RETRACTED: Synthesis of Environmentally Friendly Highly Dispersed Magnetite Nanoparticles Based on Rosin Cationic Surfactants as Thin Film Coatings of Steel
Abstract
1. Introduction
2. Results and Discussion
2.1. Preparation of Cationic Surfactant
2.2. Surface Modification of Magnetite
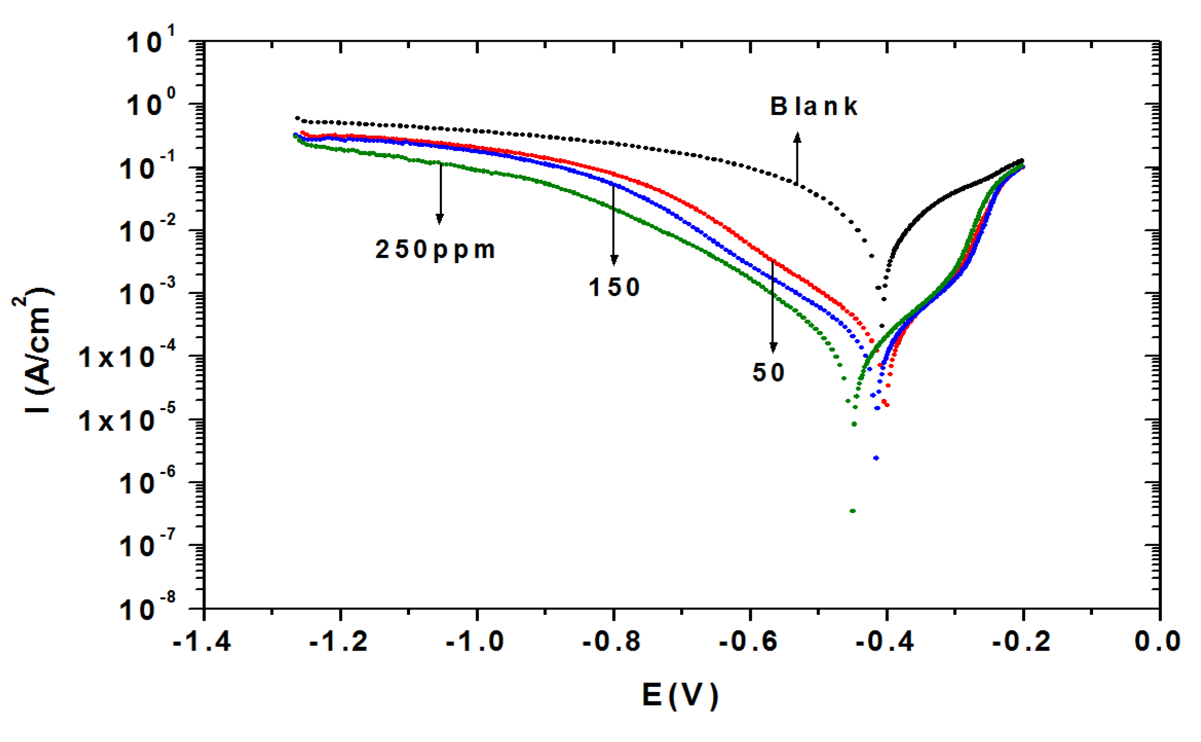
2.3. Potentiodynamic Polarization
2.4. Electrochemical Impedance Spectroscopy (EIS)
3. Experimental Section
3.1. Materials
3.2. Preparation Methods
3.2.1. Synthesis of Bis-N-(3-levopimaric maleic acid adduct-2-hydroxy) Propyl-Triethyl Ammonium Chloride (LPMQA)
3.2.2. Preparation of Modified Magnetite Nanoparticles
3.3. Characterization
3.4. Materials
3.5. Measurement of Adsorption Isotherm of LPMQA on Magnetite Nanoparticles
3.6. Electrochemical Measurements
4. Conclusions
- Rosin quaternary ammonium salt derivative LPMQA was synthesized by three steps in this work. The structure of target products was characterized by IR, 1H NMR.
- The data indicated that the LPMQA cationic surfactant was chemically adsorbed at the magnetite surfaces. The charge-stabilized mechanism is most favorable to explain the interaction between magnetite surface and LPMQA cationic surfactants.
- The formation of monodisperse nanoparticles with an average size of 12.5 nm confirms that the proposed scheme is an effective method for the preparation of monodisperse magnetic nanoparticles. The Fe3O4 NPs size is in good agreement with the average diameter measured from TEM (12.5 nm).
- Magnetic nanoparticles were an effective inhibitor for corrosion of steel in 1 M HCl solution and the inhibition efficiency increased with increasing concentration. The inhibition efficiencies, calculated from potentiodynamic polarization curve and EIS measurements are in reasonably good agreement.
- Magnetic nanoparticles inhibit the corrosion of steel by controlling both anodic and cathodic reactions in 1 M HCl solution and acts as a mixed type inhibitor.
Acknowledgments
Conflicts of Interest
- Author ContributionsA.M.A. suggested the idea and contributed the discussion, G.A.E.-M. discussed the corrosion data, A.A.-L. contributed in discussion and S.A.A.-H. performed the experimental work.
References
- Maiti, S.; Ray, S.S.; Kundu, A.K. Rosin: A renewable resource for polymers and polymer chemicals. Prog. Polym. Sci 1989, 14, 297–338. [Google Scholar]
- Wang, J.F.; Lin, M.T.; Wang, C.P.; Chu, F.X. Study on the synthesis, characterization, and kinetic of bulk polymerization of disproportionated rosin (β-acryloxyl ethyl) ester. J. Appl. Polym. Sci 2009, 113, 3757–3765. [Google Scholar]
- Wilbon, P.A.; Zheng, Y.J.; Yao, K.J.; Tang, C.B.S. Renewable rosin acid-degradable caprolactone block copolymers by atom transfer radical polymerization and ring-opening polymerization. Macromolecules 2010, 43, 8747–8754. [Google Scholar]
- Zheng, Y.J.; Yao, K.J.; Lee, J.; Chandler, D.; Wang, J.F.; Wang, C.P.; Chu, F.X.; Tang, C.B. Well-defined renewable polymers derived from gum rosin. Macromolecules 2010, 43, 5922–5924. [Google Scholar]
- Kubo, I.; Muroi, H.; Kubo, A. Structural functions of antimicrobial long-chain alcohols and phenols. Bioorg. Med. Chem. Lett 2010, 3, 873–880. [Google Scholar]
- Menger, F.M.; Littau, C.A. Synthesis and properties of dissymmetric gemini surfactants. J. Am. Chem. Soc 2010, 113, 1451–1452. [Google Scholar]
- Wang, J.F.; Chen, Y.P.; Yao, K.J.; Wilbon, P.A. Robust antimicrobial compounds and polymers derived from natural resin acids. Chem. Commun 2012, 48, 916–918. [Google Scholar]
- Li, J.; Rao, X.P.; Shang, S.B.; Gao, Y.Q.; Song, J. Synthesis and antibacterial activity of amide derivatives from acrylopimaric acid. BioResources 2012, 7, 1961–1971. [Google Scholar]
- Atta, A.M.; Elsaeed, A.M. Use of rosin-based nonionic surfactants as petroleum crude oil sludge dispersants. J. Appl. Polym. Sci 2011, 122, 183–192. [Google Scholar]
- Atta, A.M.; El-Mahdy, G.A.; Ismail, H.S.; Al-Lohedan, H.A. Effects of water soluble rosin on the corrosion inhibition of carbon steel. Int. J. Electrochem. Sci 2012, 7, 11834–11846. [Google Scholar]
- El-Mahdy, G.A.; Atta, A.M.; Al-Lohedan, H.A. Water soluble Nonionic Rosin Surfactants As Corrosion Inhibitor of carbon steel in 1M HCl. Int. J. Electrochem. Sci 2013, 8, 5052–5066. [Google Scholar]
- Atta, A.M.; El-Mahdy, G.A.; Al-Azhary, A.A.; Al-Lohedan, H.A. Experimental investigation and theoretical approach on water soluble rosin as corrosion inhibitors. Int. J. Electrochem. Sci 2013, 8, 1295–1307. [Google Scholar]
- Atta, A.M.; Ramadan, A.M.; El-Shafay, K.A.; Mohamed, A.M.; Ragab, N.S.; Fekry, M. Synthesis and properties of nonionic surfactants from rosin-imides maleic anhydride adduct. J. Dispers. Sci. Technol 2009, 30, 1100–1110. [Google Scholar]
- Atta, A.M.; Abdel-Rauf, M.E.; Maysour, N.E.; Gafer, A.K. Water-based oil spill dispersants based on rosin formaldehyde resins. J. Dispers. Sci. Technol 2010, 31, 583–595. [Google Scholar]
- Atta, A.M.; Mansour, R.; Abdou, M.I.; Sayed, A.M. Epoxy resins from rosin acids: Synthesis and characterization. Polym. Adv. Technol 2004, 15, 514–518. [Google Scholar]
- Atta, A.M.; El-Saeed, S.M.; Farag, R.K. New vinyl ester resins based on rosin for coating applications. React. Funct. Polym 2006, 66, 1596–1608. [Google Scholar]
- Atta, A.M.; Elsaeed, A.M.; Farag, R.K.; El-Saeed, S.M. Crosslinked reactive macromonomers based on polyisobutylene and octadecyl acrylate copolymers as crude oil sorber. React. Funct. Polym 2007, 67, 931–943. [Google Scholar]
- Atta, A.M.; El-Mahdy, G.A.; Dyab, A.K.F.; Allohedan, H.A. Application of highly surface active cationic surfactants based on rosin as corrosion inhibitor for tubing steel during acidization of petroleum oil and gas wells. Int. J. Electrochem. Sci 2013, 8, 9629–9643. [Google Scholar]
- Nalwa, H.S. Handbook of Nanostructured Materials and Nanotechnology; Academic Press: San Diego, CA, USA, 2000; Volume 1, p. 75. [Google Scholar]
- Voevodin, N.; Balbyshev, V.N.; Khobaib, M.; Donley, M.S. Nanostructured coatings approach for corrosion protection. Prog. Org. Coat 2003, 47, 416–423. [Google Scholar]
- Saji, V.S.; Thomas, J. Nano-materials for corrosion control. Curr. Sci 2007, 92, 51–55. [Google Scholar]
- Abdel Hameed, R.S.; Abu-Nawwasb, A.H.; Shehataa, H.A. Nano-composite as corrosion inhibitors for steel alloys in different corrosive media. Adv. Appl. Sci. Res 2013, 4, 126–129. [Google Scholar]
- Benda, P.; Kalendová, A. Anticorrosion properties of pigments based on ferrite coated zinc particles. Phys. Procedia 2013, 44, 185–194. [Google Scholar]
- Boinovicha, L.B.; Gnedenkov, S.V.; Alpysbaeva, D.A.; Egorkin, V.S.; Emelyanenko, A.M.; Sinebryukhov, S.L.; Zaretskaya, A.K. Corrosion resistance of composite coatings on low-carbon steel containing hydrophobic and superhydrophobic layers in combination with oxide sublayers. Corros. Sci 2012, 55, 238–245. [Google Scholar]
- Zalich, M.A.; Vadala, M.L.; Riffle, J.S.; Saunders, M.; Pierre, T.G.S. Structural and magnetic properties of cobalt nanoparticles encased in siliceous shells. Chem. Mater 2007, 19, 6597–6604. [Google Scholar]
- Pascal, C.; Pascal, J.L.; Favier, F.; Moubtassim, M.L.E.; Payen, C. Electrochemical synthesis for the control of γ-Fe2O3 nanoparticle size. Morphology, microstructure, and magnetic behavior. Chem. Mater 1999, 11, 141–147. [Google Scholar]
- Lee, H.; Kim, D.K.; Jang, N.K.; Jeong, Y.Y.; Jon, S. Antibiofouling polymer-coated superparamagnetic iron oxide nanoparticles as potential magnetic resonance contrast agents for in vivo cancer imaging. J. Am. Chem. Soc 2006, 128, 7383–7389. [Google Scholar]
- Alexiou, C.; Schmid, R.J.; Jurgons, R. Targeting cancer cells: Magnetic nanoparticles as drug carriers. Eur. Biophys. J 2006, 35, 446–450. [Google Scholar]
- Dresco, P.A.; Zaitsev, V.S.; Gambino, R.J.; Chu, B. Preparation and properties of magnetite and polymer magnetite nanoparticles. Langmuir 1999, 15, 1945–1951. [Google Scholar]
- Stokinger, H.E. A review of world literature finds iron oxides noncarcinogenic. Am. Ind. Hyg. Assoc. J 1984, 45, 127–133. [Google Scholar]
- Wu, K.T.; Yao, Y.D.; Wang, C.R.C.; Chen, P.F.; Yeh, E.T. Magnetic Field induced optical transmission study in an iron nanoparticle ferrofluid. J. Appl. Phys 1999, 85, 5959–5961. [Google Scholar]
- Zhang, D.; Tong, Z.; Li, S.; Zhang, X.; Ying, A. Characterization of hollow Fe3O4 nanospheres in a microemulsion. Mater. Lett 2008, 62, 4053–4055. [Google Scholar]
- Jun, Y.W.; Huh, Y.M.; Choi, J.S. Nanoscale size effect of magnetic nanocrystals and their utilization for cancer diagnosis via magnetic resonance imaging. J. Am. Chem. Soc 2005, 127, 5732–5733. [Google Scholar]
- Nomura, A.; Shin, S.; Mehdi, O.O.; Kauffmann, J.M. Preparation, characterization, and application of an enzyme-immobilized magnetic microreactor for flow injection analysis. Anal. Chem 2004, 76, 5498–5502. [Google Scholar]
- Li, F.; Vipulanandan, C.; Mohanty, K.K. Microemulsion and solution approaches to nanoparticle iron production for degradation of trichloroethylene. Colloids. Surf. A 2003, 223, 103–112. [Google Scholar]
- Yang, C.; Xing, J.; Guan, Y.; Liu, J.; Liu, H. Synthesis and characterization of superparamagnetic iron nanocomposites by hydrazine reduction. J. Alloys Compd 2004, 385, 283–287. [Google Scholar]
- Zhang, W.-X. Nanoscale iron particles for environmental remediation: An overview. J. Nanopart. Res 2003, 5, 323–332. [Google Scholar]
- Atta, A.M.; Dyab, A.K.F. Coated Magnetite Nanoparticles, Method for the Preparation Thereof and Their Use. EP Patent Application EP13167616.5, 18 March 2013. [Google Scholar]
- Khalil, M.I. Process for Preparing Magnetic (Fe3O4) and Derivatives Thereof. EP 2505558 A1, 16 January 2013. [Google Scholar]
- Farajia, M.; Yaminia, Y.; Tahmasebia, E.; Saleha, A.; Nourmohammadianb, F. Cetyltrimethylammonium bromide-coated magnetite nanoparticles as highly efficient adsorbent for rapid removal of reactive dyes from the textile companies’ wastewaters. J. Iran. Chem. Soc 2010, 7, S130–S144. [Google Scholar]
- Lan, Q.; Yang, F.; Zhang, S.; Liu, S.; Xu, J.; Sun, D. Synergistic effect of silica nanoparticle and cetyltrimethyl ammonium bromide on the stabilization of O/W emulsions. Colloids Surf. A 2007, 302, 126–135. [Google Scholar]
- Cornell, R.M.; Schwertmann, U. The Iron Oxides, 2nd ed.; VCH Publishers: Weinheim, Germany, 2003. [Google Scholar]
- McClune, W.F. Powder Diffraction File Alphabetical Index Inorganic Phase; JCPDS: Swarthmore, PA, USA, 1980. [Google Scholar]
- Cao, C. On electrochemical techniques for interface inhibitor research. Corros. Sci 1996, 38, 2073–2082. [Google Scholar]
- Qu, Q.; Hao, Z.; Li, L.; Bai, W.; Ding, Z. Synthesis and evaluation of Tris-hydroxymethyl-(2-hydroxybenzylidenamino)-methane as a corrosion inhibitor for cold rolled steel in hydrochloric acid. Corros. Sci 2009, 51, 569–574. [Google Scholar]
- Bentiss, F.; Lebrini, M.; Lagrenée, M. Thermodynamic characterization of metal dissolution and inhibitor adsorption processes in mild steel/2,5-bis(n-thienyl)-1,3,4-thiadiazoles/hydrochloric acid system. Corros. Sci 2005, 47, 2915–2931. [Google Scholar]
- Qu, Q.; Jiang, S.; Bai, W.; Li, L. Effect of ethylenediamine tetraacetic acid disodium on the corrosion of cold rolled steel in the presence of benzotriazole in hydrochloric acid. Electrochim. Acta 2007, 52, 6811–6820. [Google Scholar]
- Rames, S.; Rajeswari, S. Corrosion inhibition of mild steel in neutral aqueous solution by new triazole derivatives. Electrochim. Acta 2004, 49, 811–820. [Google Scholar]
- Chaieb, E.; Bouyanzer, A.; Hammouti, B.; Benkaddour, M. Inhibition of the corrosion of steel in 1 M HCl by eugenol derivatives. Appl. Surf. Sci 2005, 246, 199–206. [Google Scholar]
- Dadgarnezhad, A.; Sheikhshoaie, I.; Baghaei, F. Corrosion inhibitory effects of a new synthetic symmetrical Schiff-base on carbon steel in acid media. Anti-Corros. Meth. Mater 2004, 51, 266–271. [Google Scholar]
- Shi, X.; Nguyen, T.A.; Suo, Z.; Liu, Y.; Avci, R. Effect of nanoparticles on the anticorrosion and mechanical properties of epoxy coating. Surf. Coat. Technol 2009, 204, 237–245. [Google Scholar]
- Yang, L.H.; Liu, F.C.; Han, E.H. Effects of P/B on the properties of anticorrosive coatings with different particle size. Prog. Org. Coat 2005, 53, 91–98. [Google Scholar]
- Lamaka, S.V.; Zheludkevich, M.L.; Yasakau, K.A.; Serra, R.; Poznyak, S.K.; Ferreira, M.G.S. Nanoporous titania interlayer as reservoir of corrosion inhibitors for coatings with self-healing ability. Prog. Org. Coat 2007, 58, 127–135. [Google Scholar]











| Surfactant Concentrations | Adsorption Activity (%) | |
|---|---|---|
| wt % | mol/L | |
| 0.288 | 0.0048 | 36.4 |
| 2.88 | 0.048 | 38.3 |
| 5.76 | 0.096 | 48.3 |
| Polarization Method | EIS Method | |||||||
|---|---|---|---|---|---|---|---|---|
| Ba (mV) | Bc (mV) | Ecorr (V) | icorr (μA/cm2) | IE% | Rct (Ohm) | Cdl (μF/cm2) | IE% | |
| Blank | 147.00 | 141.00 | −0.4034 | 745 | - | 1.80 | 334 | - |
| 50 ppm | 93.63 | 128.85 | −0.4050 | 191.17 | 74.34 | 6.90 | 189 | 73.91 |
| 150 | 112.70 | 147.85 | −0.4156 | 167.8 | 77.40 | 8.07 | 152 | 77.89 |
| 250 | 113.53 | 113.00 | −0.4496 | 89.40 | 88.00 | 15.01 | 136 | 88.00 |
© 2014 by the authors; licensee MDPI, Basel, Switzerland This article is an open access article distributed under the terms and conditions of the Creative Commons Attribution license (http://creativecommons.org/licenses/by/3.0/).
Share and Cite
Atta, A.M.; El-Mahdy, G.A.; Al-Lohedan, H.A.; Al-Hussain, S.A. RETRACTED: Synthesis of Environmentally Friendly Highly Dispersed Magnetite Nanoparticles Based on Rosin Cationic Surfactants as Thin Film Coatings of Steel. Int. J. Mol. Sci. 2014, 15, 6974-6989. https://doi.org/10.3390/ijms15046974
Atta AM, El-Mahdy GA, Al-Lohedan HA, Al-Hussain SA. RETRACTED: Synthesis of Environmentally Friendly Highly Dispersed Magnetite Nanoparticles Based on Rosin Cationic Surfactants as Thin Film Coatings of Steel. International Journal of Molecular Sciences. 2014; 15(4):6974-6989. https://doi.org/10.3390/ijms15046974
Chicago/Turabian StyleAtta, Ayman M., Gamal A. El-Mahdy, Hamad A. Al-Lohedan, and Sami A. Al-Hussain. 2014. "RETRACTED: Synthesis of Environmentally Friendly Highly Dispersed Magnetite Nanoparticles Based on Rosin Cationic Surfactants as Thin Film Coatings of Steel" International Journal of Molecular Sciences 15, no. 4: 6974-6989. https://doi.org/10.3390/ijms15046974
APA StyleAtta, A. M., El-Mahdy, G. A., Al-Lohedan, H. A., & Al-Hussain, S. A. (2014). RETRACTED: Synthesis of Environmentally Friendly Highly Dispersed Magnetite Nanoparticles Based on Rosin Cationic Surfactants as Thin Film Coatings of Steel. International Journal of Molecular Sciences, 15(4), 6974-6989. https://doi.org/10.3390/ijms15046974

