [Google Scholar] [CrossRef] [PubMed]
- Tamaki, N.; Kurosaki, M.; Kuno, A.; Korenaga, M.; Togayachi, A.; Gotoh, M.; Nakakuki, N.; Takada, H.; Matsuda, S.; Hattori, N.; et al. Wisteria floribunda agglutinin positive human Mac-2-binding protein as a predictor of hepatocellular carcinoma development in chronic hepatitis C patients. Hepatol. Res. 2015, 45, E82–E88. [Google Scholar] [CrossRef] [PubMed]
- Asahina, Y.; Tsuchiya, K.; Nishimura, T.; Muraoka, M.; Suzuki, Y.; Tamaki, N.; Yasui, Y.; Hosokawa, T.; Ueda, K.; Nakanishi, H.; et al. α-fetoprotein levels after interferon therapy and risk of hepatocarcinogenesis in chronic hepatitis C. Hepatology 2013, 58, 1253–1262. [Google Scholar] [CrossRef] [PubMed]
- Bedossa, P.; Poynard, T. An algorithm for the grading of activity in chronic hepatitis C. Hepatology 1996, 24, 289–293. [Google Scholar] [CrossRef] [PubMed]





| Characteristics | All Patients (n = 355) | With HCC (n = 12) | Without HCC (n = 343) | p-Value |
|---|---|---|---|---|
| Age, years | 56 (20–85) | 68 (45–73) | 56 (20–85) | 0.005 ‡ |
| Males, n (%) | 216 (60.8) | 9 (75.0) | 207 (60.3) | 0.379 § |
| BMI (kg/m2) | 23.3 (15.3–39.5) | 23.8 (20.2–26.5) | 23.3 (15.3–39.5) | 0.963 ‡ |
| Habitual drinker, n (%) | 107 (30.1) | 3 (25.0) | 104 (29.4) | 1.000 § |
| PI use, n (%) | 56 (15.7) | 2 (16.7) | 54 (15.7) | 1.000 ‡ |
| HCV-RNA (logIU/mL) † | 6.2 (1.2–7.8) | 5.4 (1.2–7.0) | 6.2 (1.2–7.8) | 0.163 ‡ |
| HCV genotype 1, n (%) | 159 (44.8) | 7 (58.3) | 152 (44.3) | 0.625 § |
| Stage of fibrosis (F0–2/F3–4) † | 288/45 | 5/6 | 283/39 | 0.001 § |
| Grade of inflammation (A0–1/A2–3) † | 113/220 | 0/11 | 113/209 | 0.018 § |
| Hemoglobin A1C (%) | 5.1 (3.4–10.0) | 5.1 (4.5–6.7) | 5.1 (3.4–10.0) | 0.758 ‡ |
| Albumin (g/dL) | 4.2 (3.3–4.8) | 3.8 (3.3–4.3) | 4.2 (3.3–4.8) | <0.001 ‡ |
| ALT (IU/L) | 52 (11–1071) | 79 (29–209) | 51 (10–1071) | 0.168 ‡ |
| GGT (IU/L) | 36 (8–517) | 61 (25–209) | 37 (8–517) | 0.053 ‡ |
| Platelet count (×104/μL) | 17.8 (4.3–38.3) | 11.4 (7.5–17.9) | 18.0 (4.3–38.3) | <0.001 ‡ |
| AFP (ng/mL) † | 5 (1–870) | 12 (3–870) | 5 (1–358) | <0.001 ‡ |
| FIB-4 index | 1.91 (0.31–16.22) | 6.10 (2.56–8.93) | 1.86 (0.31–16.22) | <0.001 ‡ |
| APRI | 0.61 (0.14–8.93) | 1.93 (0.52–6.17) | 0.60 (0.14–8.93) | <0.001 ‡ |
| Univariate Analysis | |||
| Variables | Category | HR (95% CI) | p-Value |
| Age | <60 years | 1 | |
| ≥60 years | 8.33 (1.80–38.50) | 0.007 | |
| Sex | female | 1 | |
| male | 1.77 (0.48–6.58) | 0.374 | |
| BMI | <23 kg/m2 | 1 | |
| ≥23 kg/m2 | 1.72 (0.52–5.74) | 0.377 | |
| Habitual drinker | No | 1 | |
| Yes | 0.93 (0.25–3.45) | 0.909 | |
| PI use | No | 1 | |
| Yes | 1.99 (0.40–9.76) | 0.347 | |
| HCV-RNA | <6.0 logIU/mL | 1 | |
| ≥6.0 logIU/mL | 0.24 (0.07–0.90) | 0.034 | |
| HCV genotype | 2 | 1 | |
| 1 | 1.56 (0.49–4.92) | 0.449 | |
| Hemoglobin A1c | <5.5% | 1 | |
| ≥5.5% | 1.98 (0.59–6.63) | 0.270 | |
| Albumin | >4.0 g/dL | 1 | |
| ≤4.0 g/dL | 7.84 (2.34–26.24) | 0.001 | |
| ALT | <55 IU/L | 1 | |
| ≥55 IU/L | 3.53 (0.95–13.04) | 0.059 | |
| GGT | <55 IU/L | 1 | |
| ≥55 IU/L | 4.40 (1.32–14.69) | 0.016 | |
| AFP | <8 ng/mL | 1 | |
| ≥8 ng/mL | 14.35 (3.14–65.60) | 0.001 | |
| Platelet count | >8.0 × 104 /µL | 1 | |
| ≤8.0 × 104 /µL | 5.02 (1.08–23.24) | 0.039 | |
| FIB-4 | <3.7 | 1 | |
| ≥3.7 | 17.08 (3.69–79.03) | <0.001 | |
| APRI | <1.25 | 1 | |
| ≥1.25 | 13.85 (2.99–64.09) | 0.001 | |
| WFA+-M2BP | <2.80 COI | 1 | |
| ≥2.80 COI | 30.43 (3.92–236.04) | 0.001 | |
| Multivariate Analysis | |||
| Variables | Category | HR (95% CI) | p-Value |
| FIB-4 | <3.7 | 1 | |
| ≥3.7 | 5.62 (1.14–27.77) | 0.034 | |
| WFA+-M2BP | <2.80 COI | 1 | |
| ≥2.80 COI | 15.21 (1.77–130.94) | 0.013 | |
© 2016 by the authors; licensee MDPI, Basel, Switzerland. This article is an open access article distributed under the terms and conditions of the Creative Commons Attribution (CC-BY) license (http://creativecommons.org/licenses/by/4.0/).
Share and Cite
Sato, S.; Genda, T.; Ichida, T.; Amano, N.; Sato, S.; Murata, A.; Tsuzura, H.; Narita, Y.; Kanemitsu, Y.; Hirano, K.; et al. Prediction of Hepatocellular Carcinoma Development after Hepatitis C Virus Eradication Using Serum Wisteria floribunda Agglutinin-Positive Mac-2-Binding Protein. Int. J. Mol. Sci. 2016, 17, 2143. https://doi.org/10.3390/ijms17122143
Sato S, Genda T, Ichida T, Amano N, Sato S, Murata A, Tsuzura H, Narita Y, Kanemitsu Y, Hirano K, et al. Prediction of Hepatocellular Carcinoma Development after Hepatitis C Virus Eradication Using Serum Wisteria floribunda Agglutinin-Positive Mac-2-Binding Protein. International Journal of Molecular Sciences. 2016; 17(12):2143. https://doi.org/10.3390/ijms17122143
Chicago/Turabian StyleSato, Shunsuke, Takuya Genda, Takafumi Ichida, Nozomi Amano, Sho Sato, Ayato Murata, Hironori Tsuzura, Yutaka Narita, Yoshio Kanemitsu, Katsuharu Hirano, and et al. 2016. "Prediction of Hepatocellular Carcinoma Development after Hepatitis C Virus Eradication Using Serum Wisteria floribunda Agglutinin-Positive Mac-2-Binding Protein" International Journal of Molecular Sciences 17, no. 12: 2143. https://doi.org/10.3390/ijms17122143
APA StyleSato, S., Genda, T., Ichida, T., Amano, N., Sato, S., Murata, A., Tsuzura, H., Narita, Y., Kanemitsu, Y., Hirano, K., Shimada, Y., Iijima, K., Wada, R., Nagahara, A., & Watanabe, S. (2016). Prediction of Hepatocellular Carcinoma Development after Hepatitis C Virus Eradication Using Serum Wisteria floribunda Agglutinin-Positive Mac-2-Binding Protein. International Journal of Molecular Sciences, 17(12), 2143. https://doi.org/10.3390/ijms17122143
