Next Article in Journal
Emodin-Loaded Magnesium Silicate Hollow Nanocarriers for Anti-Angiogenesis Treatment through Inhibiting VEGF
Previous Article in Journal
Biochemical Characterization of a Carboxylesterase from the Archaeon Pyrobaculum sp. 1860 and a Rational Explanation of Its Substrate Specificity and Thermostability
 
 
Font Type:
Arial Georgia Verdana
Font Size:
Aa Aa Aa
Line Spacing:
Column Width:
Background:
Article

Anticonvulsant Profiles of Certain New 6-Aryl-9-substituted-6,9-diazaspiro-[4.5]decane-8,10-diones and 1-Aryl-4-substituted-1,4-diazaspiro[5.5]undecane-3,5-diones

by
Mohamed N. Aboul-Enein
1,*,
Aida A. El-Azzouny
1,
Mohamed I. Attia
1,2,
Yousreya A. Maklad
3,
Mona E. Aboutabl
3,
Fatma Ragab
4 and
Walaa H. A. Abd El-Hamid
5
1
Medicinal and Pharmaceutical Chemistry Department (Medicinal Chemistry Group), Pharmaceutical and Drug Industries Research Division, National Research Centre, Dokki, Giza 12622, Egypt
2
Department of Pharmaceutical Chemistry, College of Pharmacy, King Saud University, P. O. Box 2457, Riyadh 11451, Saudi Arabia
3
Medicinal and Pharmaceutical Chemistry Department (Pharmacology Group) Pharmaceutical and Drug Industries Research Division, National Research Centre, Dokki, Giza 12622, Egypt
4
Department of Pharmaceutical Chemistry, Faculty of Pharmacy, Cairo University, Cairo 11562, Egypt
5
Department of Pharmaceutical Chemistry, Faculty of Pharmacy, Misr University for Science & Technology, 6th of October City 12566, Egypt
*
Author to whom correspondence should be addressed.
Int. J. Mol. Sci. 2014, 15(9), 16911-16935; https://doi.org/10.3390/ijms150916911
Submission received: 19 August 2014 / Revised: 10 September 2014 / Accepted: 12 September 2014 / Published: 23 September 2014
(This article belongs to the Section Biochemistry)

Abstract

:
Synthesis and anticonvulsant potential of certain new 6-aryl-9-substituted-6,9-diazaspiro[4.5]decane-8,10-diones (6al) and 1-aryl-4-substituted-1,4-diazaspiro[5.5]undecane-3,5-diones (6mx) are reported. The intermediates 1-[(aryl)(cyanomethyl)amino]cycloalkanecarboxamides (3af) were prepared via adopting Strecker synthesis on the proper cycloalkanone followed by partial hydrolysis of the obtained nitrile functionality and subsequent N-cyanomethylation. Compounds 3af were subjected to complete nitrile hydrolysis to give the respective carboxylic acid derivatives 4af which were cyclized under mild conditions to give the spiro compounds 5af. Ultimately, compounds 5af were alkylated or aralkylated to give the target compounds 6ai and 6mu. On the other hand, compounds 6jl and 6vx were synthesized from the intermediates 5af through alkylation, dehydration and finally tetrazole ring formation. Anticonvulsant screening of the target compounds 6ax revealed that compound 6g showed an ED50 of 0.0043 mmol/kg in the scPTZ screen, being about 14 and 214 fold more potent than the reference drugs, Phenobarbital (ED50 = 0.06 mmol/kg) and Ethosuximide (ED50 = 0.92 mmol/kg), respectively. Compound 6e exhibited an ED50 of 0.019 mmol/kg, being about 1.8 fold more potent than that of the reference drug, Diphenylhydantoin (ED50 = 0.034 mmol/kg) in the MES screen. Interestingly, all the test compounds 6ax did not show any minimal motor impairment at the maximum administered dose in the neurotoxicity screen.

1. Introduction

Epilepsy is a group of neurological disorders characterized by excessive abnormal bioelectrical functions of the brain leading to recurrent unprovoked seizures [1,2]. It affects about 1% of the global population with the majority of cases being in the developing countries [3]. Estimates suggest that approximately 20%–30% of patients are not adequately controlled by the available antiepileptic medications [4,5]. Furthermore, the clinically used antiepileptics display serious side effects such as ataxia, hepatotoxicity, gingival hyperplasia and megaloblastic anaemia [6,7,8]. Therefore, there is a substantial need for novel, more effective and more selective antiepileptic agents with lesser side effects.
Diketopiperazines (DKPs) are the smallest cyclic peptides known, commonly biosynthesized from amino acids by a large variety of organisms [9]. They are privileged structures for the discovery of new lead compounds. They display attractive chemical characteristics, such as resistance to proteolysis, mimicking of peptidic pharmacophoric groups, conformational rigidity and donor as well as acceptor groups for hydrogen bonding which might influence interactions with biological targets [10].
DKPs include 2,3-DKPs, 2,5-DKPs and 2,6-DKPs (3-aza-glutarimides). Although various methods and synthetic protocols are reported for the synthesis of 2,6-DKPs, there is a paucity of information on their induced biological profiles, including anticonvulsant, antiviral and anticancer activities [2,11,12,13].
Incorporation of lipophilic moieties in the scaffold of new bioactive chemical entities could improve their anticonvulsant potential. Accordingly, cyclohexane and/or cyclopentane moieties were embedded in the skeleton of the new 2,6-DKP derivatives 6ax aiming to enhance their anticonvulsant activity. On the other hand, the tetrazole moiety is a bioisostere of carboxylic acid functionality and it is an integrated part in the construction of certain anticonvulsants [14,15]. Therefore, compounds 6jl and 6vx, bearing a tetrazole moiety, were synthesized and screened for their anticonvulsant potential.
Our research group has previously reported the synthesis and anticonvulsant activity of certain 1-alkyl-1,4-diazaspiro[4.5]decane and [5.5]undecane-3,5-diones [16] as ring expanded hydantoins which are one of the well known classical families of anticonvulsants. As an extension of this study, we describe herein the synthesis and anticonvulsant profile of certain new 6-aryl-9-substituted-6,9-diazaspiro[4.5]decane-8,10-diones (6al) and 1-aryl-4-substituted-1,4-diazaspiro[5.5]undecane-3,5-diones (6mx) aiming to get new anticonvulsant biocandidates.

2. Results and Discussion

2.1. Chemistry

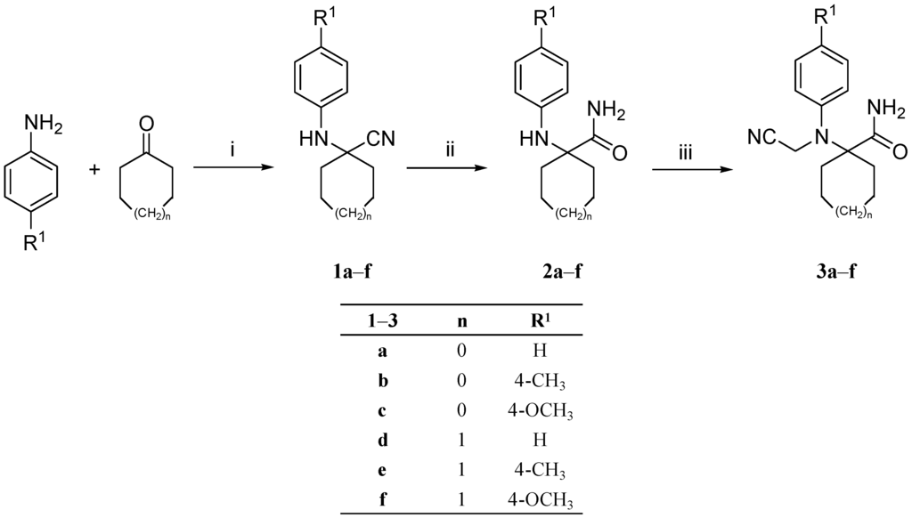
Syntheses of the target compounds 6ax and their intermediates are depicted in Scheme 1, Scheme 2 and Scheme 3. Thus, cyclopentanone and/or cyclohexanone were allowed to react with the appropriate commercially available aniline derivative and potassium cyanide in glacial acetic acid under Strecker synthesis conditions to give the respective nitrile derivatives 1af. The nitrile group of compounds 1af was subjected to hydrolysis under acidic conditions using sulfuric acid at ambient temperature to yield the amide derivatives 2af. Subsequently, cyanomethylation of the secondary amine moiety of compounds 2af was successfully achieved using potassium cyanide, paraformaldehyde and formaldehyde to furnish the corresponding compounds 3af (Scheme 1).
Scheme 1. Synthesis of compounds 13af. Reagents and conditions: (i) KCN, glacial acetic acid, RT, 24 h; (ii) Conc. H2SO4, RT, 48 h; (iii) KCN, formaldehyde 37% solution, paraformaldehyde, 60 °C-RT, 3–18 h.
Scheme 1. Synthesis of compounds 13af. Reagents and conditions: (i) KCN, glacial acetic acid, RT, 24 h; (ii) Conc. H2SO4, RT, 48 h; (iii) KCN, formaldehyde 37% solution, paraformaldehyde, 60 °C-RT, 3–18 h.
Ijms 15 16911 g001
The target compounds 6ai and 6mu as well as their intermediates 4af and 5af were obtained as portrayed in Scheme 2. Thus, the nitrile moiety in compounds 3af was hydrolysed via reflux in sodium hydroxide solution to yield the corresponding carboxylic acid derivatives 4af. Cyclization of the latter compounds 4af was successfully realized using ethylenediamine in 4 N HCl solution to give the respective spiro compounds 5af according to our previously developed procedure [16]. The imide functionality of compounds 5af was alkylated under phase transfer catalysis conditions using the appropriate alkyl/aralkyl halide to give the target compounds 6ai and 6mu.
Scheme 2. Synthesis of compounds 4af, 5af, 6ai and 6mu.
Scheme 2. Synthesis of compounds 4af, 5af, 6ai and 6mu.
Ijms 15 16911 g002
The synthesis of the intermediates 7af and 8af as well as the target compounds 6jl and 6vx were successfully achieved as illustrated in Scheme 3. Synthesis of compounds 6jl and 6vx was commenced with the reaction of compounds 5af with chloroacetamide to give the corresponding compounds 7af. Dehydration of compounds 7af using trifluoroacetic anhydride furnished the respective penultimate cyanomethyl derivatives 8af. Elaboration of the cyano group of compounds 8af to the tetrazolyl moiety was acquired using sodium azide in the presence of aluminium chloride to yield the desired compounds 6jl and 6vx.
Scheme 3. Synthesis of compounds 7af, 8af, 6jl and 6vx. Reagents and conditions: (i) Acetone, K2CO3, tetrabutylammonium bromide, reflux 7 h; (ii) Triflouroacetic anhydride, THF, cooling, 0–5 °C, 2 h, ammonium bicarbonate; (iii) NaN3, AlCl3, cooling then reflux 24 h.
Scheme 3. Synthesis of compounds 7af, 8af, 6jl and 6vx. Reagents and conditions: (i) Acetone, K2CO3, tetrabutylammonium bromide, reflux 7 h; (ii) Triflouroacetic anhydride, THF, cooling, 0–5 °C, 2 h, ammonium bicarbonate; (iii) NaN3, AlCl3, cooling then reflux 24 h.
Ijms 15 16911 g003

2.2. Anticonvulsant Activity

The test compounds 6ax were subjected to preliminary anticonvulsant evaluation (Phase I screening) according to the protocol given by the Epilepsy Section of the National Institute of Neurological Disorders and Stroke (NINIDS) using the standard procedure adopted by the Antiepileptic Drug Development (ADD) program [17]. Those include the ‘gold standard’ screens, namely subcutaneous Pentylenetetrazole (scPTZ) screen and the maximal electroshock seizure (MES) screen. The former screen identifies compounds that elevate seizure threshold while the latter one measures the ability of the test compound to prevent seizure spread. Compounds exhibited 100% protection against induced seizures, were subjected to median effective dose (ED50) estimation and minimal motor impairment (neurotoxicity) evaluation.
It has been indicated that PTZ-induced seizures can be prevented by drugs that reduce T-type Ca2+ currents such as Ethosuximide and also by drugs that enhance gamma amino butyric acid type A (GABAA) receptor-mediated inhibitory neurotransmission such as Phenobarbital [18].
The results of the initial anticonvulsant screening of the test compounds 6ax are given in Table 1. The evaluation indicated that, all the compounds were effective in scPTZ screen while most of them were effective in MES screen. scPTZ screen showed that, compound 6g (R1 = 4-OCH3 and R2 = -CH2COOCH3) was the most potent congener in the cyclopentane series 6al, displaying 100% protection against PTZ-induced seizure at dose level of 0.0086 mmol/kg as compared with Phenobarbital (0.13 mmol/kg) and Ethosuximide (1.06 mmol) which were used as reference standards.
Meanwhile, compound 6b (R1 = H, R2 = CH2-Ph) and compound 6d (R1 = 4-CH3, R2 = -CH2COOCH3) exerted equal anticonvulsant activity (100% protection) at a dose level of 0.018 mmol/kg. Moreover, all compounds of the cyclopentane series 6al were more potent than the reference drugs as they showed the same anti-seizure profile (100% protection) at lower doses on molecular bases (Table 1). The different congeners of this series showed anticonvulsant potential in the following decreasing order:
6g > 6b = 6d > 6i > 6a > 6e = 6f > 6k > 6c > 6j > 6l > 6h
Table 1. Anticonvulsant potential (scPTZ and MES screens) of compounds 6ax as well as the reference standards, Phenobarbital, Ethosuximide and Diphenylhydantoin in adult male albino mice.
Table 1. Anticonvulsant potential (scPTZ and MES screens) of compounds 6ax as well as the reference standards, Phenobarbital, Ethosuximide and Diphenylhydantoin in adult male albino mice.
Compound Nr.Dose (mmol/kg) *% Protection
scPTZMES
6a0.028010050
6b0.018010050
6c0.057010060
6d0.018010050
6e0.0320100100
6f0.032010060
6g0.008610060
6h0.130010060
6i0.023010033
6j0.060010020
6k0.035010040
6l0.07801000
6m0.036010033
6n0.140010066
6o0.270010050
6p0.14001000
6q0.069010080
6r0.03101000
6s0.03501000
6t0.03101000
6u0.250083.333
6v0.047010060
6w0.056010040
6x0.032010060
Phenobarbital0.1300100-
Ethosuximide1.0600100-
Diphenylhydantoin 0.1600-100
* The minimal dose which exhibits the maximum anticonvulsant activity; The dash (-) indicates the absence of anticonvulsant activity at the tested dose level.
Regarding the cyclohexane series 6m-x, compounds 6r (R1 = 4-CH3, R2 = -CH2CH2Ph) and 6t (R1 = 4-OCH3, R2 = -CH2Ph) exhibited the highest anticonvulsant potential with 100% protection against PTZ-induced seizures in mice at the same dose level of 0.031 mmol/kg. Meanwhile, compound 6o (R1 = H, R2 = -CH2CH2Ph) and compound 6u (R1 = 4-OCH3, R2 = -CH2CH2Ph) require high doses to achieve the 100% protection (0.27 and 0.25 mmol/kg, respectively).
The different congeners of the cyclohexane series 6mx showed a decrease in the anticonvulsant potential in the following decreasing order:
6r = 6t > 6x > 6s > 6m > 6v > 6w > 6q > 6n = 6p > 6u > 6o
Concerning the MES test, the dose which exerted 100% anticonvulsant protection in the scPTZ screening has been selected. In this screening test, all of the compounds showed protection in half or more of the tested mice after 0.5 h post administration except compounds 6i, 6j, 6k, 6m, 6u and 6w. On the other hand, compounds 6l, 6p, 6r, 6s and 6t were devoid from anticonvulsant activity. Meanwhile, 6e (R1 = 4-CH3, R2 = -CH2Ph) exhibited 100% protection at dose level of 0.032 mmol/kg being more potent than the reference drug, Diphenylhydantoin, which exerted the same protection at a dose level of 0.16 mmol/kg. It is worthwhile to mention that, compound 6e displayed 100% protection against both scPTZ and MES-induced seizures in mice.
Compounds showed 100% protection in scPTZ and/or MES screens, were subjected to median effective dose (ED50) estimation as well as to minimal motor impairment (neurotoxicity) evaluation. Table 2 summarizes ED50 of the selected test compounds along with their neurotoxicity evaluation. Compound 6g gave an ED50 of 0.0043 mmol/kg ≡ 1.5 mg/kg in the scPTZ screen being about 14 and 214 fold more potent than the reference drugs, Phenobarbital (ED50 = 0.06 mmol/kg ≡ 13.2 mg/kg) and Ethosuximide (ED50 = 0.92 mmol/kg ≡ 130 mg/kg), respectively. In the MES screen, only compound 6e showed 100% protection against induced seizures with ED50 of 0.019 mmol/kg ≡ 7.0 mg/kg being about 1.8 fold more potent than that of the reference drug, Diphenylhydantoin (ED50 = 0.034 mmol/kg ≡ 9.5 mg/kg [19]). Interestingly, all the test compounds did not show any minimal motor impairment at the maximum administered dose in the neurotoxicity screen.
Table 2. Median effective dose (ED50, mg/kg) of compounds 6at and 6vx exhibiting 100% protection against scPTZ-induced seizers and their neurotoxicity in adult male albino mice using Phenobarbital and Ethosuximide as reference standards.
Table 2. Median effective dose (ED50, mg/kg) of compounds 6at and 6vx exhibiting 100% protection against scPTZ-induced seizers and their neurotoxicity in adult male albino mice using Phenobarbital and Ethosuximide as reference standards.
Compound Nr.ED50 (Confidence Limits)Neurotoxicity *
6a4.5 (6.85–2.96)0/6
6b2.5 (3.56–1.76)0/6
6c11.5 (13.66–9.68)0/6
6d2.4 (4.10–1.40)0/6
6e **6.0 (7.95–4.53)0/6
6f2.5 (2.84–2.20)0/6
6g1.5 (2.40–0.94)0/6
6h19.0 (25.24–14.30)0/6
6i4.2 (6.82–2.59)0/6
6j13.5 (15.38–11.85)0/6
6k6.5 (8.44–4.27)0/6
6l16.5 (19.65–13.85)0/6
6m4.0 (6.92–2.31)0/6
6n25.0 (33.35–18.74)0/6
6o35.0 (66.42–18.44)0/6
6p24.0 (32.24–17.87)0/6
6q10.0 (13.67–7.32)0/6
6r4.0 (6.14–2.60)0/6
6s6.0 (8.79–4.09)0/6
6t6.0 (8.44–4.27)0/6
6v6.5 (11.89–3.55)0/6
6w12.0 (15.42–9.34)0/6
6x6.0 (11.00–3.27)0/6
Phenobarbital13.2 (15.90–6.80)ND
Ethosuximide130.0 (111–150)ND
* Rotarod test: number of animals exhibiting neurotoxicity/number of animals tested; ** ED50 in MES screen = 7.0 mg/kg; ND: not determined.

3. Experimental Section

3.1. Chemistry

All melting points were determined using Electrothermal Capillary melting point apparatus and are uncorrected. Infrared (IR) spectra were recorded as thin film (for oils) in NaCl discs or as KBr pellets (for solids) with JASCO FT/IR-6100 spectrometer and values are represented in cm1. 1H-NMR (500 MHz) and 13C-NMR (125 MHz) spectra were carried out on Jeol ECA 500 MHz spectrometer using TMS as internal standard and chemical shift values were recorded in ppm on δ scale. The 1H-NMR data were represented as follows: chemical shifts, multiplicity (s. singlet, d. doublet, t. triplet, m. multiplet, br. broad), number of protons, and type of protons. The 13C-NMR data were represented as chemical shifts and type of carbons. Mass spectral data were obtained with electron impact (EI) ionization technique at 70 eV from a Finnigan Mat SSQ-7000 Spectrometer. Elemental analyses were carried out in Microanalytical Units at National Research Centre and Cairo University. Silica gel TLC (thin layer chromatography) cards from Merck (silica gel precoated aluminum cards with fluorescent indicator at 254 nm) were used for thin layer chromatography. Visualization was performed by illumination with UV light source (254 nm). Column chromatography was carried out on silica gel 60 (0.063–0.200 mm) obtained from Merck.

3.1.1. General Procedure for the Synthesis of 1-(Arylamino)cycloalkanecarbonitriles (1af)

A solution of potassium cyanide (9.75 g, 0.15 mol) in water (25 mL) was added drop-wise to a solution of cycloalkanone (0.15 mol) and the appropriate aniline derivative (0.15 mol) in glacial acetic acid (75 mL). The reaction mixture was stirred mechanically at room temperature for 24 h. The precipitated product was filtered off, washed with water, dried and recrystallized from petroleum ether (40–60 °C) to afford 1af. The spectral data of compounds 1af were consistent with the published ones (cited below).
1-(Phenylamino)cyclopentanecarbonitrile (1a) [20]. Yield: 92%; white solid, m.p. 60 °C.
1-[(4-Methylphenyl)amino]cyclopentanecarbonitrile (1b) [21]. Yield: 89%; buff solid, m.p. 56 °C.
1-[(4-Methoxyphenyl)amino]cyclopentanecarbonitrile (1c) [22]. Yield: 80%; brown solid, m.p. 132 °C.
1-(Phenylamino)cyclohexanecarbonitrile (1d) [23]. Yield: 75%; white solid, m.p. 74–76 °C.
1-[(4-Methylphenyl)amino]cyclohexanecarbonitrile (1e) [24]. Yield: 75%; yellowish white solid, m.p. 76–78 °C.
1-[(4-Methoxyphenyl)amino]cyclohexanecarbonitrile (1f) [24]. Yield: 84.5%; buff solid, m.p. 76 °C.

3.1.2. General Procedure for the Synthesis of 1-(Arylamino)cycloakanecarboxamides (2af)

The appropriate nitrile derivative 1af (0.125 mol) was dissolved in cold concentrated sulfuric acid (20 mL). After remaining at room temperature for 48 h, the reaction mixture was poured over crushed ice and rendered alkaline with 25% ammonium hydroxide solution. The precipitated amide was filtered off, washed with water, dried and recrystallized from ethanol to give 2af. The spectral data of compounds 2af were consistent with the published ones (cited below).
1-(Phenylamino)cyclopentanecarboxamide (2a) [25]. Yield: 90%; white solid, m.p. 166 °C.
1-[(4-Methylphenyl)amino]cyclopentanecarboxamide (2b) [26]. Yield: 85%; buff solid, m.p. 120 °C.
1-[(4-Methoxyphenyl)amino]cyclopentanecarboxamide (2c) [27]. Yield: 50%; buff solid, m.p. 90–93 °C.
1-(Phenylamino)cyclohexanecarboxamide (2d) [24]. Yield: 85%; white solid, m.p. 148 °C.
1-[(4-Methylphenyl)amino]cyclohexanecarboxamide (2e) [27]. Yield: 85%; white solid, m.p. 154 °C.
1-[(4-Methoxyphenyl)amino]cyclohexanecarboxamide (2f) [27]. Yield: 75%; buff solid, m.p. 110 °C.

3.1.3. General Procedure for the Synthesis of 1-[(Aryl)(cyanomethyl)amino]cycloalkanecarboxamides (3af)

Paraformaldehyde (1.52 g, 0.05 mol) was added to a solution of the appropriate 1-(arylamino)cycloakanecarboxamides (2af) (0.05 mol) in glacial acetic acid (30 mL). A solution of potassium cyanide (3.9 g, 0.06 mol) was added drop-wise to the stirred and cooled (15 °C) reaction mixture. The temperature was raised gradually to 45 °C over 30 min and was maintained at 50–60 °C for 3 h. After cooling to 35 °C, a 37% formaldehyde solution (5 mL) was added and the reaction mixture was stirred at room temperature for 18 h. Water (30 mL) was added, the reaction mixture was cooled and neutralized with 10% sodium carbonate solution. The precipitated product was extracted with CH2Cl2 (3 × 50 mL), washed with water (2 × 30 mL), dried (Na2SO4) and evaporated under vacuum to give the anticipated compounds 3af. The crude 3af were pure enough to be used in the following step without any further purification. The spectral data of compounds 3af were consistent with the published ones (cited below).
1-[(Cyanomethyl)(phenyl)amino]cyclopentanecarboxamide (3a) [16]. Yield: 78%; pale yellow viscous oil.
1-[(Cyanomethyl)(4-methylphenyl)amino]cyclopentanecarboxamide (3b) [16]. Yield: 86.6%; pale yellow viscous oil.
1-[(Cyanomethyl)(4-methoxyphenyl)amino]cyclopentanecarboxamide (3c) [16]. Yield: 80%; pale yellow viscous oil.
1-[(Cyanomethyl)(phenyl)amino]cyclohexanecarboxamide (3d) [16]. Yield: 85%; yellowish white solid, m.p. 135 °C.
1-[(Cyanomethyl)(4-methylphenyl)amino]cyclohexanecarboxamide (3e) [16]. Yield: 95%; buff solid, m.p. 83 °C.
1-[(Cyanomethyl)(4-methoxyphenyl)amino]cyclohexanecarboxamide (3f) [16]. Yield: 97%; buff solid, m.p. 103 °C.

3.1.4. General Procedure for the Synthesis of [(Aryl)(1-carbamoylcycloalkyl)amino]acetic Acids (4af)

A mixture of the appropriate cyanomethyl derivative 3af (0.01 mol) and NaOH (0.48 g, 0.012 mol) in 50% aqueous ethanol (25 mL) was stirred under reflux for 18 h, utill complete evolution of ammonia was ceased. The ethanol was removed by evaporation under vacuum. The residue was extracted with ethyl acetate (2 × 15 mL) and the aqueous layer was acidified with 2 N HCl. The acidic layer was extracted with ethyl acetate (3 × 15 mL), dried (Na2SO4) and evaporated under reduced pressure to yield compounds 4af. The crude 4af were pure enough to be used in the following step without any further purification. The spectral data of compounds 4af were consistent with the published ones (cited below).
[(1-Carbamoylcyclopentyl)(phenyl)amino]acetic acid (4a) [16]. Yield: 85%; white solid, m.p. 120–121 °C.
[(1-Carbamoylcyclopentyl)(4-methylphenyl)amino]acetic acid (4b) [16]. Yield: 80%; yellowish white solid, m.p. 118 °C.
[(1-Carbamoylcyclopentyl)(4-methoxyphenyl)amino]acetic acid (4c) [16]. Yield: 70%; buff solid, m.p. 105 °C.
[(1-Carbamoylcyclohexyl)(phenyl)amino]acetic acid (4d) [16]. Yield: 70%; white solid, m.p. 186 °C.
[(1-Carbamoylcyclohexyl)(4-methylphenyl)amino]acetic acid (4e) [16]. Yield: 80%; buff solid, m.p. 188 °C.
[(1-Carbamoylcyclohexyl)(4-methoxyphenyl)amino]acetic acid (4f) [16]. Yield: 70%; buff solid, m.p. 163 °C.

3.1.5. General Procedure for the Synthesis of 6-Aryl-6,9-diazaspiro-[4.5]decane-8,10-diones (5ac) and 1-Aryl-1,4-diazaspiro[5.5]undecane-3,5-diones (5df)

4 N HCl (40 mL, 0.16 mol) was added to a solution of the appropriate carboxylic acid derivative 4af (0.01 mol) and ethylenediamine (3.61 g, 0.06 mol) in dioxan (60 mL). The reaction mixture was refluxed under stirring for 18 h. The solvent was evaporated in vacuo and the residue was neutralized (pH 6–7) with 5% NaHCO3 solution utill no effervescence occured, extracted with CH2Cl2 (3 × 20 mL), dried (Na2SO4) and the organic layer was evaporated under reduced pressure to give compounds 5af. The crude 5af were pure enough to be used in the following step without any further purification. The spectral data of compounds 5af were consistent with the published ones (cited below).
6-Phenyl-6,9-diazaspiro[4.5]decane-8,10-dione (5a) [16]. Yield: 50%; white solid, m.p. 73–74 °C.
6-(4-Methylphenyl)-6,9-diazaspiro[4.5]decane-8,10-dione (5b) [16]. Yield: 60%; white solid, m.p. 88 °C.
6-(4-Methoxyphenyl)-6,9-diazaspiro[4.5]decane-8,10-dione (5c) [16]. Yield: 50%; buff solid m.p. 60 °C.
1-Phenyl-1,4-diazaspiro[5.5]undecane-3,5-dione (5d) [16]. Yield: 80%; white solid, m.p. 162 °C.
1-(4-Methylphenyl)-1,4-diazaspiro[5.5]undecane-3,5-dione (5e) [16]. Yield: 85%; white solid, m.p. 183 °C.
1-(4-Methoxyphenyl)-1,4-diazaspiro[5.5]undecane-3,5-dione (5f) [16]. Yield: 60%; buff solid, m.p. 110 °C.

3.1.6. General Procedure for the Synthesis of 6-Aryl-9-substituted-6,9-diazaspiro-[4.5]decane-8,10-diones (6ai) and 1-Aryl-4-substituted-1,4-diazaspiro[5.5]undecane-3,5-diones (6mu)

To a mixture of the appropriate diketopiperazine derivative 5af (0.01 mol) in acetone (100 mL), was added the proper alkylating agent (0.07 mol), namely methyl bromoacetate, benzyl chloride or phenethylbromide in the presence of K2CO3 (1.38 g, 0.01 mol) and a catalytic amount of tetrabutylammoniun bromide (0.32 g, 0.001 mol) as a phase transfer catalyst. The reaction mixture was heated under reflux for 7 h, cooled to room temperature, filtered and the filtrate was evaporated under vacuum. The residue was purified using column chromatography (chloroform:ethyl acetate, 9:1) to furnish the target compounds 6ai and 6mu.
Methyl 2-(8,10-dioxo-6-phenyl-6,9-diazaspiro[4.5]decane-9-yl)acetate (6a). Yield: 65%; yellow viscous oil; IR (KBr, ν, cm−1) absence of NH band at 3100 and exhibited bands at 1752 (carbonyl ester), 1720, 1685 (imide carbonyls), 609, 557; 1H-NMR (CDCl3) δ ppm 1.80 (br.s, 4H, 2 × CH2, cyclopentyl), 2.00–2.37 (m, 4H, 2 × CH2, cyclopentyl), 3.76 (s, 3H, COOCH3), 4.32 (s, 2H, O=C-CH2-N), 4.58 (s, 2H, N-CH2-COO), 7.02–7.32 (m, 5H, Har.); 13C-NMR (CDCl3) δ ppm 25.08, 36.25 (4 × CH2, cyclopentyl), 40.12 (CH2-COOCH3), 52.59, 56.59 (O=C-CH2-N, COOCH3), 69.65 (Cq), 124.82, 128.48, 129.32 (CHar.), 148.71 (Car.), 169.91, 170.11, 176.18 (3 × C=O); MS (EI) m/z (%): 316.2 ([M]+, 17), 91 (100), 172.2 (90); Anal. Calcd for C17H20N2O4 (316.35): C, 64.54%; H, 6.37%; N, 8.86%. Found: C, 64.51%; H, 6.15%; N, 8.66%.
9-Benzyl-6-phenyl-6,9-diazaspiro[4.5]decane-8,10-dione (6b). Yield: 60%; Yellow viscous oil; IR (KBr, ν, cm−1) absence of NH band at 3100 and exhibited bands at 1725, 1678 (imide carbonyls), 604, 555; 1H-NMR (CDCl3) δ ppm 1.79–2.30 (m, 8H, 4 × CH2, cyclopentyl), 4.27 (s, 2H, O=C-CH2-N), 5.10 (s, 2H, CH2-C6H5), 6.85–6.86 (m, 2H, Har.), 7.05–7.17 (m, 3H, Har.), 7.30–7.34 (m, 5H, Har.); 13C-NMR (CDCl3) δ ppm 25.50, 36.70 (4 × CH2, cyclopentyl), 42.6 (CH2-C6H5), 56.91 (O=C-CH2-N), 67.27 (Cq), 124.71, 126.96, 127.49, 128.21, 128.40, 129.42 (CHar.), 136.81, 148.76 (2 × Car.), 170.33, 176.00 (2 × C=O); MS (EI) m/z (%): 334.3 ([M]+, 15), 91 (100), 77.1 (40); Anal. Calcd. for C21H22N2O2 (334.41): C, 75.42%; H, 6.63%; N, 8.38%. Found: C, 75.32%; H, 6.61%; N, 8.17%.
9-Phenethyl-6-phenyl-6,9-diazaspiro[4.5]decane-8,10-dione (6c). Yield: 71.5%; yellow viscous oil; IR (KBr, ν, cm−1) absence of NH band at 3100 and exhibited bands at 1725, 1677 (carbonyl imides), 575, 500; 1H-NMR (CDCl3) δ ppm 1.77 (br.s, 4H, 2 × CH2, cyclopentyl), 1.96 (s, 2H, CH2, cyclopentyl), 2.25 (s, 2H, CH2, cyclopentyl), 2.85 (t, 2H, J = 7.5 Hz, CH2-C6H5) , 4.09 (t, 2H, J = 7.5 Hz, CH2-CH2-C6H5), 4.24 (s, 2H, O=C-CH2-N), 6.95–7.12 (m, 3H, Har.), 7.26–7.32 (m, 7H, Har.); 13C-NMR (CDCl3) δ ppm 25.05, 33.92 (4 × CH2, cyclopentyl), 36.59, 40.53 (CH2-C6H5, CH2-CH2-C6H5), 56.92 (O=C-CH2-N), 63.71 (Cq), 124.53, 124.62, 126.52, 128.45, 128.61, 129.05 (CHar.), 138.27, 148.82 (2 × Car.), 170.03, 175.97 (2 × C=O); MS (EI) m/z (%): 348.23 ([M]+, 22), 91 (100), 172.1 (65), 229 (65), Anal. Calcd. for C22H24N2O2 (348.44): C, 75.38%; H, 6.94%; N, 8.04%. Found: C, 75.41%; H, 6.91%; N, 8.23%.
Methyl 2-(8,10-dioxo-6-(4-methylphenyl)-6,9-diazaspiro[4.5]decane-9-yl)acetate (6d). Yield: 79%; yellow viscous oil; IR (KBr, ν, cm−1) absence of NH band at 3100 and exhibited bands at 1752 (carbonyl ester), 1722, 1686 (imide carbonyls), 607, 564; 1H-NMR (CDCl3) δ ppm 1.73–1.77 (m, 8H, 4 × CH2, cyclopentyl), 2.29 (s, 3H, CH3), 3.75 (s, 3H, COOCH3), 4.23 (s, 2H, O=C-CH2-N), 4.65 (s, 2H, CH2-COOCH3), 6.91 (d, 2H, J = 8.6 Hz, Har), 7.05 (d, 2H, J = 8.6 Hz, Har.); 13C-NMR (CDCl3) δ ppm 21.31 (CH3), 25.62, 36.85 (4 × CH2, cyclopentyl), 40.16 (CH2-COOCH3), 52.53, 56.89 (O=C-CH2-N, COOCH3), 69.81 (Cq), 124.90, 130.57, (CHar.), 134.56, 146.22 (2 × Car.), 170.17, 176.01 (2 × C=O); MS (EI) m/z (%): 330.24 ([M]+, 24), 105.1(100), 186.2 (53); Anal. Calcd. for C18H22N2O4 (330.38): C, 65.44%; H, 6.71%; N, 8.48%. Found: C, 65.21%; H, 6.63%; N, 8.38%.
9-Benzyl-6-(4-methylphenyl))-6,9-diazaspiro[4.5]decane-8,10-dione (6e). Yield: 90%; colourless viscous oil; IR (KBr, ν, cm−1) absence of NH band at 3100 and exhibited bands at 1725, 1678 (imide carbonyls), 634, 582; 1H-NMR (CDCl3) δ ppm 1.75–1.91 (m, 8H, 4 × CH2, cyclopentyl), 2.23 (s, 3H, CH3), 4.20 (s, 2H, O=C-CH2-N), 5.01 (s, 2H, CH2-C6H5), 6.71 (d, 2H, J = 8.6 Hz, Har.), 7.25 (d, 2H, J = 8.6 Hz, Har.), 7.27–7.33 (m, 5H, Har.); 13C-NMR (CDCl3) δ ppm 20.85 (CH3), 25.12, 36.71 (4 × CH2, cyclopentyl), 42.72 (CH2-C6H5), 56.89 (O=C-CH2-N), 69.97 (Cq), 124.98, 127.57, 128.50, 128.94, 129.76 (CHar.), 134.57, 136.92, 146.27 (3 × Car.), 170.59, 176.19 (2 × C=O); MS (EI) m/z (%): 364.26 ([M]+, 28), 91(100), 105 (98); Anal. Calcd. for C22H24N2O3 (364.44): C, 72.50%; H, 6.64%; N, 7.69%. Found: C, 72.43%; H, 6.75%; N, 7.81%.
6-(4-Methylphenyl)-9-phenethyl-6,9-diazaspiro[4.5]decane-8,10-dione (6f). Yield: 71.2%; yellow viscous oil; IR (KBr, ν, cm−1) absence of NH band at 3100 and exhibited bands at 1725, 1678 (imide carbonyls), 646, 606; 1H-NMR (CDCl3) δ ppm 1.73–2.17 (m, 8H, 4 × CH2, cyclopentyl), 2.20–2.27 (m, 3H, CH3), 2.84 (t, J = 7.7 Hz, 2H, CH2-C6H5), 4.04 (t, 2H, J = 7.7 Hz, CH2-CH2), 4.16 (s, 2H, O=C-CH2-N), 7.21 (d, 2H, J = 6.7 Hz, Har.), 7.24 (d, 2H, J = 6.7 Hz, Har.), 7.25–7.26 (m, 5H, Har.); 13C-NMR (CDCl3) δ ppm 20.83 (CH3), 25.09, 34.08, (4 × CH2, cyclopentyl), 36.59, 40.58 (CH2-C6H5, CH2-CH2-C6H5), 56.90 (O=C-CH2-N), 69.88 (Cq), 124.63, 126.56, 128.68, 128.68, 129.13 (CHar.), 134.40, 138.39, 146.30 (3 × Car.), 170.30, 176.18 (2 × C=O); MS (EI) m/z (%): 362.2 ([M]+, 15), 81(100); Anal. Calcd. for C23H26N2O2 (362.46): C, 76.21%; H, 7.23%; N, 7.73%. Found: C, 76.02%; H, 7.15%; N, 7.89%.
Methyl 2-(6-(4-methoxyphenyl)-8,10-dioxo-6,9-diazaspiro[4.5]decan-9-yl)acetate (6g). Yield: 71.4%; yellow viscous oil; IR (KBr, ν, cm−1) absence of NH band at 3100 and exhibited bands 1752 (carbonyl ester), 1720, 1685 (imide carbonyls), 609, 557; 1H-NMR (CDCl3) δ ppm 1.79–1.82 (m, 4H, 2 × CH2, cyclopentyl), 2.25–2.28 (m, 4H, 2 × CH2, cyclopentyl), 3.82 (s, 6H, COOCH3, OCH3), 4.25 (s, 2H, O=C-CH2-N), 4.61 (s, 2H, CH2-COOCH3), 6.83 (d, 2H, J = 9.0 Hz, Har.), 7.12 (d, 2H, J = 9.0 Hz, Har.); 13C-NMR (CDCl3) δ ppm 24.95, 36.24 (4 × CH2, cyclopentyl), 40.19 (CH2-COOCH3), 51.97, 52.44, 55.45 (O=C-CH2-N, COOCH3, OCH3), 70.68 (Cq), 114.40, 114.99 (CHar.), 133.40, 157.42, (2 × Car.), 169.69, 170.59, 176.19 (3 × C=O); MS (EI) m/z (%): 346.23 ([M]+, 17), 121.14 (100), 77.1 (29); Anal. Calcd. for C18H22N2O5 (346.38): C, 62.42%; H, 6.40%; N, 8.09%. Found: C, 62.22%; H, 6.35%; N, 8.22%.
9-Benzyl-6-(4-methoxyphenyl)-6,9-diazaspiro[4.5]decane-8,10-dione (6h). Yield: 90%; yellow viscous oil; IR (KBr, ν, cm−1) absence of NH band at 3100 and exhibited bands at 1725, 1678 (imide carbonyls), 634, 582; 1H-NMR (CDCl3) δ ppm 1.78 (br.s, 4H, 2 × CH2, cyclopentyl), 1.92–2.21 (m, 4H, 2 × CH2, cyclopentyl), 3.78 (s, 3H, OCH3), 4.17 (s, 2H, O=C-CH2-N), 5.51 (s, 2H, CH2-C6H5), 6.67 (d, 2H, J = 8.5 Hz, Har.), 6.75 (d, 2H, J = 8.5 Hz, Har.), 7.28–7.39 (m, 5H, Har.); 13C-NMR (CDCl3) δ ppm 25.58, 36.40 (4 × CH2, cyclopentyl), 39.0 (CH2-C6H5), 42.63 (O=C-CH2-N), 55.48 (OCH3), 73.15 (Cq), 114.27, 114.96, 126.50, 127.54, 128.18 (CHar.), 135.47, 136.78, 141.35 (3 × Car.), 170.43, 172.47 (2 × C=O); MS (EI) m/z (%): 364.2 ([M]+, 28), 91(100), 121 (85); Anal. Calcd. for C22H24N2O3 (364.44): C, 72.50%; H, 6.64%; N, 7.96%. Found: C, 72.33%; H, 6.46%; N, 7.79%.
6-(4-Methoxyphenyl)-9-phenethyl-6,9-diazaspiro[4.5]decane-8,10-dione (6i). Yield: 90%; yellow viscous oil; IR (KBr, ν, cm−1) absence of NH band at 3100 and exhibited bands 1722, 1687 (imide carbonyls), 634, 582; 1H-NMR (CDCl3) δ ppm 1.64–1.83 (m, 8H, 4 × CH2, cyclopentyl), 2.79 (t, 3H, J = 8.0 Hz, CH2-CH2-C6H5)), 3.68 (s, 2H, CH2-CH2-C6H5), 3.99 (s, 3H, OCH3), 4.02 (s, 2H, O=C-CH2-N), 6.68 (d, 2H, J = 9.0 Hz, Har.), 6.79 (d, 2H, J = 9.0 Hz, Har.), 7.28–7.39 (m, 5H, Har.); 13C-NMR (CDCl3) δ ppm 24.94, 36.40 (4 × CH2, cyclopentyl), 39.08, 42.63 (CH2-C6H5, O=C-CH2-N), 44.75 (CH2-CH2-C6H5), 55.41 (OCH3), 73.15 (Cq), 114.27, 114.96, 126.50, 128.17, 129.00 (CHar.), 135.47, 136.78, 141.35 (3 × Car.), 170.43, 172.47 (2 × C=O); MS (EI) m/z (%): 378.24 ([M]+, 40), 121 (100); Anal. Calcd. for C23H26N2O3 (378.46): C, 72.99%; H, 6.92%; N, 7.40%. Found: C, 72.66%; H, 6.99%; N, 7.58%.
Methyl 2-(3,5-dioxo-1-phenyl-1,4-diazaspiro[5.5]undecane-4-yl)acetate (6m). Yield: 78%; white solid m.p. 118 °C; IR (KBr, ν, cm−1) absence of NH band at 3100 and exhibited bands at 1760 (carbonyl ester), 1726, 1675 (imide carbonyls), 633, 588; 1H-NMR (CDCl3) δ ppm 1.41–2.00 (m, 10H, 5 × CH2, cyclohexyl), 3.72 (s, 3H, COOCH3), 4.11 (s, 2H, O=C-CH2-N), 4.56 (s, 2H, CH2-COOCH3), 7.12–7.25 (m, 5H, CHar.); 13C-NMR (CDCl3) δ ppm 20.46, 25.52, 31.48 (5 × CH2, cyclohexyl), 40.19 (CH2-COOCH3), 59.11 (O=C-CH2-N), 60.59 (Cq), 126.01, 127.28, 129.36 (CHar.), 147.95 (Car.), 168.46, 170.56, 176.27 (3 × C=O); MS (EI) m/z (%): 330.1 ([M]+, 80), 186.2 (100), 91.1 (49); Anal. Calcd. for C18H22N2O4: C, 65.44%; H, 6.71%; N, 8.48%. Found: C, 65.52%; H, 6.68%; N, 8.31%.
4-Benzyl-1-phenyl-1,4-diazaspiro[5.5]undecane-3,5-dione (6n). Yield: 80%; colourless viscous oil; IR (KBr, ν, cm−1) absence of NH band at 3100 and exhibited bands at 1725, 1678 (imide carbonyls), 634, 582; 1H-NMR (CDCl3) δ ppm 1.48–1.97 (m, 10H, 5 × CH2, cyclohexyl), 4.11 (s, 2H, O=C-CH2-N), 5.03 (s, 2H, CH2-C6H5), 6.86 (s, 2H, CHar.), 6.86–7.13 (m, 5H, CHar.), 7.38–7.39 (m, 5H, CHar.); 13C-NMR (CDCl3) δ ppm 20.53, 25.63, 31.57 (5 × CH2, cyclohexyl)), 42.66, 55.37 (CH2-C6H5, O=C-CH2-N), 60.71 (Cq), 125.84, 127.08, 128.52, 129.17, 129.31, 129.76 (CHar.), 136.94, 148.06 (2 × Car.), 170.94, 176.42 (2 × C=O); MS (EI) m/z (%): 348.2 ([M]+, 100), 186.2 (70), 91.1 (58); Anal. Calcd. for C22H24N2O2 (348.44): C, 75.83%; H, 6.94%; N, 8.04%. Found: C, 75.78%; H, 6.88%; N, 8.27%.
4-Phenethyl-1-phenyl-1,4-diazaspiro[5.5]undecane-3,5-dione (6o). Yield: 64.5%; buff solid, m.p. 138 °C; IR (KBr, ν, cm−1) absence of NH band at 3100 and exhibited bands at 1720, 1681 (imide carbonyls), 592, 555; 1H-NMR (CDCl3) δ ppm 1.48–1.96 (m, 10H, 5 × CH2, cyclohexyl), 2.87 (t, 2H, J = 7.6 Hz, CH2-C6H5), 4.08 (s, 2H, CH2CH2-C6H5), 4.12 (s, 2H, O=C-CH2-N), 6.99–7.00 (m, 2H, Har.), 7.23–7.29 (m, 8H, Har.); 13C-NMR (CDCl3) δ ppm 20.57, 25.63, 31.56 (5 × CH2, cyclohexyl), 34.12, 40.61 (CH2-C6H5, CH2-CH2-C6H5), 55.36 (O=C-CH2-N), 60.48 (Cq), 125.78, 126.61, 126.92, 128.56, 129.12, 129.40 (CHar.), 138.39, 148.20 (2 × Car.), 170.74, 176.56 (2 × C=O); MS (EI) m/z (%): 362.2 ([M]+, 100), 243.1 (90), 186.1 (70), 91.1 (48); Anal. Calcd. for C23H26N2O2 (362.46): C, 76.21%; H, 7.23%; N, 7.73%. Found: C, 76.41%; H, 7.42%; N, 7.91%.
Methyl 2-(3,5-dioxo-1-(4-methylphenyl)-1,4-diazaspiro[5.5]undecan-4-yl)acetate (6p). Yield: 75%; white solid, m.p. 156–158 °C; IR (KBr, ν, cm−1) absence of NH band at 3100 and exhibited bands at 1752 (carbonyl ester), 1726, 1675 (imide carbonyls), 619, 523; 1H-NMR (CDCl3) δ ppm 1.49–1.98 (m, 10H, 5 × CH2, cyclohexyl), 2.28 (s, 3H, CH3), 3.77 (s, 3H, COOCH3), 3.79 (s, 2H, O=C-CH2-N), 4.58 (s, 2H, CH2-COOCH3), 7.07 (s, 4H, Har.); 13C-NMR (CDCl3) δ ppm 20.94, 21.15, 31.53 (5 × CH2, cyclohexyl), 24.35 (CH3), 40.19 (CH2-COOCH3), 52.48, 54.98 (O=C-CH2-N, CH2COOCH3), 60.79 (Cq), 127.08, 129.99 (CHar.), 135.81, 145.32 (2 × Car.), 168.48, 170.64, 176.30 (3 × C=O); MS (EI) m/z (%): 344.2 ([M]+, 50), 200.1 (100), 105(37), 91.1(29); Anal. Calcd. for C19H24N2O4 (344.4): C, 66.26%; H, 7.02%; N, 8.13%. Found: C, 66.17%; H, 7.25%; N, 8.31%.
4-Benzyl-1-(4-methylphenyl)-1,4-diazaspiro[5.5]undecane-3,5-dione (6q). Yield: 70%; white solid m.p. 110 °C; IR (KBr, ν, cm−1) absence of NH band at 3100 and exhibited bands at 1717, 1673 (imide carbonyls), 615, 516; 1H-NMR (CDCl3) δ ppm 1.47–1.87 (m, 10H, 5 × CH2, cyclohexyl), 1.92 (s, 3H, CH3), 4.07 (s, 2H, O=C-CH2-N), 5.07 (s, 2H, CH2-C6H5), 6.92 (d, 2H, J = 7.5 Hz, Har.), 7.30 (d, 2H, J = 7.5 Hz, Har.), 7.38-7.40 (m, 5H, Har.); 13C-NMR (CDCl3) δ ppm 20.57, 20.89, 31.60 (5 × CH2, cyclohexyl), 25.62 (CH3), 42.66 (CH2-C6H5), 55.31 (O=C-CH2-N), 60.91 (Cq), 126.91, 127.61, 128.49, 128.68, 129.19 (CHar.), 129.90 130.16, 145.41 (3 × Car.), 170.99, 176.41 (2 × C=O); MS (EI) m/z (%): 362.3 ([M]+, 84), 91.1(100), 200.2 (93); Anal. Calcd. for C23H26N2O2 (362.46): C, 76.21%; H, 7.23%; N, 7.73%. Found: C, 76.31%; H, 7.19%; N, 7.75%.
1-(4-Methylphenyl)-4-phenethyl-1,4-diazaspiro[5.5]undecane-3,5-dione (6r). Yield: 59%; white solid, m.p. 92 °C; IR (KBr, ν, cm−1) absence of NH band at 3100 and exhibited bands at 1719, 1674 (imide carbonyls), 597, 559; 1H-NMR (CDCl3) δ ppm 1.48–1.94 (m, 10H, 5 × CH2, cyclohexyl), 2.25 (s, 3H, CH3), 2.87 (t, J = 7.7 Hz, 2H, CH2-C6H5), 4.04 (s, 2H, CH2-CH2-C6H5), 4.06 (s, 2H, O=C-CH2-N), 7.04 (d, 2H, J = 8.4 Hz, Har.), 7.28 (d, 2H, J = 8.4 Hz, Har.), 7.29–7.30 (m, 5H, Har.); 13C-NMR (CDCl3) δ ppm 20.61, 20.91, 25.63 (5 × CH2, cyclohexyl), 31.58 (CH3), 34.12, 40.58 (CH2-C6H5, CH2-CH2-C6H5), 55.32 (O=C-CH2-NH2), 60.63 (Cq), 126.58, 126.72, 128.53, 129.10, 129.97 (CHar.), 135.53, 138.44, 145.56 (3 × Car.), 170.81, 176.58 (2 × C=O); MS (EI) m/z (%): 376.25 ([M]+, 70), 257.23 (100); Anal. Calcd. for C24H28N2O2 (376.49): C, 76.56%; H, 7.50%; N, 7.44%. Found: C, 76.33%; H, 7.75%; N, 7.29%.
Methyl 2-(1-(4-methoxyphenyl)-3,5-dioxo-1,4-diazaspiro[5.5]undecan-4-yl)acetate (6s). Yield: (53.5%); yellow viscous oil; IR (KBr, ν, cm−1) absence of NH band at 3100 and exhibited bands at 1752 (carbonyl ester), 1626, 1675 (imide carbonyls), 619, 523; 1H-NMR (CDCl3) δ ppm 1.07–1.47 (m, 10H, 5 × CH2, cyclohexyl), 3.61 (s, 3H, COOCH3), 3.73 (s, 3H, OCH3), 4.22 (s, 2H, O=C-CH2-N), 4.64 (s, 2H, CH2-COOCH3), 6.75 (d, 2H, J = 8.6 Hz, Har.), 7.04 (d, 2H, J = 8.6 Hz, Har.); 13C-NMR (CDCl3) δ ppm 22.88, 25.51, 32.94 (5 × CH2, cyclohexyl), 37.70 (CH2COOCH3), 51.84, 52.10 (O=C-CH2-N, CH2COOCH3), 55.24 (OCH3), 67.64 (Cq), 113.38, 127.76 (CHar.), 141.72, 156.29 (2 × Car.), 168.2, 170.13, 178.70 (3 × C=O); MS (EI) m/z (%): 360 ([M]+, 0.5), 218.2 (100), 77 (5); Anal. Calcd. for C19H24N2O5 (360.40): C, 63.32%; H, 6.71%; N, 7.77%. Found: C, 63.33%; H, 6.81%; N, 7.91%.
1-(4-Methoxyphenyl)-4-benzyl-1,4-diazaspiro[5.5]undecane-3,5-dione (6t). Yield: 63%; yellow viscous oil; IR (KBr, ν, cm−1) absence of NH band at 3100 and exhibited bands at 1725, 1675 (imide carbonyls), 615, 516; 1H-NMR (CDCl3) δ ppm 1.41-1.90 (m, 10H, 5 × CH2, cyclohexyl), 2.28 (s, 3H, OCH3), 4.16 (O=C-CH2-N), 4.94 (s, 2H, CH2-C6H5), 6.67 (d, 2H, J = 7.6 Hz, Har.), 6.90 (d, 2H, J = 7.6 Hz, Har.), 7.23–7.29 (m, 5H, Har.); 13C-NMR (CDCl3) δ ppm 20.80, 25.59, 36.66 (5 × CH2, cyclohexyl), 42.66 (CH2-C6H5), 56.84, 59.07 (O=C-CH2-N, OCH3), 69.94 (Cq), 114.35, 124.97, 127.53, 128.46, 128.87 (CHar.), 129.782, 136.89, 146.25 (3 × Car.), 170.62, 176.18 (2 × C=O); MS (EI) m/z (%): 378.4 ([M]+, 7), 91.12 (100); Anal. Calcd. for C23H26N2O3 (378.46): C, 72.99%; H, 6.92%; N, 7.40%. Found: C, 72.75%; H, 6.78%; N, 7.52%.
1-(4-Methoxyphenyl)-4-phenethyl-1,4-diazaspiro[5.5]undecane-3,5-dione (6u). Yield: 66.5%; yellow viscous oil; IR (KBr, ν, cm−1) absence of NH band at 3100 and exhibit bands at 1725, 1685 (imide carbonyls), 671, 538; 1H-NMR (CDCl3) δ ppm 1.23–2.05 (m, 10H, 5 × CH2, cyclohexyl), 2.81 (s, 2H, CH2-C6H5), 3.72 (s, 3H, OCH3), 3.77(s, 2H, CH2-CH2-C6H5), 4.20 (s, 2H, O=C-CH2-N), 6.80–6.81 (m, 5H, Har.), 7.13 (s, 4H, Har.); 13C-NMR (CDCl3) δ ppm 22.78, 22.99, 32.11 (5 × CH2, cyclohexyl), 32.78, 38.02 (CH2-C6H5, CH2-CH2-C6H5), 55.52, 55.70 (O=C-CH2-N, OCH3), 68.20 (Cq), 113.66, 114.60, 117.64, 127.65, 128.23 (CHar.), 138.23, 140.11, 157.74 (3 × Car.), 170.22, 176.11 (2 × C=O); MS (EI) m/z (%): 392.39 ([M]+, 14), 105 (60); Anal. Calcd. for C24H28N2O3 (392.49): C, 73.44%; H, 7.19%; N, 7.14%. Found: C, 73.59%; H, 7.15%; N, 7.24%.

3.1.7. General Procedure for the Synthesis of 2-(6-Aryl-8,10-dioxo-6,9-diazaspiro[4.5]decan-9-yl)acetamides (7ac) and 2-(1-Aryl-3,5-dioxo-1,4-diazaspiro[5.5]undecan-4-yl)acetamides (7df)

Chloroacetamide (6.55 g, 0.07 mol) was added to a cold solution of the appropriate cyclized compound 5af in acetone (100 mL) in the presence of K2CO3 (1.38 g, 0.01 mol) and a catalytic amount of tetrabutylammoniun bromide (0.32 g, 0.001 mol) as a phase transfer catalyst. The reaction mixture was heated under reflux for 7 h. The reaction mixture was filtered off and acetone was evaporated under reduced pressure to give compounds 7af. The crude 7af were purified via recrystallization from ethanol.
2-(8,10-Dioxo-6-phenyl-6,9-diazaspiro[4.5]decan-9-yl)acetamide (7a). Yield: 95%; yellowish white solid m.p. 104 °C; IR (KBr, ν, cm−1) exhibited bands at 3383.14, 3180.62 (NH2), 1674.21, 1647.21, 1614 (3 × C=O); 1H-NMR (CDCl3) δ ppm 1.75–1.96 (m, 6H, 3 × CH2, cyclopentyl), 2.35 (br.s, 2H, CH2-cyclopentyl), 4.05, 4.44 (2 × s, 4H, O=C-CH2-N, CH2-C=O), 5.97 (s, 2H, NH2), 6.51 (s, 3H, Har.), 7.01–7.24 (m, 2H, Har.); 13C-NMR (CDCl3) δ ppm 25.23, 36.73 (4 × CH2, cyclopentyl), 41.36 (CH2-C=O), 56.67 (O=C-CH2-N), 69.83 (Cq), 124.83, 129.30, 131.03 (CHar.), 148.58 (Car.), 169.08, 169.20, 176.02 (3 × C=O); MS (EI) m/z (%): 301.26 ([M]+, 7), 77.11 (100); Anal. Calcd. for C16H19N3O3 (301.34): C, 63.77%; H, 6.36%; N, 13.94%. Found: C, 63.79%; H, 6.35%; N, 13.92%.
2-(8,10-Dioxo-6-(4-methylphenyl)-6,9-diazaspiro[4.5]decan-9-yl)acetamide (7b). Yield: 98%; yellowish white solid m.p. 120 °C; IR (KBr, ν, cm−1) exhibited bands at 3383.14, 3197.98 (NH2), 1658.78, 1645.28, 1620.21 (3 × C=O); 1H-NMR (CDCl3) δ ppm 1.31-1.93 (m, 8H, 4 × CH2, cyclopentyl), 3.73 (s, 3H, CH3), 3.99, 4.48 (2s, 4H, O=C-CH2-N, CH2-C=O), 6.14 (s, 2H, NH2), 6.78 (d, 2H, J = 8.7 Hz, Har.), 7.18 (d, 2H, J = 8.6 Hz, Har.); 13C-NMR (CDCl3) δ ppm 20.55, 31.52 (4 × CH2, cyclopentyl), 25.51 (CH3), 41.37 (CH2-C=O), 55.45 (O=C-CH2-N), 61.26 (Cq), 114.48, 128.67 (CHar.), 140.59, 157.7 (2 × Car.), 169.56, 171.05, 176.44 (3 × C=O); MS (EI) m/z (%): 317.28 ([M + 2]+, 16), 121.16 (100); Anal. Calcd. for C17H21N3O3 (315.37): C, 64.74%; H, 6.71%; N, 13.32%. Found: C, 64.77%; H, 6.69%; N, 13.34%.
2-(8,10-Dioxo-6-(4-methoxyphenyl)-6,9-diazaspiro[4.5]decane-9-yl)acetamide (7c). Yield: 98%; yellowish white solid m.p. 73 °C; IR (KBr, ν, cm−1) exhibited bands at 3383.93, 3294.42 (NH2), 1658.78, 1639.49, 1616.35 (3 × C=O); 1H-NMR (CDCl3) δ ppm 1.02–1.47 (m, 4H, 2 × CH2, cyclopentyl), 1.68–2.26 (m, 4H, 2 × CH2, cyclopentyl), 3.77 (s, 3H, OCH3), 4.10, 4.13 (2 × s, 4H, O=C-CH2-N, CH2-C=O-N), 6.41 (s, 2H, NH2), 6.80 (d, 2H, J = 7.5 Hz, Har.), 7.05 (d, 2H, J = 7.5 Hz, Har.); 13C-NMR (CDCl3) δ ppm 23.87, 36.40 (4 × CH2, cyclopentyl), 42.05 (CH2-C=O), 55.66 (O=C-CH2-N, OCH3), 70.27 (Cq), 114.35, 126.88 (CHar.), 141.71, 157.07 (2 × Car.), 169.26, 169.29, 176.12 (3 × C=O); MS (EI) m/z (%): 331.3 ([M]+, 0.44), 67.17 (100); Anal. Calcd. for C17H21N3O4 (331.37): C, 67.62%; H, 6.39%; N, 12.68%. Found: C, 67.61%; H, 6.37%; N, 12.65%.
2-(3,5-Dioxo-1-phenyl-1,4-diazaspiro[5.5]undecan-4-yl)acetamide (7d). Yield: 97%; yellowish white solid m.p. 110 °C; IR (KBr, ν, cm−1) exhibited bands at 3385.07, 3188.3 (NH2), 1670, 1647.2, 1618.2 (3 × C=O); 1H-NMR (CDCl3) δ ppm 1.18–2.01 (m, 10H, 5 × CH2, cyclohexyl), 4.07, 4.47 (2 × s, 4H, O=C-CH2-N, CH2-C=O), 6.66 (s, 2H, NH2), 7.08-7.13 (m, 5H, Har.); 13C-NMR (CDCl3) δ ppm of 24.03, 25.07, 33.15 (5 × CH2, cyclohexyl), 53.85, 54.93 (CH2-C=O, O=C-CH2-N), 58.92 (Cq), 127.34, 129.07, 129.3 (CHar.), 147.97 (Car.), 169.45, 169.78, 171.27 (3 × C=O); MS (EI) m/z (%): 315.26 ([M]+, 4.7), 58.17 (51), 100.2 (100); Anal. Calcd. for C17H21N3O3 (315.37): C, 64.74%; H, 6.71%; N, 13.32%. Found: C, 64.77%; H, 6.73%; N, 13.35%.
2-(3,5-Dioxo-1-(4-methylphenyl)-1,4-diazaspiro[5.5]undecan-4-yl)acetamide (7e). Yield: 94%; yellowish white solid m.p. 100 °C; IR (KBr, ν, cm−1) exhibited bands at 3456.14, 3383.14 (NH2), 1662.6, 1647.2, 1614.4 (3 × C=O); 1H-NMR (CDCl3) δ ppm of 1.32–1.57 (m, 10H, 5 × CH2, cyclohexyl), 2.18 (s, 3H, CH3) 3.94, 4.50 (2 × s, 4H, O=C-CH2-N, CH2-C=O), 5.97, 6.58 (2 × s, 2H, NH2), 6.98–7.29 (m, 4H, Har.); 13C-NMR (CDCl3) δ ppm 20.35, 22.86, 23.49 (5 × CH2, cyclohexyl), 25.44 (CH3), 41.36 (CH2-C=O), 53.58 (O=C-CH2-N), 60.58 (Cq), 127.16, 135.49 (CHar.), 129.41, 145.36 (2 × Car.), 169.0, 169.50, 176.29 (3 × C=O); MS (EI) m/z (%): 329.32 ([M]+, 50), 257.28 (40), 100.16 (100), 142.18 (63); ); Anal. Calcd. for C18H23N3O3 (329.39): C, 65.63%; H, 7.04%; N, 12.76%. Found: C, 65.66%; H, 7.12%; N, 12.78%.
2-(3,5-Dioxo-1-(4-methoxyphenyl)-1,4-diazaspiro[5.5]undecan-4-yl)acetamide (7f). Yield: 97%; buff solid, m.p. 94 °C; IR (KBr, ν, cm−1) exhibited bands at 3383.14, 3186.4 (NH2), 1678.07, 1670.35, 1654.92 (3 × C=O); 1H-NMR (CDCl3) δ ppm 1.80–2.38 (m, 10H, 5 × CH2, cyclohexyl), 4.03 (s, 3H, OCH3), 4.28, 4.51 (2s, 4H, O=C-CH2-N, CH2-C=O), 7.01 (d, 2H, J = 8.4 Hz, Har.), 7.08 (d, 2H, J = 8.4 Hz, Har.) 7.26 (s, 2H, NH2); 13C-NMR (CDCl3) δ ppm 21.25, 25.19, 36.51 (5 × CH2, cyclohexyl), 41.50, 42.14 (CH2-C=O, O=C-CH2-N), 56.39 (OCH3), 70.43 (Cq), 124.64, 129.81 (CHar.), 135.25, 145.33 (2 × Car.), 169.04, 169.76, 175.66 (3 × C=O); MS (EI) m/z (%): 315.28 ([M-OCH3]+, 13), 105.14 (100), 287.31(10); Anal. Calcd. for C18H23N3O4 (345.39): C, 62.59%; H, 6.71%; N, 12.17%. Found: C, 62.57%; H, 6.74%; N, 12.19%.

3.1.8. General Procedure for the Synthesis of 2-(6-Aryl-8,10-dioxo-6-phenyl-6,9-diazaspiro[4.5]decan-9-yl)acetonitriles (8ac) and 2-(1-Aryl-3,5-dioxo-1,4-diazaspiro[5.5]undecan-4-yl)acetonitriles (8df)

Trifluroacetic anhydride (6.61 g, 0.03 mol) was added to a solution of the appropriate amide 7af (0.02 mol) in THF (40 mL) at 0–5 °C. The reaction mixture was stirred at room temperature for 2 h (monitored by TLC). Ammonium bicarbonate (12.43 g, 0.16 mol) was added portion-wise during 5–10 min. and the reaction mixture was stirred at room temperature for a further 45 min., concentrated under vacuum, washed with water (2 × 20 mL) and extracted with ethyl acetate (3 × 30 mL). The organic layer was dried (Na2SO4) and evaporated under reduced pressure to afford compounds 8af. The crude compounds 8af were purified using column chromatography (chloroform:ethyl acetate, 9:1).
2-(8,10-Dioxo-6-phenyl-6,9-diazaspiro[4.5]decan-9-yl)acetonitrile (8a). Yield: 97%; yellowish white solid m.p.70 °C; IR (KBr, ν, cm−1) absence of amidic NH2 and exhibited bands at 2848.86 (CN), 1743.65, 1687.71 (2 × C=O); 1H-NMR (CDCl3) δ ppm 1.20–2.30 (m, 8H, 4 × CH2, cyclopentyl), 4.25, 4.64 (2 × s, 4H, O=C-CH2-N and CH2-CN), 6.68–7.27 (m, 5H, Har.); 13C-NMR (CDCl3) δ ppm 25.18, 26.33 (4 × CH2, cyclopentyl), 29.54 (CH2-CN), 56.61 (O=C-CH2-N), 69.70 (Cq), 114.36 (CN), 124.60, 124.91, 129.27 (CHar.), 148.29 (Car.), 169.36, 175.26 (2 × C=O); MS (EI) m/z (%): 283.25 ([M]+, 25), 91.09 (100), 243.23 (15); Anal. Calcd. for C16H17N3O2 (283.33): C, 67.83%; H, 6.05%; N, 14.83%. Found: C, 67.85%; H, 6.15%; N, 14.82%.
2-(8,10-Dioxo-6-(4-methylphenyl)-6,9-diazaspiro[4.5]decan-9-yl)acetonitrile (8b). Yield: 90%; yellowish white solid m.p. 82 °C; IR (KBr, ν, cm−1) absence of amidic NH2 and exhibited bands at 2226.71 (CN), 1735.93, 1689.64 (2 × C=O); 1H-NMR (CDCl3) δ ppm 1.26–1.79 (m, 8H, 4 × CH2, cyclopentyl), 2.34 (s, 3H, CH3), 4.09 (s, 2H, O=C-CH2-N), 4.71 (s, 2H, CH2-CN), 6.80 (d, 2H, J = 8.6 Hz, Har.), 6.90 (d, 2H, J = 8.6 Hz, Har.); 13C-NMR (CDCl3) δ ppm 20.51, 29.69 (2 × CH2, cyclopentyl), 26.26 (CH3), 29.54 (CH2-CN), 54.87 (O=C-CH2-N), 61.33 (Cq), 114.46 (CN), 127.97, 128.69 (CHar.), 140.16, 157.65 (2 × Car.), 170.66, 175.48 (2 × C=O); MS (EI) m/z (%): 299.26 ([M + 2]+, 16), 121.15 (100); Anal. Calcd. for C17H19N3O2 (297.35): C, 68.67%; H, 6.44%; N, 14.13%. Found: C, 68.68%; H, 6.42%; N, 14.15%.
2-(8,10-Dioxo-6-(4-methoxyphenyl)-6,9-diazaspiro[4.5]decane-9-yl)acetonitrile (8c). Yield: 77%; yellow viscous oil; IR (KBr, ν, cm−1) absence of amidic NH2 and exhibited bands at 2310.70 (CN), 1743.65, 1629.85 (2 × C=O); 1H-NMR (CDCl3) δ ppm 1.27–1.55 (m, 4H, 2 × CH2, cyclopentyl), 1.79–2.21 (m, 4H, 2 × CH2, cyclopentyl), 3.77 (s, 3H, OCH3), 4.13 (s, 2H, O=C-CH2-N), 4.78 (s, 2H, CH2-CN), 6.89 (d, 2H, J = 7.5 Hz, Har.), 6.97 (d, 2H, J = 7.5 Hz, Har.); 13C-NMR (CDCl3) δ ppm 26.19, 38.30 (2 × CH2, cyclopentyl), 29.06 (CH2-CN), 55.44 (O=C-CH2-N), 56.16 (OCH3), 65.11 (Cq), 114.62 (CN), 127.98, 131.32 (CHar.), 142.62, 157.30 (2 × Car.), 169.54, 175.16 (2 × C=O); MS (EI) m/z (%): 312.43 ([M − 1]+, 4), 57.15 (100); Anal. Calcd. for C17H19N3O3 (313.35): C, 65.16%; H, 6.11%; N, 13.41%. Found: C, 65.14%; H, 6.13%; N, 13.42%.
2-(3,5-Dioxo-1-phenyl-1,4-diazaspiro[5.5]undecan-4-yl)acetonitrile (8d). Yield: 90%; yellow viscous oil; IR (KBr, ν, cm−1) absence of amidic NH2 and exhibited bands at 2254.79 (CN), 1735.9, 1705.07 (2 × C=O); 1H-NMR (CDCl3) δ ppm 1.18 (s, 4H, 2 × CH2, cyclohexyl), 1.45–1.79 (m, 6H, 3 × CH2, cyclohexyl), 4.09 (s, 2H, O=C-CH2-N), 4.69 (s, 2H, CH2-CN), 6.93-7.24 (m, 5H, Har.); 13C-NMR (CDCl3) δ ppm 25.01, 29.07, 29.25 (5 × CH2, cyclohexyl), 29.44 (CH2-CN), 54.22 (O=C-CH2-N), 60.85 (Cq), 114.29 (CN), 128.95, 129.33, 129.64 (CHar.), 147.36 (Car.), 169.76, 175.30 (2 × C=O); MS (EI) m/z (%): 297.28 ([M]+, 6), 257.2 (4), 77.14 (100); Anal. Calcd. for C17H19N3O2 (297.35): C, 68.67%; H, 6.44%; N, 14.13%. Found: C, 68.69%; H, 6.46%; N, 14.11%.
2-(3,5-Dioxo-1-(4-methylphenyl)-1,4-diazaspiro[5.5]undecan-4-yl)acetonitrile (8e). Yield: 94.5%; yellowish white solid m.p. 120–122 °C; IR (KBr, ν, cm−1) absence of amidic NH2 and exhibited bands at 1888.31 (CN), 1741.72, 1989.6 (2 × C=O); 1H-NMR (CDCl3) δ ppm 1.28 (s, 2H, CH2, cyclohexyl), 1.45–2.01 (m, 8H, 4 × CH2, cyclohexyl), 2.32 (s, 3H, CH3), 4.16 (s, 2H, O=C-CH2-N ), 4.74 (s, 2H, CH2-CN), 6.91 (d, 2H, J = 7.0 Hz, Har.), 7.15 (d, 2H, J = 7.0 Hz, Har.); 13C-NMR (CDCl3) δ ppm 22.70 (CH3), 23.06, 24.76, 25.36 (5 × CH2, cyclohexyl), 31.33 (CH2-CN), 54.92 (O=C-CH2-N), 60.98 (Cq), 114.23 (CN), 129.77, 130.24 (CHar.), 136.09, 144.74 (2 × Car.), 169.89, 175.37 (2 × C=O); MS (EI) m/z (%): 311.27 ([M]+, 16), 91.15 (100); Anal. Calcd. for C18H21N3O2 (311.38): C, 69.43%; H, 6.80%; N, 13.49%. Found: C, 69.44%; H, 6.81%; N, 13.47%.
2-(3,5-Dioxo-1-(4-methoxyphenyl)-1,4-diazaspiro[5.5]undecan-4-yl)acetonitrile (8f). Yield: 75%; brown viscous oil; IR (KBr, ν, cm−1) absence of amidic NH2 and exhibited bands at 2260.57 (CN), 1687.71, 1676.14 (2 × C=O); 1H-NMR (CDCl3) δ ppm 1.76–2.06 (m, 10H, 5 × CH2, cyclohexyl), 3.75 (s, 3H, OCH3), 4.27 (s, 2H, O=C-CH2-N), 4.69 (s, 2H, CH2-CN), 6.91 (d, 2H, J = 7.8 Hzs, Har.), 7.04 (d, 2H, J = 7.8 Hz, Har.); 13C-NMR (CDCl3) δ ppm 20.41, 26.23, 31.40 (5 × CH2, cyclohexyl), 29.75 (CH2-CN), 54.86 (O=C-CH2-N), 61.37 (OCH3) 68.26 (Cq), 114.72 (CN), 127.82, 128.09 (CHar.), 140.19, 157.88 (2 × Car.), 170.13, 175.43 (2 × C=O); MS (EI) m/z (%): 327.23 ([M]+, 85), 121.11 (100), 287.22 (20); Anal. Calcd. for C18H21N3O3 (327.38): C, 66.04%; H, 6.47%; N, 12.84%. Found: C, 66.13%; H, 6.49%; N, 12.85%.

3.1.9. General Procedure for the Synthesis of 6-Aryl-9-(1H-tetrazol-5-yl)methyl)-6,9-diazaspiro[4.5] decane-8,10-diones (6jl) and 1-Aryl-4-((1H-tetrazol-5-yl)methyl)-1,4-diazaspiro[5.5]undecane-3,5-diones (6vx)

Anhydrous AlCl3 (13.3 g, 0.1 mol) was added to a cold dry THF (200 mL) under stirring during 10 min. Thereafter, NaN3 (28.9 g, 0.45 mol) was added portion-wise through 10 min. The appropriate penultimate nitrile derivative 8af was added and the reaction mixture was stirred under refluxed for 24 h. After cooling, the reaction mixture was filtered and the filtrate was evaporated under vacuum. The crude residues were purified through column chromatography (chloroform:ethyl acetate, 9:1) to give the ultimate respective compounds 6jl and 6vx.
6-Phenyl-9-((1H-tetrazol-5-yl)methyl)-6,9-diazaspiro[4.5]decane-8,10-dione (6j). Yield: 71%; colorless viscous oil; IR (KBr, ν, cm−1) exhibited band at 3419 (NH) and disappearance of CN band; 1H-NMR (CDCl3) δ ppm 1.11–2.23 (m, 8H, 4 × CH2, cyclopentyl), 4.22 (s, 2H, O=C-CH2-N), 5.14 (s, 2H, N-CH2-tetrazole)), 6.75–7.07 (m, 5H, Har.), 7.37 (s, 1H, NH); 13C-NMR (CDCl3) δ ppm 25.15, 29.77 (4 × CH2, cyclopentyl), 38.86 (N-CH2-tetrazole), 56.70 (O=C-CH2-N), 69.98 (Cq), 124.92, 129.42, 132.50 (CHar.), 148.48 (Car.), 153.55 (C=N-tetrazole), 170.55, 176.06 (2 × C=O); MS (EI) m/z (%): 326.43 ([M]+, 33), 327.27 (100); Anal. Calcd. for C16H18N6O2 (326.35): C, 58.88%; H, 5.56%; N, 25.75%. Found: C, 58.66%; H, 5.51%; N, 25.72%.
6-(4-Methylphenyl)-9-((1H-tetrazol-5-yl)methyl)-6,9-diazaspiro[4.5]decane-8,10-dione (6k). Yield: 61%; yellow viscous oil; IR (KBr, ν, cm−1) exhibited band at 3419 (NH) and disappearance of CN band; 1H-NMR (CDCl3) δ ppm 1.47 (s, 3H, CH3), 1.51–1.56 (m, 4H, 2 × CH2, cyclopentyl), 1.77 (br.s, 4H, 2 × CH2 cyclopentyl), 3.91 (s, 2H, O=C-CH2-N), 4.10 (s, 2H, N-CH2-tetrazole), 5.21 (s, 1H, NH), 6.83 (d, 2H, J = 6.0 Hz, Har.), 7.12 (d, 2H, J = 6.0 Hz, Har.); 13C-NMR (CDCl3) δ ppm 25.38 (CH3), 30.02, 34.84 (4 × CH2, cyclopentyl), 50.98 (N-CH2-tetrazole), 55.59 (O=C-CH2-N), 60.89 (Cq), 125.36, 128.92 (CHar.), 140.92, 151.94 (2 × Car.), 157.55(C=N-tetrazole), 168.93, 170.71 (2 × C=O); MS (EI) m/z (%): 340.29 ([M]+, 0.5), 121.14 (100); Anal. Calcd. for C17H20N6O2 (340.38): C, 59.99%; H, 5.92%; N, 24.69%. Found: C, 59.74%; H, 5.82%; N, 24.67%.
6-(4-Methoxyphenyl)-9-((1H-tetrazol-5-yl)methyl)-6,9-diazaspiro[4.5]decane-8,10-dione (6l). Yield: 63.3%; yellow viscous oil; IR (KBr, ν, cm−1) exhibited band at 3421.72 (NH) and disappearance of CN band; 1H-NMR (CDCl3) δ ppm 1.47 (br.s, 6H, 3 × CH2, cyclopentyl), 2.19 (br.s, 2H, CH2 cyclopentyl), 3.73 (s, 3H, OCH3), 3.80 (s, 2H, O=C-CH2-N), 4.21 (s, 2H, N-CH2-tetrazole)), 6.64 (s, 1H, NH), 6.99 (d, 2H, J = 6.0 Hz, Har.), 7.25 (d, 2H, J = 6.0 Hz, Har.); 13C-NMR (CDCl3) δ ppm 23.08, 30.43 (4 × CH2, cyclopentyl), 51.01 (N-CH2-tetrazole), 55.83 (O=C-CH2-N), 59.45 (OCH3), 61.02 (Cq), 128.49, 132.02 (CHar.), 140.0, 152.0 (2 × Car.), 159.96 (C=N-tetrazole), 160.01, 169.1 (2 × C=O); Anal. Calcd. for C17H20N6O3 (356.38): C, 57.29%; H, 5.66%; N, 23.58%. Found: C, 57.11%; H, 5.64%; N, 23.38%.
1-Phenyl-4-((1H-tetrazol-5-yl)methyl)-1,4-diazaspiro[5.5]undecane-3,5-dione (6v). Yield: 75%; yellow viscous oil; IR (KBr, ν, cm−1) exhibited band at 3400 (NH) and disappearance of CN band; 1H-NMR (CDCl3) δ ppm 0.87 (br.s, 2H, CH2 cyclohexyl), 1.18–1.98 (m, 8H, 4 × CH2, cyclohexyl), 4.09 (s, 2H, O=C-CH2-N), 5.03 (s, 2H, N-CH2-tetrazole), 7.05–7.13 (m, 5H, Har and 1H, NH); 13C-NMR (CDCl3) δ ppm 13.58, 25.37, 31.36 (5 × CH2, cyclohexyl), 55.01 (N-CH2-tetrazole), 58.88 (O=C-CH2-N), 60.77 (Cq), 125.93, 127.15, 129.38 (CHar.), 147.86 (Car.), 153.74 (C=N-tetrazole), 170.57, 175.98 (2 × C=O); MS (EI) m/z (%): 340.29 ([M]+, 3), 77.13 (100); Anal. Calcd. for C17H20N6O2 (340.38): C, 59.99%; H, 5.92%; N, 24.69%. Found: C, 59.78%; H, 5.91%; N, 24.68%.
1-(4-Methylphenyl)-4-((1H-tetrazol-5-yl)methyl)-1,4-diazaspiro[5.5]undecane-3,5-dione (6w). Yield: 61%; yellow viscous oil; IR (KBr, ν, cm−1) exhibited band at 3419.79 (NH) and disappearance of CN band; 1H-NMR (CDCl3) δ ppm 1.47 (s, 3H, CH3), 1.51–1.59 (m, 6H, 3 × CH2, cyclohexyl), 2.14 (br.s, 4H, 2 × CH2 cyclohexyl), 4.05 (s, 2H, O=C-CH2-N ), 4.30 (s, 2H, N-CH2-tetrazole), 6.65 (s, 1H, NH), 7.16 (d, 2H, J = 6.0 Hz, Har.), 7.19 (d, 2H, J = 6.0 Hz, Har.); 13C-NMR (CDCl3) δ ppm 22.66, 31.50, 34.94 (5 × CH2, cyclohexyl), 29.74 (CH3), 45.801 (N-CH2-tetrazole), 50.95 (O=C-CH2-N), 60.73 (Cq), 127.83, 130.13 (CHar.), 140.10, 145.92 (2 × Car.), 151.94 (C=N-tetrazole), 168.82, 170.42 (2 × C=O); MS (EI) m/z (%): 354.7 ([M]+, 3), 105.1 (100); Anal. Calcd. for C18H22N6O2 (354.41): C, 61.00%; H, 6.26%; N, 23.71%. Found: C, 61.15%; H, 6.22%; N, 23.61%.
1-(4-Methoxyphenyl)-4-((1H-tetrazol-5-yl)methyl)-1,4-diazaspiro[5.5]undecane-3,5-dione (6x). Yield: 66%; buff solid, m.p 73 °C; IR (KBr, ν, cm−1) exhibited band at 3419 (NH) and disappearance of CN band; 1H-NMR (CDCl3) δ ppm 1.18–1.88 (m, 10H, 5 × CH2, cyclohexyl), 3.75 (OCH3), 4.20 (s, 2H, O=C-CH2-N), 5.29 (s, 2H, N-CH2-tetrazole), 6.73 (d, 2H, J = 7.0 Hz, Har.), 6.95 (d, 2H, J = 7.0 Hz, Har.), 7.19 (s, 1H, NH); 13C-NMR (CDCl3) δ ppm 20.71, 25.04, 32.60 (5 × CH2, cyclohexyl), 36.59 (N-CH2-tetrazole), 41.32 (O=C-CH2-N), 56.50 (OCH3), 70.07 (Cq), 127.79, 129.88 (CHar.), 134.86, 145.77 (2 × Car.), 153.48 (C=N-tetrazole), 170.73, 176.09 (2 × C=O); MS (EI) m/z (%): 340.3 ([M-OCH3]+, 5), 105.17 (100); Anal. Calcd. for C18H22N6O3 (370.41): C, 58.37%; H, 5.99%; N, 22.69%. Found: C, 58.32%; H, 5.79%; N, 22.54%.

3.2. Anticonvulsant Activity

3.2.1. Materials

Animals: The anticonvulsant activity of the target compounds 6ax was tested on Swiss strain adult male albino mice weighing 19–25 g. Animals were obtained from the Animals House Colony of the National Research Centre, Cairo, Egypt. Animals were housed in polypropylene cages under the standard conditions of light (12 h light/dark cycle) and temperature (23 ± 2 °C), and were allowed free access to water and maintained on a daily standard schedule of laboratory diet. Procedures involving animals and their care were performed after the Ethics Committee of the National Research Centre and in accordance with the recommendations for the proper care and use of laboratory animals, “Canadian Council on Animal Care Guidelines, 1984”. Additionally, all efforts were made to minimize animals suffering and to use only the number of animals necessary to produce reliable data.
Drugs and Chemicals: Phenobarbital (Memphis Co. for Pharm & Chem. Ind., Cairo, Egypt), Ethosuximide (Pfizer Co., Giza, Egypt), Diphenylhydantoin (Nasr Co., Giza, Egypt), Tween 80 and Pentylenetetrazole (Sigma, St. Loius, MO, USA) were used. Ethosuximide, Phenobarbital and Pentylenetetrazole (PTZ) were dissolved in physiologic saline solution, Diphenylhydantoin was dissolved in saline that was alkalinized slightly with 0.1 mmol potassium hydroxide. Reference drugs and tested compounds were administered intraperitoneally (i.p) in volumes of 0.1 mL/10 g of mice body weight.

3.2.2. Methods

After 7 days of adaptation to laboratory conditions, the animals were randomly assigned to control, reference and tested experimental groups consisting of 6 mice. Each mouse was used only once and all tests were performed between 09:00 a.m. and 04:00 p.m. All the tested compounds were suspended in 7% Tween 80 as a vehicle.
Subcutaneous Pentyleneteterazole (scPTZ)-induced Seizures Test [28]: A PTZ dose of 85 mg/kg administered subcutaneously to mice causes seizures in more than 97% of the animals. This is called the convulsive dose 97 (CD97). The control experiments were performed using the solvent alone. The other groups each received individually the reference drugs Ethosuximide (150 mg/kg ≡ 1.06 mmol/kg) [29] and/or Phenobarbital (30 mg/kg ≡ 0.13 mmol/kg) [30] or one of the test compounds in graded doses, 6al (1.5–50 mg/kg), 6mx (6–100 mg/kg). Thirty minutes later Pentylenetetrazole was administered subcutaneously in a loose fold of skin on the back of the neck in a dose of 85 mg/kg. Each animal was observed for 30 min after PTZ administration, failure to observe even a threshold seizure (a single episode of clonic spasms of at least 5 s duration) was defined as protection [31]
Maximal Electroshock Seizure (MES) Test [32]: Animals were randomly assigned to groups of 6 mice each. The first group served as the control group. The second group received Diphenylhydantoin (45 mg/kg) as a reference drug and the other groups of animals received the test compounds individually by intraperitoneal injection with the dose which induces 100% protection in the Pentylenetetrazole test. Thirty minutes later electroconvulsions were induced by a current (fixed current intensity of 25 mA, 0.2 s stimulus duration) delivered via ear-clip electrodes by a Rodent Shocker generator (constant-current stimulator Type 221, Hugo Sachs Elektronik, Freiburg, Germany).
The maximal seizures typically consist of a short period of initial tonic flexion and a prolonged period of tonic extension (especially of the hind limbs) followed by terminal clonus. The typical seizure lasts approximately 22 s. Failure to extend the hind limbs to an angle with trunk greater than 90° is defined as protection [33].
Neurotoxicity [34]: This test is designed to detect minimal neurological deficit. In this test, the animals were trained to maintain equilibrium on a rotating 1-inch-diameter knurled plastic rod at a speed of 6 rev/min for at least 1 min in each of three trials using a rotarod device (UGO Basile, 47600, Varese, Italy). Only animals that fulfill this criterion were included in the experiment. The selected trained animals were classified into control and experimental groups. The animals in the experimental groups were given the reference drug or one of the test compounds via i.p. route at doses which exerted 100% protection in the PTZ test; meanwhile, the control group received the vehicle. Thirty minutes later, the mice were placed again on the rotating rod and the neurotoxicity was indicated by the inability of the animal to maintain equilibrium on the rod for at least 1 min.

3.2.3. Determination of the ED50

Anticonvulsant activity of the test compounds was expressed in term of median effective dose (ED50) that is, the dose of drug required to produce the required biological response in 50% of animals. For determination of the ED50, groups of 8 mice were given a range of i.p. doses of the test compound until at least three points were established in the range of 15%–84% seizure protection. From the plot of these data, the respective ED50 value and the confidence limits were calculated [18].

4. Conclusions

The anticonvulsant potential of certain new 6-aryl-9-substituted-6,9-diazaspiro[4.5]decane-8,10-diones (6al) and 1-aryl-4-substituted-1,4-diazaspiro[5.5]undecane-3,5-diones (6mx) was described. The title compounds 6ax showed good anticonvulsant activity especially in the scPTZ screen. Compound 6g displayed an ED50 of 0.0043 mmol/kg in the scPTZ screen being about 14 and 214 fold more potent than the reference drugs, Phenobarbital and Ethosuximide, respectively. Compound 6e exhibited an ED50 of 0.019 mmol/kg being about 1.8 fold more potent than that of the reference drug, Diphenylhydantoin in the MES screen. None of the test compounds exhibited any minimal motor impairment at the maximum administered dose in the neurotoxicity screen.

Acknowledgments

The authors thank the National Research Centre, Dokki, Giza, Egypt, for the support of this research through project No. 10010302 (2013–2016). The authors would like to extend their sincere appreciation to the Deanship of Scientific Research at King Saud University for its funding of this research through the Research Group Project No. RGP-VPP-196.

Author Contributions

Mohamed N. Aboul-Enein, Aida A. El-Azzouny, Mohamed I. Attia and Fatma Ragab conceived the study, designed the work, contributed in the strategy of the chemistry part, performed interpretation of the analytical data of the prepared compounds, prepared the manuscript and revised it for publication. Yousreya A. Maklad designed the pharmacological part, contributed in performing pharmacology experiments and revised the manuscript. Mona E. Aboutabl participated in conducting pharmacology experiments. Walaa H. A. Abdel-Hamid synthesized all compounds and participated in conducting pharmacology experiments.

Conflicts of Interests

The authors declare no conflict of interest.

References

  1. Pessah, N.; Bialer, M.; Wlodarczyk, B.; Finnell, R.H.; Yagen, B. Alpha-fluoro-2,2,3,3-tetramethylcyclopropanecarboxamide, a novel potent anticonvulsant derivative of a cyclic analogue of valproic acid. J. Med. Chem. 2009, 52, 2233–2242. [Google Scholar] [CrossRef] [PubMed]
  2. Dawidowski, M.; Herold, F.; Chodkowski, A.; Kleps, J. Synthesis and anticonvulsant activity of novel 2,6-diketopiperazine derivatives. Part 2: Perhydropyrido[1,2-a]pyrazines. Eur. J. Med. Chem. 2012, 48, 347–353. [Google Scholar]
  3. Medina, M.T.; Duron, R.M.; Martinez, L.; Osorio, J.R.; Estrada, A.L.; Zuniga, C.; Cartagena, D.; Collins, J.S.; Holden, K.R. Prevalence, incidence, and etiology of epilepsies in rural Honduras: The Salama Study. Epilepsia 2005, 46, 124–131. [Google Scholar] [CrossRef] [PubMed]
  4. Brodie, M.J. Do we need any more new antiepileptic drugs? Epilepsy Res. 2001, 45, 3–6. [Google Scholar] [CrossRef] [PubMed]
  5. Picot, M.C.; Baldy-Moulinier, M.; Daures, J.P.; Dujols, P.; Crespel, A. The prevalence of epilepsy and pharmacoresistant epilepsy in adults: A population-based study in a Western European country. Epilepsia 2008, 49, 1230–1238. [Google Scholar] [CrossRef] [PubMed]
  6. Brodie, M.J.; Dichter, M.A. Antiepileptic drugs. N. Engl. J. Med. 1996, 334, 168–175. [Google Scholar] [CrossRef] [PubMed]
  7. Lin, Z.; Kadaba, P.K. Molecular targets for the rational design of antiepileptic drugs and related neuroprotective agents. Med. Res. Rev. 1997, 17, 537–572. [Google Scholar] [CrossRef]
  8. Zaccara, G.; Franciotta, D.; Perucca, E. Idiosyncratic adverse reactions to antiepileptic drugs. Epilepsia 2007, 48, 1223–1244. [Google Scholar] [CrossRef] [PubMed]
  9. Sammes, P.G. Naturally occurring 2,5-dioxopiperazines and related compounds. Fortschr. Chem. Org. Naturst. 1975, 32, 51–118. [Google Scholar] [PubMed]
  10. Martins, M.B.; Carvalho, I. Diketopiperazines: Biological activity and synthesis. Tetrahedron 2007, 63, 9923–9932. [Google Scholar] [CrossRef]
  11. Dawidowski, M.; Herold, F.; Chodkowski, A.; Kleps, J.; Szulczyk, P.; Wilczek, M. Synthesis and anticonvulsant activity of novel 2,6-diketopiperazine derivatives. Part 1: Perhydropyrrole[1,2-a]pyrazines. Eur. J. Med. Chem. 2011, 46, 4859–4869. [Google Scholar]
  12. Singh, S.B. Total synthesis of flutimide, a novel endonuclease inhibitor of influenza virus. Tetrahedron Lett. 1995, 36, 2009–2012. [Google Scholar] [CrossRef]
  13. Hasinoff, B.B.; Abram, M.E.; Barnabe, N.; Khelifa, T.; Allan, W.P.; Yalowich, J.C. The catalytic DNA topoisomerase II inhibitor dexrazoxane (ICRF-187) induces differentiation and apoptosis in human leukemia K562 cells. Mol. Pharmacol. 2001, 59, 453–461. [Google Scholar] [PubMed]
  14. Sun, X.Y.; Wei, C.X.; Deng, X.Q.; Sun, Z.G.; Quan, Z.S. Evaluation of the anticonvulsant activity of 6-(4-chlorophenyoxy)-tetrazolo[5,1-a]phthalazine in various experimental seizure models in mice. Pharmacol. Rep. 2010, 62, 273–277. [Google Scholar] [CrossRef] [PubMed]
  15. Wagle, S.; Adhikari, A.V.; Kumari, N.S. Synthesis of some new 4-styryltetrazolo[1,5-a]quinoxaline and 1-substituted-4-styryl[1,2,4]triazolo[4,3-a]quinoxaline derivatives as potent anticonvulsants. Eur. J. Med. Chem. 2009, 44, 1135–1143. [Google Scholar] [CrossRef] [PubMed]
  16. Aboul-Enein, M.N.; El-Azzouny, A. 1-Alkyl-1,4-diazaspiro[4.5]decane and [5.5]undecane-3,5-diones as analgesics and anticonvulsants. Acta Pharm. Suec. 1986, 23, 107–114. [Google Scholar]
  17. Porter, R.J.; Cereghino, J.J.; Gladding, G.D.; Hessie, B.J.; Kupferberg, H.J.; Scoville, B.; White, B.G. Antiepileptic drug development Program. Cleve Clin. Q. 1984, 51, 293–305. [Google Scholar] [CrossRef] [PubMed]
  18. Litchfield, J.T., Jr.; Wilcoxon, F. A simplified method of evaluating dose-effect experiments. J. Pharmacol. Exp. Ther. 1949, 96, 99–113. [Google Scholar] [PubMed]
  19. Ucar, H.; Van derpoorten, K.; Cacciaguerra, S.; Spampinato, S.; Stables, J.P.; Depovere, P.; Isa, M.; Masereel, B.; Delarge, J.; Poupaert, J.H. Synthesis and anticonvulsant activity of 2(3H)-benzoxazolone and 2(3H)-benzothiazolone derivatives. J. Med. Chem. 1998, 41, 1138–1145. [Google Scholar] [CrossRef] [PubMed]
  20. Soliman, A.M.; Sultan, A.A.; Abd Ellah, O.; El-Shafei, A.K. Application of secondary amines in the synthesis of some new spiro heterocyclic compounds. Phosphorus Sulfur Silicon Relat. Elem. 2010, 185, 1301–1314. [Google Scholar] [CrossRef]
  21. Xiaochun, H.Y.M.; Zheng, L. Eco-friendly synthesis of α-aminonitriles from ketones in PEG-400 medium using potassium hexacyanoferrate (II) as cyanid source. J. Organomet. Chem. 2012, 705, 70–74. [Google Scholar]
  22. Oakeshott, S.H.; Plant, S.G.P. LXXI.—The condensation of substituted anilines with cyclo pentanone cyanohydrin. Derivatives of 1-anilino cyclo pentane-1-carboxylic acid. J. Chem. Soc. 1927, 1927, 484–493. [Google Scholar]
  23. Henecka, H.; Kurz, P.; Müller, E. Methoden der organischen Chemie, 4th ed.; Georg Thieme Verlag Stuttgart: Stuttgart, Germany, 1965; Volume 3, pp. 427–661. [Google Scholar]
  24. Chinery, S. The Synthesis and Structure of Spiroimidazolones. J. Org. Chem. 1961, 26, 4480–4485. [Google Scholar] [CrossRef]
  25. Plant, S.G.P.; Facer, J.E. The synthesis and reactions of 1-anilinocyclopentane-1-carboxylic acid. J. Chem. Soc. 1925, 127, 2037–2040. [Google Scholar] [CrossRef]
  26. Oakeshott, S.H.; Plant, S.G.P. CLVI.—Some reactions of 1-p-toluidino cyclo pentane-1-carboxylic acid. A new carbazole synthesis. J. Chem. Soc. 1926, 129, 1210–1213. [Google Scholar]
  27. Pastori, N.; Greco, C.; Clerici, A.; Punta, C.; Porta, O. Free-radical addition to ketimines generated in situ. New one-pot synthesis of quaternary alpha-aminoamides promoted by a H2O2/TiCl4-Zn/HCONH2 system. Org. Lett. 2010, 12, 3898–3901. [Google Scholar]
  28. Clark, C.R.; Wells, M.J.; Sansom, R.T.; Norris, G.N.; Dockens, R.C.; Ravis, W.R. Anticonvulsant activity of some 4-aminobenzamides. J. Med. Chem. 1984, 27, 779–782. [Google Scholar] [CrossRef] [PubMed]
  29. Sayyah, M; Mandgary, A. Anticonvulsant effect of Ferula Gummosa Root extract against experimental seizures. Iran. Biomed. J. 2003, 7, 139–143. [Google Scholar]
  30. Aboul-Enein, M.N.; El-Azzouny, A.A.; Attia, M.I.; Maklad, Y.A.; Amin, K.M.; Abdel-Rehim, M.; El-Behairy, M.F. Design and synthesis of novel stiripentol analogues as potential anticonvulsants. Eur. J. Med. Chem. 2012, 47, 360–369. [Google Scholar] [CrossRef] [PubMed]
  31. Alam, O.; Mullick, P.; Verma, S.P.; Gilani, S.J.; Khan, S.A.; Siddiqui, N.; Ahsan, W. Synthesis, anticonvulsant and toxicity screening of newer pyrimidine semicarbazone derivatives. Eur. J. Med. Chem. 2010, 45, 2467–2472. [Google Scholar] [CrossRef] [PubMed]
  32. Luszczki, J.J.; Czuczwar, M.; Gawlik, P.; Sawiniec-Pozniak, G.; Czuczwar, K.; Czuczwar, S.J. 7-Nitroindazole potentiates the anticonvulsant action of some second-generation antiepileptic drugs in the mouse maximal electroshock-induced seizure model. J. Neural Transm. 2006, 113, 1157–1168. [Google Scholar] [CrossRef] [PubMed]
  33. Swinyard, E.A.; Brown, W.C.; Goodman, L.S. Comparative assays of antiepileptic drugs in mice and rats. J. Pharmacol. Exp. Ther. 1952, 106, 319–330. [Google Scholar] [PubMed]
  34. Sun, X.Y.; Jin, Y.Z.; Li, F.N.; Li, G.; Chai, K.Y.; Quan, Z.S. Synthesis of 8-alkoxy-4,5-dihydro-[1,2,4]triazole[4,3-a]quinoline-1-ones and evaluation of their anticonvulsant properties. Arch. Pharm. Res. 2006, 29, 1080–1085. [Google Scholar] [CrossRef] [PubMed]

Share and Cite

MDPI and ACS Style

Aboul-Enein, M.N.; El-Azzouny, A.A.; Attia, M.I.; Maklad, Y.A.; Aboutabl, M.E.; Ragab, F.; El-Hamid, W.H.A.A. Anticonvulsant Profiles of Certain New 6-Aryl-9-substituted-6,9-diazaspiro-[4.5]decane-8,10-diones and 1-Aryl-4-substituted-1,4-diazaspiro[5.5]undecane-3,5-diones. Int. J. Mol. Sci. 2014, 15, 16911-16935. https://doi.org/10.3390/ijms150916911

AMA Style

Aboul-Enein MN, El-Azzouny AA, Attia MI, Maklad YA, Aboutabl ME, Ragab F, El-Hamid WHAA. Anticonvulsant Profiles of Certain New 6-Aryl-9-substituted-6,9-diazaspiro-[4.5]decane-8,10-diones and 1-Aryl-4-substituted-1,4-diazaspiro[5.5]undecane-3,5-diones. International Journal of Molecular Sciences. 2014; 15(9):16911-16935. https://doi.org/10.3390/ijms150916911

Chicago/Turabian Style

Aboul-Enein, Mohamed N., Aida A. El-Azzouny, Mohamed I. Attia, Yousreya A. Maklad, Mona E. Aboutabl, Fatma Ragab, and Walaa H. A. Abd El-Hamid. 2014. "Anticonvulsant Profiles of Certain New 6-Aryl-9-substituted-6,9-diazaspiro-[4.5]decane-8,10-diones and 1-Aryl-4-substituted-1,4-diazaspiro[5.5]undecane-3,5-diones" International Journal of Molecular Sciences 15, no. 9: 16911-16935. https://doi.org/10.3390/ijms150916911

APA Style

Aboul-Enein, M. N., El-Azzouny, A. A., Attia, M. I., Maklad, Y. A., Aboutabl, M. E., Ragab, F., & El-Hamid, W. H. A. A. (2014). Anticonvulsant Profiles of Certain New 6-Aryl-9-substituted-6,9-diazaspiro-[4.5]decane-8,10-diones and 1-Aryl-4-substituted-1,4-diazaspiro[5.5]undecane-3,5-diones. International Journal of Molecular Sciences, 15(9), 16911-16935. https://doi.org/10.3390/ijms150916911

Article Metrics

Back to TopTop