miR33a/miR33b* and miR122 as Possible Contributors to Hepatic Lipid Metabolism in Obese Women with Nonalcoholic Fatty Liver Disease
Abstract
:1. Introduction
2. Results
2.1. Baseline Characteristics of the Subjects
2.2. Evaluation of the Liver Expression of miR33a/b* and miR122 According to Body Mass Index (BMI)
2.3. Evaluation of the Liver Expression of miR33a/b* and miR122 According to Liver Histology
2.3.1. Morbidly Obese MO Patients
2.3.2. Moderately Obese ModO Patients
2.4. Evaluation of the Liver Expression of Genes Involved in Lipogenesis, Lipid Oxidation, and Secretion of Lipoproteins According to BMI
2.5. Evaluation of the Liver Expression of Genes Involved in Lipogenesis, Lipid Oxidation, and Secretion of Lipoproteins Based on Liver Histology
2.5.1. MO Patients
2.5.2. ModO Patients
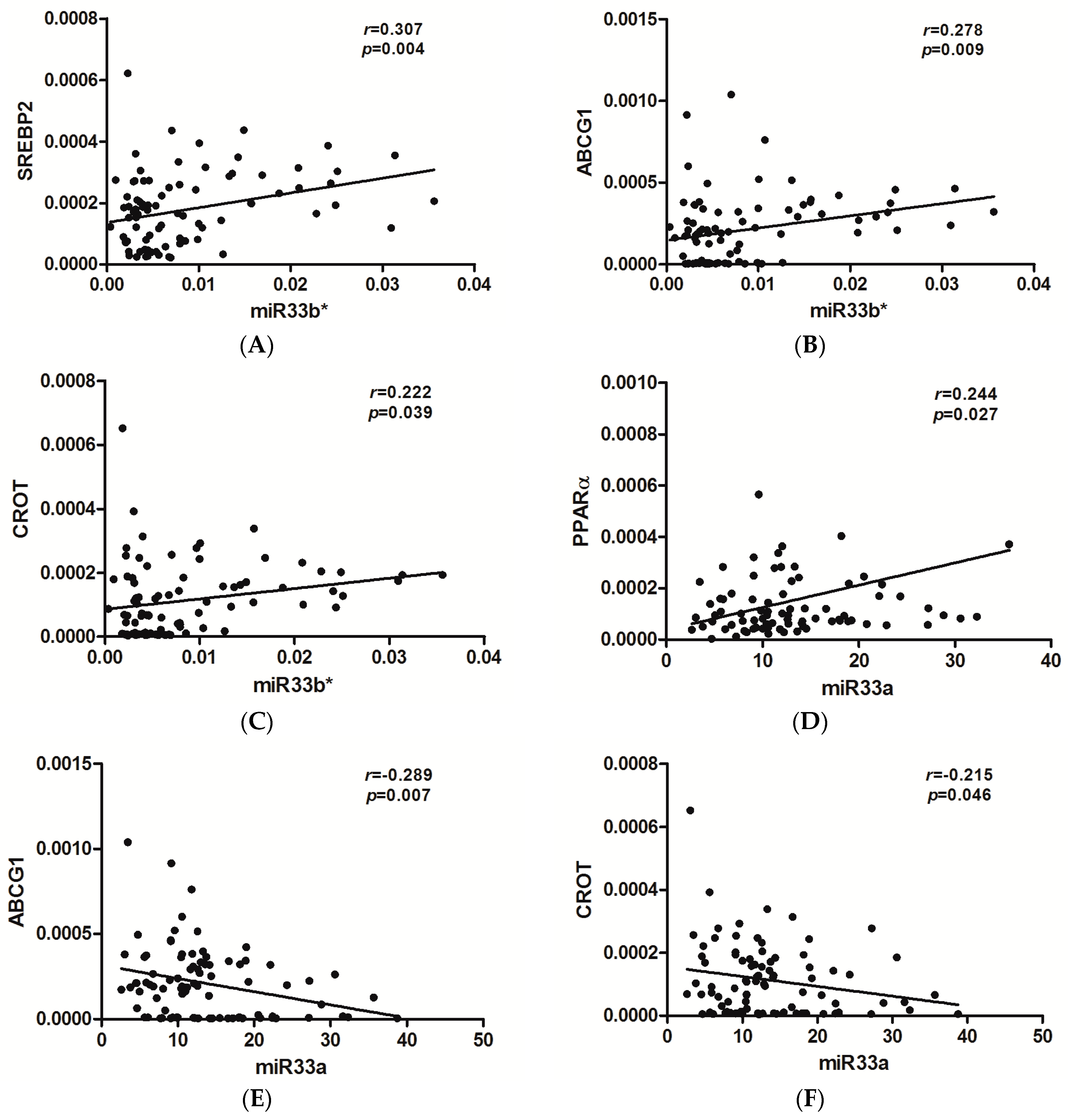
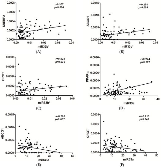
2.6. Significant Correlations of the miR33 a/b* and miR122 Expression with the Expression of Genes Involved in Lipid Metabolism
2.7. Evaluation of miRNA Circulating Levels of miR33b* and miR122 According to BMI
2.8. Evaluation of miRNA Circulating Levels of miR33b* and miR122 According to Liver Histology
2.8.1. MO Patients
2.8.2. ModO Patients
2.9. Correlations between Circulating Levels of miRNA and Its Expression in Liver
2.10. Correlations of miRNA Circulating Levels with Biochemical Parameters and the Stratification of the Severity of Histological Disease
2.11. Evaluation of miR122 Circulating Levels as a Biomarker of Nonalcoholic Fatty Liver Disease (NAFLD)
3. Discussion
4. Materials and Methods
4.1. Subjects
4.2. RNA Isolation and Real-Time PCR
4.3. Statistical Analysis
5. Conclusions
Supplementary Materials
Acknowledgments
Author Contributions
Conflicts of Interest
References
- Yki-Järvinen, H. Non-alcoholic fatty liver disease as a cause and a consequence of metabolic syndrome. Lancet Diabetes Endocrinol. 2014, 3, 1–10. [Google Scholar] [CrossRef]
- Ballestri, S.; Zona, S.; Targher, G.; Romagnoli, D.; Baldelli, E.; Nascimbeni, F.; Roverato, A.; Guaraldi, G.; Lonardo, A. Nonalcoholic fatty liver disease is associated with an almost two fold increased risk of incident type 2 diabetes and metabolic syndrome. Evidence from a systematic review and meta-analysis. J. Gastroenterol. Hepatol. 2016, 31, 936–944. [Google Scholar] [CrossRef] [PubMed]
- Lonardo, A.; Ballestri, S.; Marchesini, G.; Angulo, P.; Loria, P. Nonalcoholic fatty liver disease: A precursor of the metabolic syndrome. Dig. Liver Dis. 2015, 47, 181–190. [Google Scholar] [CrossRef] [PubMed]
- Bellentani, S.; Bedogni, G.; Miglioli, L.; Tiribelli, C. The epidemiology of fatty liver. Eur. J. Gastroenterol. Hepatol. 2004, 16, 1087–1093. [Google Scholar] [CrossRef] [PubMed]
- Younossi, Z.M.; Koenig, A.B.; Abdelatif, D.; Fazel, Y.; Henry, L.; Wymer, M. Global epidemiology of non-alcoholic fatty liver disease-meta-analytic assessment of prevalence, incidence and outcomes. Hepatology 2016, 64, 73–84. [Google Scholar] [CrossRef] [PubMed]
- De Minicis, S.; Day, C.; Svegliati-Baroni, G. From NAFLD to NASH and HCC: Pathogenetic mechanisms and therapeutic insights. Curr. Pharm. Des. 2013, 19, 5239–5249. [Google Scholar] [CrossRef] [PubMed]
- Fabbrini, E.; Sullivan, S.; Klein, S. Obesity and nonalcoholic fatty liver disease: Biochemical, metabolic, and clinical implications. Hepatology 2010, 51, 679–689. [Google Scholar] [CrossRef] [PubMed]
- Lonardo, A.; Bellentani, S.; Argo, C.K.; Ballestri, S.; Byrne, C.D.; Caldwell, S.H.; Cortez-Pinto, H.; Grieco, A.; Machado, M.V.; Miele, L.; et al. Epidemiological modifiers of non-alcoholic fatty liver disease: Focus on high-risk groups. Dig. Liver Dis. 2015, 47, 997–1006. [Google Scholar] [CrossRef] [PubMed]
- Day, C.P. Genetic and environmental susceptibility to non-alcoholic fatty liver disease. Dig. Dis. 2010, 28, 255–260. [Google Scholar] [CrossRef] [PubMed]
- Nobili, V.; Svegliati-Baroni, G.; Alisi, A.; Miele, L.; Valenti, L.; Vajro, P. A 360-degree overview of paediatric NAFLD: Recent insights. J. Hepatol. 2013, 58, 1218–1229. [Google Scholar] [CrossRef] [PubMed]
- Buzzetti, E.; Pinzani, M.; Tsochatzis, E.A. The multiple-hit pathogenesis of non-alcoholic fatty liver disease (NAFLD). Metabolism 2016, 65, 1038–1048. [Google Scholar] [CrossRef] [PubMed]
- Auguet, T.; Berlanga, A.; Guiu-Jurado, E.; Martinez, S.; Porras, J.A.; Aragonès, G.; Sabench, F.; Hernandez, M.; Aguilar, C.; Sirvent, J.J.; et al. Altered fatty acid metabolism-related gene expression in liver from morbidly obese women with non-alcoholic fatty liver disease. Int. J. Mol. Sci. 2014, 15, 22173–22187. [Google Scholar] [CrossRef] [PubMed]
- Panera, N.; Gnani, D.; Crudele, A.; Ceccarelli, S.; Nobili, V.; Alisi, A. MicroRNAs as controlled systems and controllers in non-alcoholic fatty liver disease. World J. Gastroenterol. 2014, 20, 15079–15086. [Google Scholar] [CrossRef] [PubMed]
- Lewis, A.P.; Jopling, C.L. Regulation and biological function of the liver-specific miR-122. Biochem. Soc. Trans. 2010, 38, 1553–1557. [Google Scholar] [CrossRef] [PubMed]
- Dávalos, A.; Goedeke, L.; Smibert, P.; Ramírez, C.M.; Warrier, N.P.; Andreo, U. miR-33a/b contribute to the regulation of fatty acid metabolism and insulin signaling. Proc. Natl. Acad. Sci. USA 2011, 108, 9232–9237. [Google Scholar] [CrossRef] [PubMed]
- Goedeke, L.; Vales-Lara, F.M.; Fenstermaker, M.; Cirera-Salinas, D.; Chamorro-Jorganes, A.; Ramírez, C.M.; Mattison, J.A.; de Cabo, R.; Suárez, Y.; Fernández-Hernando, C. A regulatory role for microRNA 33* in controlling lipid metabolism gene expression. Mol. Cell. Biol. 2013, 33, 2339–2352. [Google Scholar] [CrossRef] [PubMed]
- Pogribny, I.P.; Starlard-Davenport, A.; Tryndyak, V.P.; Han, T.; Ross, S.A.; Rusyn, I.; Beland, F.A. Difference in expression of hepatic microRNAs miR-29c, miR-34a, miR-155, and miR-200b is associated with strain-specific susceptibility to dietary nonalcoholic steatohepatitis in mice. Lab. Investig. 2010, 90, 1437–1446. [Google Scholar] [CrossRef] [PubMed]
- Alisi, A.; Da Sacco, L.; Bruscalupi, G.; Piemonte, F.; Panera, N.; de Vito, R.; Leoni, S.; Bottazzo, G.F.; Masotti, A.; Nobili, V. Mirnome analysis reveals novel molecular determinants in the pathogenesis of diet-induced nonalcoholic fatty liver disease. Lab. Investig. 2011, 91, 283–293. [Google Scholar] [CrossRef] [PubMed]
- Zhang, Y.; Cheng, X.; Lu, Z.; Wang, J.; Chen, H.; Fan, W.; Gao, X.; Lu, D. Upregulation of miR-15b in NAFLD models and in the serum of patients with fatty liver disease. Diabetes Res. Clin. Pract. 2013, 99, 327–334. [Google Scholar] [CrossRef] [PubMed]
- Cheung, O.; Puri, P.; Eicken, C.; Contos, M.J.; Mirshahi, F.; Maher, J.W.; Kellum, J.M.; Min, H.; Luketic, V.A.; Sanyal, A.J. Nonalcoholic steatohepatitis is associated with altered hepatic microRNA expression. Hepatology 2008, 48, 1810–1820. [Google Scholar] [CrossRef] [PubMed]
- Kida, K.; Nakajima, M.; Mohri, T.; Oda, Y.; Takagi, S.; Fukami, T.; Yokoi, T. PPARα is regulated by miR-21 and miR-27b in human liver. Pharm. Res. 2011, 28, 2467–2476. [Google Scholar] [CrossRef] [PubMed]
- Trajkovski, M.; Hausser, J.; Soutschek, J.; Bhat, B.; Akin, A.; Zavolan, M.; Heim, M.H.; Stoffel, M. MicroRNAs 103 and 107 regulate insulin sensitivity. Nature 2011, 474, 649–653. [Google Scholar] [CrossRef] [PubMed]
- Min, H.-K.; Kapoor, A.; Fuchs, M.; Mirshahi, F.; Zhou, H.; Maher, J.; Kellum, J.; Warnick, R.; Contos, M.J.; Sanyal, A.J. Increased hepatic synthesis and dysregulation of cholesterol metabolism is associated with the severity of nonalcoholic fatty liver disease. Cell Metab. 2012, 15, 665–674. [Google Scholar] [CrossRef] [PubMed]
- Ogawa, T.; Enomoto, M.; Fujii, H.; Sekiya, Y.; Yoshizato, K.; Ikeda, K.; Kawada, N. MicroRNA-221/222 upregulation indicates the activation of stellate cells and the progression of liver fibrosis. Gut 2012, 61, 1600–1609. [Google Scholar] [CrossRef] [PubMed]
- Castro, R.E.; Ferreira, D.M.S.; Afonso, M.B.; Borralho, P.M.; MacHado, M.V.; Cortez-Pinto, H.; Rodrigues, C.M.P. miR-34a/SIRT1/p53 is suppressed by ursodeoxycholic acid in the rat liver and activated by disease severity in human non-alcoholic fatty liver disease. J. Hepatol. 2013, 58, 119–125. [Google Scholar] [CrossRef] [PubMed]
- Pirola, C.J.; Fernández Gianotti, T.; Castaño, G.O.; Mallardi, P.; San Martino, J.; Mora Gonzalez Lopez Ledesma, M.; Flichman, D.; Mirshahi, F.; Sanyal, A.J.; Sookoian, S. Circulating microRNA signature in non-alcoholic fatty liver disease: From serum non-coding RNAs to liver histology and disease pathogenesis. Gut 2015, 64, 800–812. [Google Scholar] [CrossRef] [PubMed]
- Soronen, J.; Yki-Järvinen, H.; Zhou, Y.; Sädevirta, S.; Sarin, A.-P.; Leivonen, M.; Sevastianova, K.; Perttilä, J.; Laurila, P.-P.; Sigruener, A.; et al. Novel hepatic microRNAs upregulated in human nonalcoholic fatty liver disease. Physiol. Rep. 2016, 4, 1–14. [Google Scholar] [CrossRef] [PubMed]
- Xie, H.; Sun, L.; Lodish, H.F. Targeting microRNAs in obesity. Expert Opin. Ther. Targets 2009, 13, 1227–1238. [Google Scholar] [CrossRef] [PubMed]
- Heneghan, H.M.; Miller, N.; Kerin, M.J. Role of microRNAs in obesity and the metabolic syndrome. Obes. Rev. 2010, 11, 354–361. [Google Scholar] [CrossRef] [PubMed]
- Ortega, F.J.; Moreno-Navarrete, J.M.; Pardo, G.; Sabater, M.; Hummel, M.; Ferrer, A.; Rodriguez-Hermosa, J.I.; Ruiz, B.; Ricart, W.; Peral, B.; et al. miRNA expression profile of human subcutaneous adipose and during adipocyte differentiation. PLoS ONE 2010, 5, e9022. [Google Scholar] [CrossRef] [PubMed]
- Martinelli, R.; Nardelli, C.; Pilone, V.; Buonomo, T.; Liguori, R.; Castano, I.; Buono, P.; Masone, S.; Persico, G.; Forestieri, P.; et al. miR-519d overexpression is associated with human obesity. Obesity 2010, 18, 2170–2176. [Google Scholar] [CrossRef] [PubMed]
- Heneghan, H.M.; Miller, N.; McAnena, O.J.; O’Brien, T.; Kerin, M.J. Differential miRNA expression in omental adipose tissue and in the circulation of obese patients identifies novel metabolic biomarkers. J. Clin. Endocrinol. Metab. 2011, 96, 846–850. [Google Scholar] [CrossRef] [PubMed]
- Lynn, F.C. Meta-regulation: MicroRNA regulation of glucose and lipid metabolism. Trends Endocrinol. Metab. 2009, 20, 452–459. [Google Scholar] [CrossRef] [PubMed]
- Hulsmans, M.; de Keyzer, D.; Holvoet, P. MicroRNAs regulating oxidative stress and inflammation in relation to obesity and atherosclerosis. FASEB J. 2011, 25, 2515–2527. [Google Scholar] [CrossRef] [PubMed]
- Meerson, A.; Traurig, M.; Ossowski, V.; Fleming, J.M.; Mullins, M.; Baier, L.J. Human adipose microRNA-221 is upregulated in obesity and affects fat metabolism downstream of leptin and TNF-α. Diabetologia 2013, 56, 1971–1979. [Google Scholar] [CrossRef] [PubMed]
- Arner, P.; Kulyté, A. MicroRNA regulatory networks in human adipose tissue and obesity. Nat. Rev. Endocrinol. 2015, 11, 276–288. [Google Scholar] [CrossRef] [PubMed]
- Ortega, F.J.; Mercader, J.M.; Catalán, V.; Moreno-Navarrete, J.M.; Pueyo, N.; Sabater, M.; Gómez-Ambrosi, J.; Anglada, R.; Fernández-Formoso, J.A.; Ricart, W.; et al. Targeting the circulating microRNA signature of obesity. Clin. Chem. 2013, 59, 781–792. [Google Scholar] [CrossRef] [PubMed]
- Vega-Badillo, J.; Gutiérrez-Vidal, R.; Hernández-Pérez, H.A.; Villamil-Ramírez, H.; León-Mimila, P.; Sánchez-Muñoz, F.; Morán-Ramos, S.; Larrieta-Carrasco, E.; Fernández-Silva, I.; Méndez-Sánchez, N.; et al. Hepatic miR-33a/miR-144 and their target gene ABCA1 are associated with steatohepatitis in morbidly obese subjects. Liver Int. 2016, 36, 1383–1391. [Google Scholar] [CrossRef] [PubMed]
- Rayner, K.J.; Suárez, Y.; Dávalos, A.; Parathath, S.; Fitzgerald, M.L.; Tamehiro, N.; Fisher, E.A.; Moore, K.J.; Fernández-Hernando, C. MiR-33 contributes to the regulation of cholesterol homeostasis. Science 2010, 328, 1570–1573. [Google Scholar] [CrossRef] [PubMed]
- Najafi-Shoushtari, S.H.; Kristo, F.; Li, Y.; Shioda, T.; Cohen, D.E.; Gerszten, R.E.; Näär, A.M. MicroRNA-33 and the SREBP host genes cooperate to control cholesterol homeostasis. Science 2010, 328, 1566–1569. [Google Scholar] [CrossRef] [PubMed]
- Marquart, T.J.; Allen, R.M.; Ory, D.S.; Baldán, A. miR-33 links SREBP-2 induction to repression of sterol transporters. Proc. Natl. Acad. Sci. USA 2010, 107, 12228–12232. [Google Scholar] [CrossRef] [PubMed]
- Horie, T.; Ono, K.; Horiguchi, M.; Nishi, H.; Nakamura, T.; Nagao, K.; Kinoshita, M.; Kuwabara, Y.; Marusawa, H.; Iwanaga, Y.; et al. MicroRNA-33 encoded by an intron of sterol regulatory element-binding protein 2 (Srebp 2) regulates HDL in vivo. Ther. Res. 2011, 32, 728–733. [Google Scholar]
- Krek, A.; Grün, D.; Poy, M.N.; Wolf, R.; Rosenberg, L.; Epstein, E.J.; MacMenamin, P.; da Piedade, I.; Gunsalus, K.C.; Stoffel, M.; et al. Combinatorial microRNA target predictions. Nat. Genet. 2005, 37, 495–500. [Google Scholar] [CrossRef] [PubMed]
- Shalgi, R.; Lieber, D.; Oren, M.; Pilpel, Y. Global and local architecture of the mammalian microRNA-transcription factor regulatory network. PLoS Comput. Biol. 2007, 3, e131. [Google Scholar] [CrossRef] [PubMed]
- Tan, Y.; Ge, G.; Pan, T.; Wen, D.; Gan, J. A pilot study of serum micrornas panel as potential biomarkers for diagnosis of nonalcoholic fatty liver disease. PLoS ONE 2014, 9, e105192. [Google Scholar] [CrossRef] [PubMed]
- Wang, R.; Hong, J.; Cao, Y.; Shi, J.; Gu, W.; Ning, G.; Zhang, Y.; Wang, W. Elevated circulating microRNA-122 is associated with obesity and insulin resistance in young adults. Eur. J. Endocrinol. 2015, 172, 291–300. [Google Scholar] [CrossRef] [PubMed]
- Yamada, H.; Suzuki, K.; Ichino, N.; Ando, Y.; Sawada, A.; Osakabe, K.; Sugimoto, K.; Ohashi, K.; Teradaira, R.; Inoue, T.; et al. Associations between circulating microRNAs (miR-21, miR-34a, miR-122 and miR-451) and non-alcoholic fatty liver. Clin. Chim. Acta 2013, 424, 99–103. [Google Scholar] [CrossRef] [PubMed]
- Miyaaki, H.; Ichikawa, T.; Kamo, Y.; Taura, N.; Honda, T.; Shibata, H.; Milazzo, M.; Fornari, F.; Gramantieri, L.; Bolondi, L.; et al. Significance of serum and hepatic microRNA-122 levels in patients with non-alcoholic fatty liver disease. Liver Int. 2014, 34, 302–307. [Google Scholar] [CrossRef] [PubMed]
- Cermelli, S.; Ruggieri, A.; Marrero, J.A.; Ioannou, G.N.; Beretta, L. Circulating MicroRNAs in patients with chronic hepatitis c and non-alcoholic fatty liver disease. PLoS ONE 2011, 6, e23937. [Google Scholar] [CrossRef] [PubMed]
- Bala, S.; Petrasek, J.; Mundkur, S.; Catalano, D.; Levin, I.; Ward, J.; Alao, H.; Kodys, K.; Szabo, G. Circulating microRNAs in exosomes indicate hepatocyte injury and inflammation in alcoholic, drug-induced, and inflammatory liver diseases. Hepatology 2012, 56, 1946–1957. [Google Scholar] [CrossRef] [PubMed]
- Zhang, Y.; Jia, Y.; Zheng, R.; Guo, Y.; Wang, Y.; Guo, H.; Fei, M.; Sun, S. Plasma microRNA-122 as a biomarker for viral-, alcohol-, and chemical-related hepatic diseases. Clin. Chem. 2010, 56, 1830–1838. [Google Scholar] [CrossRef] [PubMed]
- Jamali, R.; Arj, A.; Razavizade, M.; Aarabi, M.H. Prediction of nonalcoholic fatty liver disease via a novel panel of serum adipokines. Medicine 2016, 95, e2630. [Google Scholar] [CrossRef] [PubMed]
- Campos, G.M.; Bambha, K.; Vittinghoff, E.; Rabl, C.; Posselt, A.M.; Ciovica, R.; Tiwari, U.; Ferrel, L.; Pabst, M.; Bass, N.M.; et al. A clinical scoring system for predicting nonalcoholic steatohepatitis in morbidly obese patients. Hepatology 2008, 47, 1916–1923. [Google Scholar] [CrossRef] [PubMed]
- Lückhoff, H.K.; Kruger, F.C.; Kotze, M.J. Composite prognostic models across the non-alcoholic fatty liver disease spectrum: Clinical application in developing countries. World J. Hepatol. 2015, 7, 1192–1208. [Google Scholar] [CrossRef] [PubMed]
- Kleiner, D.E.; Brunt, E.M.; Van Natta, M.; Behling, C.; Contos, M.J.; Cummings, O.W.; Ferrell, L.D.; Liu, Y.C.; Torbenson, M.S.; Unalp-Arida, A.; et al. Design and validation of a histological scoring system for nonalcoholic fatty liver disease. Hepatology 2005, 41, 1313–1321. [Google Scholar] [CrossRef] [PubMed]
- Brunt, E.M.; Janney, C.G.; Di Bisceglie, M.A.; Neuschwander-Tetri, B.; Bacon, B.R. Nonalcoholic steatohepatitis: A proposal for grading and staging the histological lesions. Am. J. Gastroenterol. 1999, 94, 2467–2474. [Google Scholar] [CrossRef] [PubMed]





| Variables | Normal-Weight (n = 30) Mean ± SEM | Moderate Obesity (n = 30) Mean ± SEM | Morbid Obesity (n = 62) Mean ± SEM | ||||
|---|---|---|---|---|---|---|---|
| – | NL (n = 9) | SS (n = 9) | NASH (n = 12) | NL (n = 22) | SS (n = 18) | NASH (n = 22) | |
| Age (years) | 41.0 ± 2.2 *,£ | 49.8 ± 3.7 | 49.06 ± 5.2 | 52.23 ± 10.5 | 46.3 ± 2.6 | 47.2 ± 2.4 | 48.8 ± 2.5 |
| Weight (kg) § | 58.2 ± 1.5 *,£ | 90.4 ± 2.5 | 96.5 ± 4.0 | 89.1 ± 2.6 | 120.3 ± 3.8 | 121.1 ± 4.5 | 119.8 ± 3.1 |
| WC (cm) § | 75.2 ± 2.1 *,£ | 107.8 ± 1.8 | 111.0 ± 3.8 | 107.2 ± 3.8 | 132.4 ± 5.6 | 132.3 ± 4.3 | 132.6 ± 3.0 |
| BMI (kg/m2) § | 22.1 ± 0.4 *,£ | 35.4 ± 0.7 | 36.2 ± 0.8 | 35.1 ± 0.9 | 48.5 ± 1.6 | 48.9 ± 2.1 | 47.2 ± 1.0 |
| Glucose (mg/dL) § | 83.3 ± 2.0 *,£ | 140.9 ± 22.8 | 131.8 ± 25.5 | 161.8 ± 25.5 | 88.5 ± 3.0 | 126.4 ± 5.9 # | 128.8 ± 7.2 # |
| Insulin (mUI/L) | 6.1 ± 0.6 *,£ | 10.7 ± 2.8 | 15.2 ± 3.9 | 26.7 ± 9.4 | 12.2 ± 1.6 | 19.1 ± 2.9 | 27.6 ± 6.9 |
| HbA1c (%) | 4.7 ± 0.1 *,£ | 6.7 ± 0.8 | 5.3 ± 0.2 | 7.5 ± 1.1 | 5.1 ± 0.1 | 6.1 ± 0.3 | 5.9 ± 0.4 |
| HOMA2-IR | 0.8 ± 0.1 *,£ | 1.39 ± 0.4 | 2.5 ± 0.8 | 3.6 ± 1.6 | 1.5 ± 0.2 | 2.6 ± 0.37 # | 3.6 ± 0.8 # |
| HDL-C (mg/dL) | 55.5 ± 2.0 *,£ | 39.7 ± 4.5 | 44.6 ± 2.4 | 38.2 ± 2.9 | 44.6 ± 2.4 | 37.4 ± 2.4 | 39.1 ± 1.6 |
| LDL-C (mg/dL) | 103.7 ± 3.5 | 103.3 ± 14.1 | 101.8 ± 8.2 | 105.5 ± 20.8 | 98.1 ± 7.2 | 106.2 ± 6.9 | 105.5 ± 6.5 |
| Triglycerides (mg/dL) | 87.2 ± 9.9 *,£ | 109.6 ± 17.9 | 134.9 ± 19.9 | 197.3 ± 37.6 | 133.8 ± 11.2 | 177.1 ± 16.5 | 185.0 ± 19.4 |
| AST (U/L) | 22.3 ± 1.5 *,£ | 27.7 ± 5.4 | 47.7 ± 9.6 | 52.0 ± 12.8 | 19.7 ± 1.2 | 43.0 ± 8.4 # | 52.3 ± 7.6 # |
| ALT (U/L) | 21.5 ± 2.9 *,£ | 28.1 ± 7.7 | 36.7 ± 7.6 | 48.1 ± 10.2 | 19.2 ± 1.2 | 43.6 ± 6.1 # | 54.2 ± 6.9 # |
| GGT (U/L) | 22.2 ± 6.3 £ | 30.4 ± 15.5 | 20.6 ± 5.5 | 25.4 ± 5.2 | 21.4 ± 6.5 | 34.6 ± 3.9 | 41.2 ± 7.0 |
| ALP (U/L) | 61.2 ± 4.5 | 72.2 ± 13.3 | 63.2 ± 5.1 | 67.2 ± 6.2 | 64.4 ± 3.4 | 67.3 ± 4.2 | 74.5 ± 2.9 |
| Steatosis grade | 1.33 ± 0.2 | 1.42 ± 0.1 | 1.94 ± 0.2 ‡ | 1.72 ± 0.1 | |||
| Mild (1) | – | – | 6 (67%) | 7 (58%) | – | 6 (33%) | 9 (41%) |
| Moderate (2) | – | – | 3 (33%) | 5 (42%) | – | 7 (39%) | 10 (45%) |
| Severe (3) | – | – | – | – | – | 5 (28%) | 3 (14%) |
| Lobular inflammatory grade | 0.11 ± 0.1 | 2.10 ± 0.1 | 0.17 ± 0.1 | 1.36 ± 0.1 † | |||
| Absence (0) | – | – | 8 (89%) | – | – | 15 (83%) | – |
| Mild (1) | – | – | 1 (11%) | 1 (8%) | – | 3 (17%) | 16 (73%) |
| Moderate (2) | – | – | – | 9 (75%) | – | – | 4 (18%) |
| Severe (3) | – | – | – | 2 (17%) | – | – | 2 (9%) |
| Hepatocellular ballooning | 0.11 ± 0.1 | 1.00 ± 0.1 | 0.17 ± 0.1 | 1.09 ± 0.1 | |||
| Absence (0) | – | – | 8 (89%) | 1 (8%) | – | 15 (83%) | – |
| Mild (1) | – | – | 1 (11%) | 10 (84%) | – | 3 (17%) | 20 (91%) |
| Moderate (2) | – | – | – | 1 (8%) | – | – | 2 (9%) |
| Severe (3) | – | – | – | – | – | – | – |
| Histological Features | AUROC | Cut-Off | Sensitivity (%) | Specificity (%) | PPV (%) | NPV (%) | LR+ | LR− |
|---|---|---|---|---|---|---|---|---|
| NAFLD a | 0.82 (0.74–0.90) | 0.0045 | 96.6 | 54.7 | 41.6 | 98.0 | 2.13 | 16.14 |
| 0.0147 | 83.1 | 69.8 | 47.8 | 92.5 | 2.75 | 4.12 | ||
| 0.1202 | 35.6 | 90.6 | 55.7 | 80.8 | 3.77 | 1.41 | ||
| Hepatocellular Ballooning b | 0.76 (0.66–0.85) | 0.0045 | 97.1 | 37.2 | 34.0 | 97.4 | 1.55 | 12.64 |
| 0.0693 | 67.6 | 74.4 | 46.8 | 87.3 | 2.64 | 2.30 | ||
| 0.2738 | 29.4 | 93.6 | 60.5 | 79.9 | 4.59 | 1.33 | ||
| Lobular Inflammation c | 0.76 (0.66–0.85) | 0.0045 | 97.1 | 37.2 | 34.0 | 97.4 | 1.55 | 12.64 |
| 0.0693 | 67.6 | 74.4 | 46.8 | 87.3 | 2.64 | 2.30 | ||
| 0.2738 | 29.4 | 93.6 | 60.5 | 79.9 | 4.59 | 1.33 |
© 2016 by the authors; licensee MDPI, Basel, Switzerland. This article is an open access article distributed under the terms and conditions of the Creative Commons Attribution (CC-BY) license (http://creativecommons.org/licenses/by/4.0/).
Share and Cite
Auguet, T.; Aragonès, G.; Berlanga, A.; Guiu-Jurado, E.; Martí, A.; Martínez, S.; Sabench, F.; Hernández, M.; Aguilar, C.; Sirvent, J.J.; et al. miR33a/miR33b* and miR122 as Possible Contributors to Hepatic Lipid Metabolism in Obese Women with Nonalcoholic Fatty Liver Disease. Int. J. Mol. Sci. 2016, 17, 1620. https://doi.org/10.3390/ijms17101620
Auguet T, Aragonès G, Berlanga A, Guiu-Jurado E, Martí A, Martínez S, Sabench F, Hernández M, Aguilar C, Sirvent JJ, et al. miR33a/miR33b* and miR122 as Possible Contributors to Hepatic Lipid Metabolism in Obese Women with Nonalcoholic Fatty Liver Disease. International Journal of Molecular Sciences. 2016; 17(10):1620. https://doi.org/10.3390/ijms17101620
Chicago/Turabian StyleAuguet, Teresa, Gemma Aragonès, Alba Berlanga, Esther Guiu-Jurado, Andreu Martí, Salomé Martínez, Fàtima Sabench, Mercé Hernández, Carmen Aguilar, Joan Josep Sirvent, and et al. 2016. "miR33a/miR33b* and miR122 as Possible Contributors to Hepatic Lipid Metabolism in Obese Women with Nonalcoholic Fatty Liver Disease" International Journal of Molecular Sciences 17, no. 10: 1620. https://doi.org/10.3390/ijms17101620
APA StyleAuguet, T., Aragonès, G., Berlanga, A., Guiu-Jurado, E., Martí, A., Martínez, S., Sabench, F., Hernández, M., Aguilar, C., Sirvent, J. J., Del Castillo, D., & Richart, C. (2016). miR33a/miR33b* and miR122 as Possible Contributors to Hepatic Lipid Metabolism in Obese Women with Nonalcoholic Fatty Liver Disease. International Journal of Molecular Sciences, 17(10), 1620. https://doi.org/10.3390/ijms17101620
