Calcium Imaging Perspectives in Plants
Abstract
:1. Introduction
2. Measuring [Ca2+]cyt in Living Plant Cells
3. Origin and Evolution of Synthetic Ca2+ Indicators
4. Measurement of Ca2+ Using Non-Ratiometric Dyes or Single Wavelength Probes
5. Measurement of Ca2+ Using Ratiometric Dyes
6. Techniques of Loading Ca2+-Sensing Dyes into Plant Cells
7. Protein Based Ca2+ Indicators
7.1. Aequorin–Based Ca2+ Indicators
7.2. GFP–Based Ca2+ Indicators
8. Conclusions and Future Perspectives
Acknowledgments
Conflicts of Interest
References
- Whalley, H.J.; Knight, M.R. Calcium signatures are decoded by plants to give specific gene responses. New Phytol. 2013, 197, 690–693. [Google Scholar]
- Arimura, G.; Maffei, M.E. Calcium and secondary CPK signaling in plants in response to herbivore attack. Biochem. Biophys. Res. Commun. 2010, 400, 455–460. [Google Scholar]
- McAinsh, M.R.; Pittman, J.K. Shaping the calcium signature. New Phytol. 2009, 181, 275–294. [Google Scholar]
- White, P.J.; Broadley, M.R. Calcium in plants. Ann. Bot. 2003, 92, 487–511. [Google Scholar]
- Monshausen, G.B. Visualizing Ca(2+) signatures in plants. Curr. Opin. Plant Biol. 2012, 15, 677–682. [Google Scholar]
- Quiles-Pando, C.; Rexach, J.; Navarro-Gochicoa, M.T.; Camacho-Cristobal, J.J.; Herrera-Rodriguez, M.B.; Gonzalez-Fontes, A. Boron deficiency increases the levels of cytosolic Ca(2+) and expression of Ca(2+)-related genes in Arabidopsis thaliana roots. Plant Physiol. Biochem. 2013, 65, 55–60. [Google Scholar]
- Swanson, S.J.; Gilroy, S. Imaging changes in cytoplasmic calcium using the Yellow Cameleon 36 biosensor and confocal microscopy. Methods Mol. Biol. 2013, 1009, 291–302. [Google Scholar]
- Choi, W.G.; Swanson, S.J.; Gilroy, S. High-resolution imaging of Ca2+ redox status ROS, and pH using GFP biosensors. Plant J. 2012, 70, 118–128. [Google Scholar]
- Batistic, O.; Kudla, J. Analysis of calcium signaling pathways in plants. Biochim. Biophys. Acta 2012, 1820, 1283–1293. [Google Scholar]
- Dodd, A.N.; Kudla, J.; Sanders, D. The language of calcium signaling. Ann. Rev. Plant Biol. 2010, 61, 593–620. [Google Scholar]
- McAinsh, M.R.; Ng, C.K. Measurement of cytosolic-free Ca2+ in plant tissue. Methods Mol. Biol. 2013, 937, 327–341. [Google Scholar]
- Stael, S.; Wurzinger, B.; Mair, A.; Mehlmer, N.; Vothknecht, U.C.; Teige, M. Plant organellar calcium signalling: An emerging field. J. Exp. Bot. 2012, 63, 1525–1542. [Google Scholar]
- Behera, S.; Krebs, M.; Loro, G.; Schumacher, K.; Costa, A.; Kudla, J. Ca2+ imaging in plants using genetically encoded Yellow Cameleon Ca2+ indicators. Cold Spring Harb. Protoc. 2013, 2013, 700–703. [Google Scholar]
- Loro, G.; Ruberti, C.; Zottini, M.; Costa, A. The D3cpv Cameleon reports Ca2+ dynamics in plant mitochondria with similar kinetics of the YC36 Cameleon but with a lower sensitivity. J. Microsc. 2013, 249, 8–12. [Google Scholar]
- Bonza, M.C.; Loro, G.; Behera, S.; Wong, A.; Kudla, J.; Costa, A. Analyses of Ca2+ accumulation and dynamics in the endoplasmic reticulum of Arabidopsis root cells using a genetically encoded Cameleon sensor. Plant Physiol. 2013, 163, 1230–1241. [Google Scholar]
- Loro, G.; Drago, I.; Pozzan, T.; Schiavo, F.L.; Zottini, M.; Costa, A. Targeting of Cameleons to various subcellular compartments reveals a strict cytoplasmic/mitochondrial Ca2+ handling relationship in plant cells. Plant J. 2012, 71, 1–13. [Google Scholar]
- Costa, A.; Drago, I.; Behera, S.; Zottini, M.; Pizzo, P.; Schroeder, J.I.; Pozzan, T.; Lo Schiavo, F. H2O2 in plant peroxisomes: An in vivo analysis uncovers a Ca2+-dependent scavenging system. Plant J. 2010, 62, 760–772. [Google Scholar]
- Logan, D.C.; Knight, M.R. Mitochondrial and cytosolic calcium dynamics are differentially regulated in plants. Plant Physiol. 2003, 133, 21–24. [Google Scholar]
- Iwano, M.; Entani, T.; Shiba, H.; Kakita, M.; Nagai, T.; Mizuno, H.; Miyawaki, A.; Shoji, T.; Kubo, K.; Isogai, A.; et al. Fine-tuning of the cytoplasmic Ca2+ concentration is essential for pollen tube growth. Plant Physiol. 2009, 150, 1322–1334. [Google Scholar]
- Mithofer, A.; Mazars, C.; Maffei, M.E. Probing Spatio-temporal Intracellular Calcium Variations in Plants. Methods Mol. Biol. 2009, 479, 79–92. [Google Scholar]
- Swanson, S.J.; Choi, W.G.; Chanoca, A.; Gilroy, S. In vivo imaging of Ca2+ pH and reactive oxygen species using fluorescent probes in plants. Ann. Rev. Plant Biol. 2011, 62, 273–297. [Google Scholar]
- Joy, M.J.; Pyniarlang, N.; Ralf, O.; Irena, S. Calcium signaling and cytosolic calcium measurements in plants. J. Endocytobiosis Cell Res. 2011, 21, 64–76. [Google Scholar]
- Reddy, G.V.; Gordon, S.P.; Meyerowitz, E.M. Unravelling developmental dynamics: Transient intervention and live imaging in plants. Nat. Rev. Mol. Cell Biol. 2007, 8, 491–501. [Google Scholar]
- Foldes-Papp, Z.; Demel, U.; Tilz, G.P. Laser scanning confocal fluorescence microscopy: An overview. Int. Immunopharmacol. 2003, 3, 1715–1729. [Google Scholar]
- Kohler, B.; Blatt, M.R. Protein phosphorylation activates the guard cell Ca2+ channel and is a prerequisite for gating by abscisic acid. Plant J. 2002, 32, 185–194. [Google Scholar]
- Garcia-Mata, C.; Gay, R.; Sokolovski, S.; Hills, A.; Lamattina, L.; Blatt, M.R. Nitric oxide regulates K+ and Cl− channels in guard cells through a subset of abscisic acid-evoked signaling pathways. Proc. Natl. Acad. Sci. USA 2003, 100, 11116–11121. [Google Scholar]
- Allen, G.J.; Kwak, J.M.; Chu, S.P.; Llopis, J.; Tsien, R.Y.; Harper, J.F.; Schroeder, J.I. Cameleon calcium indicator reports cytoplasmic calcium dynamics in Arabidopsis guard cells. Plant J. 1999, 19, 735–747. [Google Scholar]
- Costa, A.; Candeo, A.; Fieramonti, L.; Valentini, G.; Bassi, A. Calcium dynamics in root cells of Arabidopsis thaliana visualized with selective plane illumination microscopy. PLoS One 2013, 8, e75646. [Google Scholar]
- Tsien, R.Y. New calcium indicators and buffers with high selectivity against magnesium and protons: design synthesis and properties of prototype structures. Biochemistry 1980, 19, 2396–2404. [Google Scholar]
- Rudolf, R.; Mongillo, M.; Rizzuto, R.; Pozzan, T. Looking forward to seeing calcium. Nat. Rev. Mol. Cell Biol. 2003, 4, 579–586. [Google Scholar]
- Shimomura, O.; Johnson, F.H.; Saiga, Y. Extraction purification and properties of aequorin a bioluminescent protein from the luminous hydromedusan Aequorea. J. Cell Comp. Physiol. 1962, 59, 223–239. [Google Scholar]
- Knight, M.R.; Read, N.D.; Campbell, A.K.; Trewavas, A.J. Imaging calcium dynamics in living plants using semi-synthetic recombinant aequorins. J. Cell Biol. 1993, 121, 83–90. [Google Scholar]
- Miyawaki, A.; Llopis, J.; Heim, R.; McCaffery, J.M.; Adams, J.A.; Ikura, M.; Tsien, R.Y. Fluorescent indicators for Ca2+ based on green fluorescent proteins and calmodulin. Nature 1997, 388, 882–887. [Google Scholar]
- Jares-Erijman, E.A.; Jovin, T.M. FRET imaging. Nat. Biotechnol. 2003, 21, 1387–1395. [Google Scholar]
- Sekar, R.B.; Periasamy, A. Fluorescence resonance energy transfer (FRET) microscopy imaging of live cell protein localizations. J. Cell Biol. 2003, 160, 629–633. [Google Scholar]
- Arimura, G.; Kopke, S.; Kunert, M.; Volpe, V.; David, A.; Brand, P.; Dabrowska, P.; Maffei, M.E.; Boland, W. Effects of feeding Spodoptera littoralis on lima bean leaves: IV Diurnal and nocturnal damage differentially initiate plant volatile emission. Plant Physiol. 2008, 146, 965–973. [Google Scholar]
- Kanchiswamy, C.N.; Mohanta, T.K.; Capuzzo, A.; Occhipinti, A.; Verrillo, F.; Maffei, M.E.; Malnoy, M. Differential expression of CPKs and cytosolic Ca2+ variation in resistant and susceptible apple cultivars (Malus × domestica) in response to the pathogen Erwinia amylovora and mechanical wounding. BMC Genomics 2013, 14, 760. [Google Scholar]
- Kanchiswamy, C.N.; Takahashi, H.; Quadro, S.; Maffei, M.E.; Bossi, S.; Bertea, C.; Zebelo, S.A.; Muroi, A.; Ishihama, N.; Yoshioka, H.; et al. Regulation of Arabidopsis defense responses against Spodoptera littoralis by CPK-mediated calcium signaling. BMC Plant Biol. 2010, 10, 97. [Google Scholar]
- Grynkiewicz, G.; Poenie, M.; Tsien, R.Y. A new generation of Ca2+ indicators with greatly improved fluorescence properties. J. Biol. Chem. 1985, 260, 3440–3450. [Google Scholar]
- Pierson, E.S.; Miller, D.D.; Callaham, D.A.; Shipley, A.M.; Rivers, B.A.; Cresti, M.; Hepler, P.K. Pollen tube growth is coupled to the extracellular calcium ion flux and the intracellular calcium gradient: effect of BAPTA-type buffers and hypertonic media. Plant Cell 1994, 6, 1815–1828. [Google Scholar]
- Bothwell, J.H.; Brownlee, C.; Hetherington, A.M.; Ng, C.K.; Wheeler, G.L.; McAinsh, M.R. Biolistic delivery of Ca2+ dyes into plant and algal cells. Plant J. 2006, 46, 327–335. [Google Scholar]
- Romano, L.A.; Jacob, T.; Gilroy, S.; Assmann, S.M. Increases in cytosolic Ca2+ are not required for abscisic acid-inhibition of inward K+ currents in guard cells of Vicia faba L. Planta 2000, 211, 209–217. [Google Scholar]
- Zebelo, S.A.; Matsui, K.; Ozawa, R.; Maffei, M.E. Plasma membrane potential depolarization and cytosolic calcium flux are early events involved in tomato (Solanum lycopersicon) plant-to-plant communication. Plant Sci. Biol. 2012, 196, 93–100. [Google Scholar]
- Bricchi, I.; Occhipinti, A.; Bertea, C.M.; Zebelo, S.A.; Brillada, C.; Verrillo, F.; de Castro, C.; Molinaro, A.; Faulkner, C.; Maule, A.J.; et al. Separation of early and late responses to herbivory in Arabidopsis by changing plasmodesmal function. Plant J. 2012. [Google Scholar] [CrossRef]
- Bush, D.S. Regulation of cytosolic calcium in plants. Plant Physiol. 1993, 103, 7–13. [Google Scholar]
- Dauphin, A.; Gerard, J.; Lapeyrie, F.; Legue, V. Fungal hypaphorine reduces growth and induces cytosolic calcium increase in root hairs of Eucalyptus globulus. Protoplasma 2007, 231, 83–88. [Google Scholar]
- Zhang, W.-H.; Rengel, Z.; Kuo, J. Determination of intracellular Ca2+ in cells of intact wheat roots: Loading of acetoxymethyl ester of Fluo-3 under low temperature. Plant J. 1998, 15, 147–151. [Google Scholar]
- Bush, D.S.; Biswas, A.K.; Jones, R.L. Gibberellic-acid-stimulated Ca2+ accumulation in endoplasmic reticulum of barley aleurone: Ca2+ transport and steady-state levels. Planta 1989, 178, 411–420. [Google Scholar]
- Maffei, M.; Bossi, S.; Spiteller, D.; Mithofer, A.; Boland, W. Effects of feeding Spodoptera littoralis on lima bean leaves I Membrane potentials intracellular calcium variations oral secretions and regurgitate components. Plant Physiol. 2004, 134, 1752–1762. [Google Scholar]
- Mohanta, T.K.; Occhipinti, A.; Zebelo, S.A.; Foti, M.; Fliegmann, J.; Bossi, S.; Maffei, M.E.; Bertea, C.M. Ginkgo biloba responds to herbivory by activating early signaling and direct defenses. PLoS One 2012, 7, e32822. [Google Scholar]
- Qu, H.; Jiang, X.; Shi, Z.; Liu, L.; Zhang, S. Fast loading ester fluorescent Ca2+ and pH indicators into pollen of Pyrus pyrifolia. J. Plant Res. 2012, 125, 185–195. [Google Scholar]
- Zhao, X.; Wang, Y.J.; Wang, Y.L.; Wang, X.L.; Zhang, X. Extracellular Ca2+ alleviates NaCl-induced stomatal opening through a pathway involving H2O2-blocked Na+ influx in Vicia guard cells. J. Plant Physiol. 2011, 168, 903–910. [Google Scholar]
- Liu, G.; Dang, L.; Wang, D.M. The influence of elicitor on the distribution pattern of microtubule and the cytosolic calcium in mesophyll protoplast of wheat. Fen Zi Xi Bao Sheng Wu Xue Bao 2007, 40, 205–213. [Google Scholar]
- Nair, R.; Raina, S.; Keshavarz, T.; Kerrigan, M.J. Application of fluorescent indicators to analyse intracellular calcium and morphology in filamentous fungi. Fungal Biol. 2011, 115, 326–334. [Google Scholar]
- Schulz, A.; Woolley, R.; Tabarin, T.; McDonagh, C. Dextran-coated silica nanoparticles for calcium-sensing. Analyst 2011, 136, 1722–1727. [Google Scholar]
- Wu, X.; Chen, T.; Zheng, M.; Chen, Y.; Teng, N.; Samaj, J.; Baluska, F.; Lin, J. Integrative proteomic and cytological analysis of the effects of extracellular Ca2+ influx on Pinus bungeana pollen tube development. J. Proteome Res. 2008, 7, 4299–4312. [Google Scholar]
- Lu, Y.; Paige, M.F. An ensemble and single-molecule fluorescence spectroscopy investigation of Calcium Green 1 a calcium-ion sensor. J. Fluoresc. 2007, 17, 739–748. [Google Scholar]
- Bagh, S.; Paige, M.F. Ensemble and single-molecule fluorescence spectroscopy of a calcium-ion indicator dye. J. Phys. Chem. A 2006, 110, 7057–7066. [Google Scholar]
- Braun, M.; Richter, P. Relocalization of the calcium gradient and a dihydropyridine receptor is involved in upward bending by bulging of Chara protonemata but not in downward bending by bowing of Chara rhizoids. Planta 1999, 209, 414–423. [Google Scholar]
- Bunney, T.D.; Shaw, P.J.; Watkins, P.A.; Taylor, J.P.; Beven, A.F.; Wells, B.; Calder, G.M.; Drobak, B.K. ATP-dependent regulation of nuclear Ca2+ levels in plant cells. FEBS Lett. 2000, 476, 145–149. [Google Scholar]
- Baird, G.S.; Zacharias, D.A.; Tsien, R.Y. Circular permutation and receptor insertion within green fluorescent proteins. Proc. Natl. Acad. Sci. USA 1999, 96, 11241–11246. [Google Scholar]
- Ottolini, D.; Cali, T.; Brini, M. Measurements of Ca2+ concentration with recombinant targeted luminescent probes. Methods Mol. Biol. 2013, 937, 273–291. [Google Scholar]
- Zhu, X.; Feng, Y.; Liang, G.; Liu, N.; Zhu, J.K. Aequorin-based luminescence imaging reveals stimulus- and tissue-specific Ca2+ dynamics in Arabidopsis plants. Mol. Plant 2013, 6, 444–455. [Google Scholar]
- Knight, H.; Knight, M.R. Recombinant aequorin methods for intracellular calcium measurement in plants. Methods Cell Biol. 1995, 49, 201–216. [Google Scholar]
- Brini, M.; Cali, T.; Ottolini, D.; Carafoli, E. Intracellular calcium homeostasis and signaling. Met. Ions Life Sci. 2013, 12, 119–168. [Google Scholar]
- Cali, T.; Ottolini, D.; Brini, M. Calcium and endoplasmic reticulum-mitochondria tethering in neurodegeneration. DNA Cell Biol. 2013, 32, 140–146. [Google Scholar]
- Bonora, M.; Giorgi, C.; Bononi, A.; Marchi, S.; Patergnani, S.; Rimessi, A.; Rizzuto, R.; Pinton, P. Subcellular calcium measurements in mammalian cells using jellyfish photoprotein aequorin-based probes. Nat. Protoc. 2013, 8, 2105–2118. [Google Scholar]
- Pozzan, T.; Rizzuto, R. Imaging calcium dynamics using targeted recombinant aequorins. CSH Protoc. 2008, 2008. [Google Scholar] [CrossRef]
- Rizzuto, R.; Pinton, P.; Brini, M.; Chiesa, A.; Filippin, L.; Pozzan, T. Mitochondria as biosensors of calcium microdomains. Cell Calcium 1999, 26, 193–199. [Google Scholar]
- Brini, M.; Pinton, P.; Pozzan, T.; Rizzuto, R. Targeted recombinant aequorins: Tools for monitoring [Ca2+] in the various compartments of a living cell. Microsc. Res. Tech. 1999, 46, 380–389. [Google Scholar]
- Pinton, P.; Brini, M.; Bastianutto, C.; Tuft, R.A.; Pozzan, T.; Rizzuto, R. New light on mitochondrial calcium. BioFactors 1998, 8, 243–253. [Google Scholar]
- Pinton, P.; Pozzan, T.; Rizzuto, R. The Golgi apparatus is an inositol 145-trisphosphatesensitive Ca2+ store with functional properties distinct from those of the endoplasmic reticulum. EMBO J. 1998, 17, 5298–5308. [Google Scholar]
- Maffei, M.E.; Mithofer, A.; Arimura, G.; Uchtenhagen, H.; Bossi, S.; Bertea, C.M.; Cucuzza, L.S.; Novero, M.; Volpe, V.; Quadro, S.; et al. Effects of feeding Spodoptera littoralis on lima bean leaves III Membrane depolarization and involvement of hydrogen peroxide. Plant Physiol. 2006, 140, 1022–1035. [Google Scholar]
- Marti, M.C.; Stancombe, M.A.; Webb, A.A. Cell- and stimulus type-specific intracellular free Ca2+ signals in Arabidopsis. Plant Physiol. 2013, 163, 625–634. [Google Scholar]
- Allen, D.G.; Blinks, J.R.; Prendergast, F.G. Aequorin luminescence: Relation of light emission to calcium concentration—A calcium-independent component. Science 1977, 195, 996–998. [Google Scholar]
- Romoser, V.A.; Hinkle, P.M.; Persechini, A. Detection in living cells of Ca2+-dependent changes in the fluorescence emission of an indicator composed of two green fluorescent protein variants linked by a calmodulin-binding sequence A new class of fluorescent indicators. J. Biol. Chem. 1997, 272, 13270–13274. [Google Scholar]
- Whitaker, M. Genetically encoded probes for measurement of intracellular calcium. Methods Cell Biol. 2010, 99, 153–182. [Google Scholar]
- Tozawa, Y.; Nozawa, A.; Kanno, T.; Narisawa, T.; Masuda, S.; Kasai, K.; Nanamiya, H. Calcium-activated (p)ppGpp synthetase in chloroplasts of land plants. J. Biol. Chem. 2007, 282, 35536–35545. [Google Scholar]
- Nagai, T.; Sawano, A.; Park, E.S.; Miyawaki, A. Circularly permuted green fluorescent proteins engineered to sense Ca2+. Proc. Natl. Acad. Sci. USA 2001, 98, 3197–3202. [Google Scholar]
- Miyawaki, A.; Griesbeck, O.; Heim, R.; Tsien, R.Y. Dynamic and quantitative Ca2+ measurements using improved cameleons. Proc. Natl. Acad. Sci. USA 1999, 96, 2135–2140. [Google Scholar]
- Palmer, A.E.; Tsien, R.Y. Measuring calcium signaling using genetically targetable fluorescent indicators. Nat. Protoc. 2006, 1, 1057–1065. [Google Scholar]
- Allen, G.J.; Chu, S.P.; Harrington, C.L.; Schumacher, K.; Hoffmann, T.; Tang, Y.Y.; Grill, E.; Schroeder, J.I. A defined range of guard cell calcium oscillation parameters encodes stomatal movements. Nature 2001, 411, 1053–1057. [Google Scholar]
- Sun, J.; Miwa, H.; Downie, J.A.; Oldroyd, G.E. Mastoparan activates calcium spiking analogous to Nod factor-induced responses in Medicago truncatula root hair cells. Plant Physiol. 2007, 144, 695–702. [Google Scholar]
- Miwa, H.; Sun, J.; Oldroyd, G.E.; Downie, J.A. Analysis of Nod-factor-induced calcium signaling in root hairs of symbiotically defective mutants of Lotus japonicus. Mol. Plant-Microbe Interact. 2006, 19, 914–923. [Google Scholar]
- Kosuta, S.; Hazledine, S.; Sun, J.; Miwa, H.; Morris, R.J.; Downie, J.A.; Oldroyd, G.E. Differential and chaotic calcium signatures in the symbiosis signaling pathway of legumes. Proc. Natl. Acad. Sci. USA 2008, 105, 9823–9828. [Google Scholar]
- Nagai, T.; Yamada, S.; Tominaga, T.; Ichikawa, M.; Miyawaki, A. Expanded dynamic range of fluorescent indicators for Ca2+ by circularly permuted yellow fluorescent proteins. Proc. Natl. Acad. Sci. USA 2004, 101, 10554–10559. [Google Scholar]
- Monshausen, G.B.; Bibikova, T.N.; Messerli, M.A.; Shi, C.; Gilroy, S. Oscillations in extracellular pH and reactive oxygen species modulate tip growth of Arabidopsis root hairs. Proc. Natl. Acad. Sci. USA 2007, 104, 20996–21001. [Google Scholar]
- Monshausen, G.B.; Messerli, M.A.; Gilroy, S. Imaging of the Yellow Cameleon 36 indicator reveals that elevations in cytosolic Ca2+ follow oscillating increases in growth in root hairs of Arabidopsis. Plant Physiol. 2008, 147, 1690–1698. [Google Scholar]
- Verrillo, F.; Occhipinti, A.; Kanchiswamy, C.N.; Maffei, M.E. Quantitative analysis of herbivore-induced cytosolic calcium by using a Cameleon (YC 36) calcium sensor in Arabidopsis thaliana. J. Plant Physiol. 2014, 171, 136–139. [Google Scholar]
- Behera, S.; Kudla, J. High-resolution imaging of cytoplasmic Ca2+ dynamics in Arabidopsis roots. Cold Spring Harb. Protoc. 2013, 2013. [Google Scholar] [CrossRef]
- Behera, S.; Kudla, J. Live cell imaging of cytoplasmic Ca2+ dynamics in Arabidopsis guard cells. Cold Spring Harb. Protoc. 2013, 2013, 665–669. [Google Scholar]
- Monshausen, G.B.; Bibikova, T.N.; Weisenseel, M.H.; Gilroy, S. Ca2+ regulates reactive oxygen species production and pH during mechanosensing in Arabidopsis roots. Plant Cell 2009, 21, 2341–2356. [Google Scholar]
- Gjetting, S.K.; Schulz, A.; Fuglsang, A.T. Perspectives for using genetically encoded fluorescent biosensors in plants. Front. Plant Sci. 2013, 4, 234. [Google Scholar]
- Allen, G.J.; Murata, Y.; Chu, S.P.; Nafisi, M.; Schroeder, J.I. Hypersensitivity of abscisic acid-induced cytosolic calcium increases in the Arabidopsis farnesyltransferase mutant era1-2. Plant Cell 2002, 14, 1649–1662. [Google Scholar]
- Allen, G.J.; Chu, S.P.; Schumacher, K.; Shimazaki, C.T.; Vafeados, D.; Kemper, A.; Hawke, S.D.; Tallman, G.; Tsien, R.Y.; Harper, J.F.; et al. Alteration of stimulus-specific guard cell calcium oscillations and stomatal closing in Arabidopsis det3 mutant. Science 2000, 289, 2338–2342. [Google Scholar]
- Allen, G.J.; Kuchitsu, K.; Chu, S.P.; Murata, Y.; Schroeder, J.I. Arabidopsis abi1-1 and abi2-1 phosphatase mutations reduce abscisic acid-induced cytoplasmic calcium rises in guard cells. Plant Cell 1999, 11, 1785–1798. [Google Scholar]
- Sieberer, B.J.; Chabaud, M.; Timmers, A.C.; Monin, A.; Fournier, J.; Barker, D.G. A nuclear-targeted cameleon demonstrates intranuclear Ca2+ spiking in Medicago truncatula root hairs in response to rhizobial nodulation factors. Plant Physiol. 2009, 151, 1197–1206. [Google Scholar]
- Iwano, M.; Shiba, H.; Miwa, T.; Che, F.S.; Takayama, S.; Nagai, T.; Miyawaki, A.; Isogai, A. Ca2+ dynamics in a pollen grain and papilla cell during pollination of Arabidopsis. Plant Physiol. 2004, 136, 3562–3571. [Google Scholar]
- Miwa, H.; Sun, J.; Oldroyd, G.E.; Downie, J.A. Analysis of calcium spiking using a cameleon calcium sensor reveals that nodulation gene expression is regulated by calcium spike number and the developmental status of the cell. Plant J. 2006, 48, 883–894. [Google Scholar]
- Richter, G.L.; Monshausen, G.B.; Krol, A.; Gilroy, S. Mechanical stimuli modulate lateral root organogenesis. Plant Physiol. 2009, 151, 1855–1866. [Google Scholar]
- Rincon-Zachary, M.; Teaster, N.D.; Sparks, J.A.; Valster, A.H.; Motes, C.M.; Blancaflor, E.B. Fluorescence resonance energy transfer-sensitized emission of yellow cameleon 360 reveals root zone-specific calcium signatures in Arabidopsis in response to aluminum and other trivalent cations. Plant Physiol. 2010, 152, 1442–1458. [Google Scholar]
- Palmer, A.E.; Giacomello, M.; Kortemme, T.; Hires, S.A.; Lev-Ram, V.; Baker, D.; Tsien, R.Y. Ca2+ indicators based on computationally redesigned calmodulin-peptide pairs. Chem. Biol. 2006, 13, 521–530. [Google Scholar]
- Patterson, G.H.; Knobel, S.M.; Sharif, W.D.; Kain, S.R.; Piston, D.W. Use of the green fluorescent protein and its mutants in quantitative fluorescence microscopy. Biophys. J. 1997, 73, 2782–2790. [Google Scholar]


| Ca2+ indicator | Chemical structure | Properties | References |
|---|---|---|---|
| FLUO-3 | ![]() | The most important properties of Fluo-3 are an absorption spectrum compatible with excitation at 488 nm by argon-ion laser sources and a very large fluorescence intensity increase in response to Ca2+ binding. | [49,51–53] |
| FLUO-4 | ![]() | Fluo-4 and its esterified form Fluo4-AM, has a visible wavelength excitation (compatible with argon-ion laser sources) and a large fluorescence increase upon binding Ca2+. | [54] |
| FLUO-4FF, FLUO-5F, FLUO-5N | ![]() | These are analogs of Fluo-4 with lower Ca2+- binding affinity, making them suitable for detecting intracellular calcium levels in the 1 μM to 1 mM range that would saturate the response of Fluo-3 and Fluo-4 | [11] |
| FLUO-4 DEXTRANS | These are Fluo-4 coupled to a biologically inert dextran carrier (molecular weight = 10,000), providing a new and potentially valuable tool for measuring Ca2+ transients. | [55] | |
| CALCIUM GREEN™-1 | ![]() | Structurally similar to Fluo-3, but is more fluorescent at low calcium concentrations, facilitating the determination of base line Ca2+ levels and increasing the visibility of resting cells | [56,57] |
| CALCIUM GREEN™-2 | ![]() | It has two fluorescent reporter groups, which are believed to quench one another in the absence of calcium, that undergo a much larger increase in fluorescence emission upon calcium binding than does Calcium Green™-1. Its lower affinity for calcium makes it particularly suited to measuring relatively high spikes of calcium, up to 25 μM. | [58] |
| CALCIUM ORANGE™ | ![]() | These are spectrally similar to tetramethylrhodamine and Texas Red. The long-wavelength spectral characteristics of these indicators allow them to be used in combination with fluorescein and ultraviolet excitable dyes. | [37,44,50,59] |
| CALCIUM CRIMSON™ | ![]() | ||
| INDO-1 | ![]() | These are “dual-emission” and “dual-excitation” types of calcium dyes, respectively. To utilize either of these indicators, however, appropriate modifications of standard CLSM need to be made, such as a high-power argon-ion laser is required to obtain ultraviolet (UV) excitation, and compensatory changes along the optical path must be incorporated to deal with the lens aberrations and reduced signal throughputs that are associated with UV illuminations. At low concentrations of the indicator, use of the 340/380 nm excitation ratio for Fura-2 or the 405/485 nm emission ratio for Indo-1 allows accurate measurements of the intracellular Ca2+ concentration. Measurements of Indo-1 and Fura-2 fluorescence can usually be made over a period of an hour without significant loss of fluorescence resulting from either leakage or bleaching. In addition, Fura-2 and Indo-1 are bright enough to permit measurements at intracellular concentrations of dye unlikely to cause significant Ca2+ buffering or damping of Ca2+ transients. | [11,46,60] |
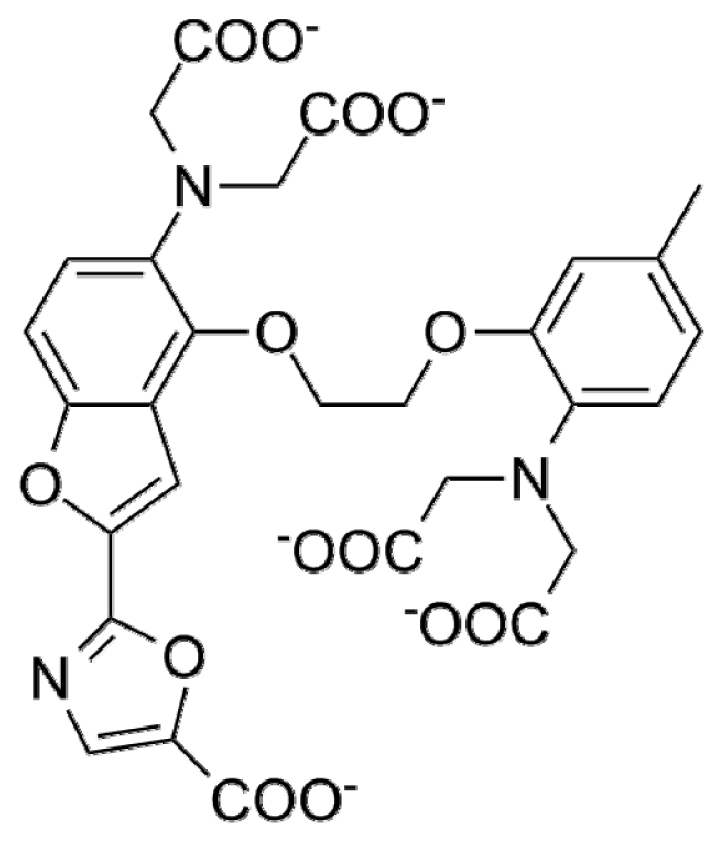
| FURA-2 | ![]() | ||
| RHODAMINE-BASED INDICATORS. | ![]() | Rhod-2 has fluorescence excitation and emission maxima at 552 and 581 nm, respectively. Variants with longer-wave length excitation and emission (X-Rhod-1) and lower Ca2+-binding affinity (Rhod-5N, Rhod-FF, etc.) have been developed (i.e., at Molecular Probes). Rhod-2 is used as a selective indicator for mitochondrial Ca2+ in most eukaryotic cells. | [11] |
| Cameleon family | Suitability | Stimulus/response | References |
|---|---|---|---|
| YC2.1 | Suitable to use under various physiological condition because of their lower sensitivity to pH. | Ca2+ fluxes in Arabidopsis guard cells, Ca2+ elicitation in NOD factor of medicago tranculata, Ca2+ role in plant interaction with symbiotic bacteria (rhizobium) and fungal (mycorrhizal) root colonization. | [27,33,82–85,93–96] |
| Nucleoplasmin- YC2.1 | Suitable for nuclear matrix localization study | Sieberer and colleague showed that Ca2+ spiking localized to nuclear matrix in the root hairs in response to external nodulation factors. | [97] |
| D3cpv | Suitable for studying peroxisomal Ca2+ dynamics | Costa and colleagues showed peroxisomal Ca2+ dynamics under stress signaling. | [17] |
| YC4.6 | Suitable for studying endoplasmic reticulum Ca2+ dynamics | Iwano and colleagues showed pollen tube endoplasmic reticulum Ca2+ dynamics | [19] |
| YC3.6 | Substitution of acceptor yellow fluorescent protein yielded five fold increased signal sensitivity, which allowed imaging of both temporal and dynamic signaling of cytosolic Ca2+ fluxes. | Used to study Ca2+ dynamics ranging from roots and root hairs, guard cells, pollen and leaves upon mechanical and herbivore damage. | [19,27,61,79,82,84, 86–89,92,94,96,98–101] |
© 2014 by the authors; licensee MDPI, Basel, Switzerland This article is an open access article distributed under the terms and conditions of the Creative Commons Attribution license (http://creativecommons.org/licenses/by/3.0/).
Share and Cite
Kanchiswamy, C.N.; Malnoy, M.; Occhipinti, A.; Maffei, M.E. Calcium Imaging Perspectives in Plants. Int. J. Mol. Sci. 2014, 15, 3842-3859. https://doi.org/10.3390/ijms15033842
Kanchiswamy CN, Malnoy M, Occhipinti A, Maffei ME. Calcium Imaging Perspectives in Plants. International Journal of Molecular Sciences. 2014; 15(3):3842-3859. https://doi.org/10.3390/ijms15033842
Chicago/Turabian StyleKanchiswamy, Chidananda Nagamangala, Mickael Malnoy, Andrea Occhipinti, and Massimo E. Maffei. 2014. "Calcium Imaging Perspectives in Plants" International Journal of Molecular Sciences 15, no. 3: 3842-3859. https://doi.org/10.3390/ijms15033842
APA StyleKanchiswamy, C. N., Malnoy, M., Occhipinti, A., & Maffei, M. E. (2014). Calcium Imaging Perspectives in Plants. International Journal of Molecular Sciences, 15(3), 3842-3859. https://doi.org/10.3390/ijms15033842











