A Freshwater Streptomyces, Isolated from Tyume River, Produces a Predominantly Extracellular Glycoprotein Bioflocculant
Abstract
:1. Introduction
2. Results and Discussion
2.1. Actinobacteria Identification
2.2. The Effect of Starter Culture Density on Bioflocculant Activity
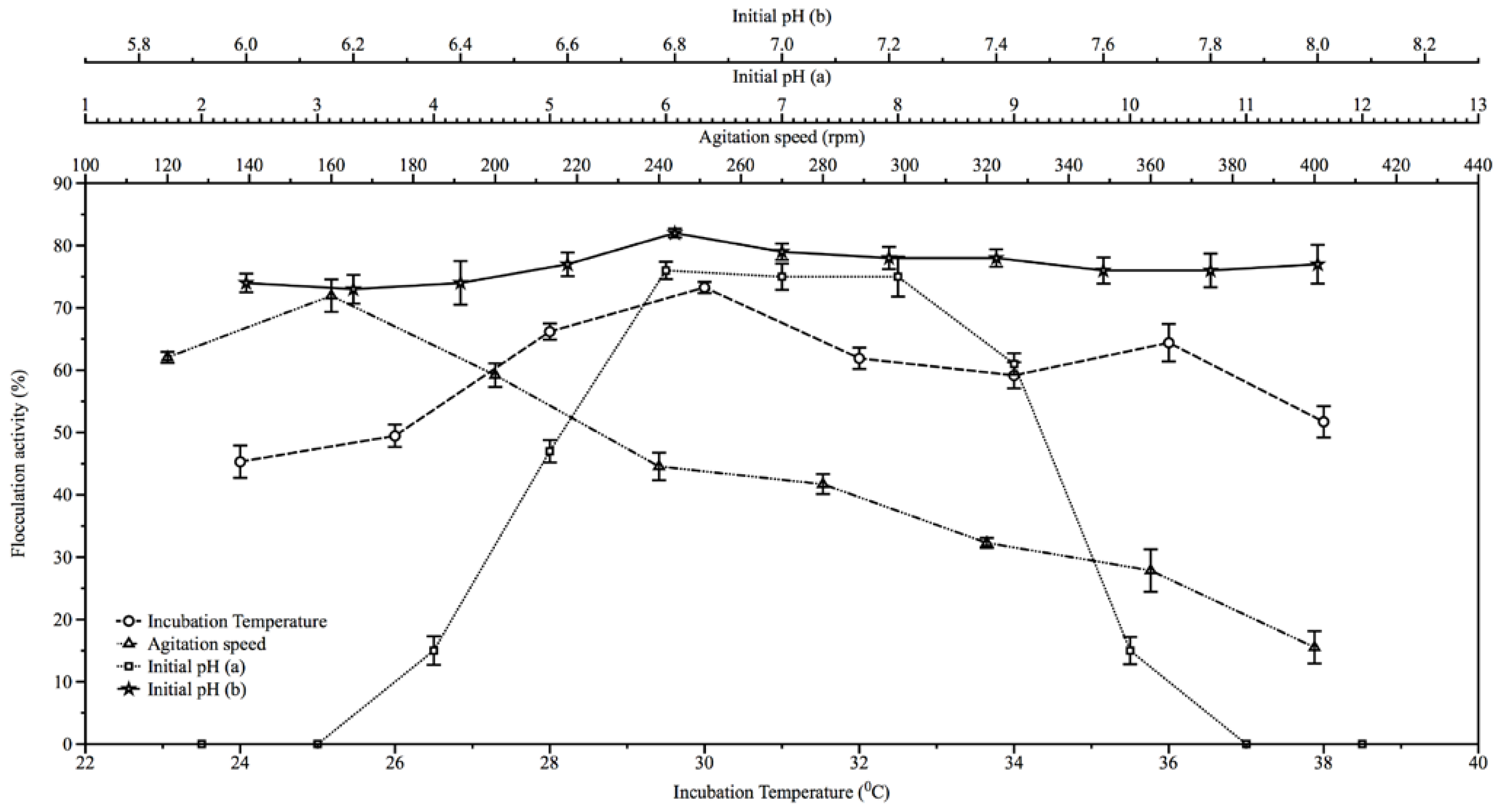
2.3. Effect of Culture Conditions on Bioflocculant Production
2.4. Effect of Nutritional Factors on Bioflocculant Production
2.5. Kinetics of Bioflocculant Production
2.6. Effects of Cations and pH on Flocculation Activity of Purified Bioflocculant
2.7. Compositional Analyses of Purified Bioflocculant
2.8. FTIR Spectroscopy, SEM Micrography and Elemental Composition of Bioflocculant
2.9. Thermal Analyses of Purified Bioflocculant
3. Experimental Section
3.1. Activation of Test Bacteria
3.2. Screening for Bioflocculant Production
3.3. Effect of Inoculum Size on Bioflocculant Production
3.4. Measurement of Flocculation Activity
3.5. Effect of Culture Conditions
3.6. Effects of Carbon, Nitrogen and Cation sources on Bioflocculant Production
3.7. Kinetics of Bioflocculant Production
3.8. Purification of Bioflocculant
3.9. Effect of pH and Cations on Flocculation Activity
3.10. Compositional Analyses of Bioflocculants
3.11. SEM Imaging, Elemental Analysis and FTIR Spectroscopy of Purified Bioflocculant
3.12. Thermal Studies of Purified Bioflocculant
3.13. Identification of the Test Actinobacteria
4. Conclusions
Acknowledgments
References
- Toyozo, H.; Yasumitsu, M. Reuse of carwash water with a cellulose acetate ultrafiltration membrane aided by flocculation and activated carbon treatments. Desalination 2004, 169, 257–267. [Google Scholar]
- Deng, S.B.; Yu, G.; Ting, Y.P. Production of a bioflocculant by Aspergillus parasiticus and its application in dye removal. Colloids Surf. B Biointerfaces 2005, 44, 179–186. [Google Scholar]
- Salipira, K.L.; Mamba, B.B.; Krause, R.W.; Malefetse, T.J.; Durbach, S.H. Cyclodextrin polyurethanes polymerised with carbon nanotubes for the removal of organic pollutants. Water SA 2008, 34, 113–118. [Google Scholar]
- Liu, W.; Yuan, H.L.; Yang, J.S.; Li, B.Z. Characterization of bioflocculants from biologically aerated filter backwashed sludge and its application in dying wastewater treatment. Bioresour. Technol 2009, 100, 2629–2632. [Google Scholar]
- Jang, J.H.; Ike, M.; Kim, S.M.; Fujita, M. Production of a novel bioflocculant by fed-batch culture of Citrobacter sp. Biotechnol. Lett 2001, 23, 593–597. [Google Scholar]
- Salehizadeh, H.; Shojaosadati, S.A. Extracellular biopolymeric flocculants recent trends and biotechnological importance. Biotechnol. Adv 2001, 19, 371–385. [Google Scholar]
- Haijun, W.; Qingbiao, L.; Rui, L.; Yuanpeng, W.; Xiaoling, Z.; Ning, H. Fed-batch production of a bioflocculant from Corynebacterium glutamicum. J. Ind. Microbiol. Biotechnol 2010, 37, 1203–1209. [Google Scholar]
- Yokoi, H.; Natsuda, O.; Sachio, J.H.; Takasaki, Y. characteristics of a biopolymer flocculant produced by Bacillus sp. PY-90. J. Ferment. Bioeng 1995, 79, 378–380. [Google Scholar]
- Dearfield, K.L.; Albernathy, C.O.; Ottley, M.S.; Brantner, J.H.; Hayes, P.F. Acrylamide: Its metabolism, developmental and reproductive effects, genotoxicity, and carcinogenicity. Mutat. Res 1988, 195, 45–77. [Google Scholar]
- Smith, M.A.; Perry, G.; Sayre, L.M.; Anderson, V.E.; Beal, M.F.; Kowall, N. Oxidative damage in Alzheimer’s. Nature 1996, 382, 120–121. [Google Scholar]
- Stephens, C. Microbiology: Breaking down biofilms. Curr. Biol 2002, 12, 132–134. [Google Scholar]
- Rudén, C. Acrylamide and cancer risk-expert risk assessments and the public debate. Food Chem. Toxicol 2004, 42, 335–349. [Google Scholar]
- He, N.; Li, Y.; Chen, J. Production of a novel polygalacturonic acid bioflocculant REA-11 by Corynebacterium glutamicum. Bioresour. Technol 2004, 94, 99–105. [Google Scholar]
- Cosa, S.; Mabinya, L.V.; Olaniran, O.A.; Okoh, O.O.; Bernard, K.; Deyzel, S.; Okoh, A.I. Bioflocculant production by Virgibacillus sp. Rob isolated from the bottom sediment of Algoa Bay in the eastern cape, South Africa. Molecule 2011, 16, 2431–2442. [Google Scholar]
- Mullins, J.T.; NeSmith, C. Integrated ethanol production and utilization system for small farms. Biomass 1984, 6, 155–166. [Google Scholar]
- Gibbons, W.R.; Westby, C.A. Effects of inoculum size on solid-phase fermentation of fodder beets for fuel ethanol production. Appl. Environ. Microb 1986, 52, 960–962. [Google Scholar]
- Mabinya, V.L.; Cosa, S.; Nwodo, U.U.; Okoh, A.I. Studies on bioflocculant production by Arthrobacter sp. Raats, a freshwater bacteria isolated from Tyume River, South Africa. Int. J. Mol. Sci 2012, 13, 1054–1065. [Google Scholar]
- Gonzalez, J.F.; Hu, W.S. Effect of glutamate on the degradation of pentachlorophenol by Flavobacterium sp. Appl. Microbiol. Biotechnol 1991, 36, 100–104. [Google Scholar]
- Takagi, H.; Kadowaki, K. Poly galactosamine produced by a microorganism. Chitin Nat. Technol 1985, 3, 121–128. [Google Scholar]
- Lu, W.; Zhang, T.; Zhang, D.; Li, C.; Wen, J.; Du, L. A novel bioflocculant produced by Enterobacter aerogenes and its use in defecating the trona suspension. Biochem. Eng. J 2005, 27, 1–7. [Google Scholar]
- Gong, W.; Wang, S.; Sun, F.; Liu, X.W.; Yue, Q.Y.; Gao, B.Y. Bioflocculant production by culture of Serratia ficaria and its application in wastewater treatment. Bioresour. Technol 2008, 99, 4668–4674. [Google Scholar]
- Piyo, N.; Cosa, S.; Mabinya, L.V.; Okoh, A.I. Assessment of bioflocculant production by Bacillus sp. Gilbert, a marine bacterium isolated from the bottom sediment of Algoa Bay. Mar. Drugs 2011, 9, 1232–1242. [Google Scholar]
- Li, W.W.; Zhou, W.Z.; Zhang, Y.Z.; Wang, J.; Zhu, X.B. Flocculation behaviour and mechanism of an exopolysaccharide from the deepsea psychrophilic bacterium Pseudoalteromonas sp. SM9913. Bioresour. Technol 2008, 99, 6893–6899. [Google Scholar]
- Wang, L.; Ma, F.; Qu, Y.; Sun, D.; Li, A.; Guo, J.; Yu, B. Characterization of a compound bioflocculant produced by mixed culture of Rhizobium radiobacter F2 and Bacillus sphaeicus F6. World J. Microbiol. Biotechnol 2011, 27, 2559–2565. [Google Scholar]
- He, N.; Li, Y.; Chen, J.; Lun, S.Y. Identification of a novel bioflocculant from a newly isolated Corynebacterium glutamicum. Biochem. Eng. J 2002, 11, 137–148. [Google Scholar]
- Li, J.; Kisara, K.; Danielsson, S.; Lindstrom, M.E.; Gellerstedt, G. An improved methodology for the quantification of Uronic Acid Units in Xylans and other polysaccharides. Carbohydr. Res 2007, 342, 1442–1449. [Google Scholar]
- Schmitt, J.; Flemming, H. FTIR-spectroscopy in microbial and material analysis. Int. Biodeterior. Biodegrad 1998, 41, 1–11. [Google Scholar]
- Coates, J. Interpretation of Infrared Spectra, a Practical Approach. In Encyclopedia of Analytical Chemistry; Meyers, R.A., Ed.; John Wiley & Sons Ltd: Chichester, UK, 2000. [Google Scholar]
- Niu, S.; Han, K.; Zhou, F.; Lu, C. Thermogravimetric analysis of the decomposition characteristics of two kinds of calcium based organic compounds. Powder Technol 2011, 209, 46–52. [Google Scholar]
- Zhang, Z.Q.; Lin, B.; Xia, S.Q.; Wang, X.J.; Yang, A.M. Production and application of a bioflocculant by multiple-microorganism consortia using brewery wastewater as carbon source. J. Environ. Sci 2007, 19, 660–666. [Google Scholar]
- National Committee for Clinical Laboratory Standards, Methods for Dilution in Antimicrobial Susceptibility Tests: Approved Standard M2-A5; National Committee for Clinical Laboratory Standards: Vilanova, PA, USA, 1993.
- Wu, J.Y.; Ye, H.F. Characterization and flocculating properties of an extracellular biopolymer produced from a Bacillus subtilis DYU1 isolate. Proc. Biochem 2007, 42, 1114–1123. [Google Scholar]
- Kumar, C.G.; Joo, H.S.; Choi, J.W.; Koo, Y.M.; Chang, C.S. Purification and characterization of an extracellular polysaccharide from haloalkalophilic Bacillus sp. I-450. Enzym. Microbial. Technol 2004, 34, 673–681. [Google Scholar]
- Dubois, M.; Gilles, K.A.; Hamilton, J.K.; Rebers, P.A.; Smith, F. Colorimetric method for determination of sugars and related substances. Anal. Chem 1956, 28, 350–356. [Google Scholar]
- Lowry, O.H.; Rosebrough, N.J.; Farr, A.L.; Randall, R.J. Protein measurement with the folin-phenol reagents. J. Biol. Chem 1951, 193, 265–275. [Google Scholar]
- Zhang, W. Biological-Chemical Analysis of Glycoconjugates, 2nd ed; Zhejiang University Press: Hangzhou, China, 2003. [Google Scholar]
- Chaplin, M.F.; Kennedy, J.F. Carbohydrate Analysis, 2nd ed; Oxford University Press: New York, NY, USA, 1994. [Google Scholar]
- Cook, A.E.; Meyers, P.R. Rapid identification of filamentous actinomycetes to the genus level using genus-specific 16S rRNA gene restriction fragment patterns. Int. J. Syst. Evol. Microbiol 2003, 53, 1907–1915. [Google Scholar]






| Carbon Source | Glucose | Lactose | Fructose | Sucrose | Maltose | Starch | |
|---|---|---|---|---|---|---|---|
| Max. Flocculation activity (%) | 89.26 | 72.54 | 86.41 | 59.33 | 43.0 | 38.9 | |
| Bioflocculant yield (g/L) | 3.37 ± 0.22 | 2.91 ± 0.40 | 3.4 ± 0.17 | 2.7 ± 0.13 | 1.95 ± 0.37 | 1.52 ± 0.31 | |
| Nitrogen Source | Urea | (NH4)2SO4 | (NH4)2NO3 | (NH4)2Cl4 | Peptone | ||
| Max. Flocculation activity (%) | 69.18 | 76.27 | 53.45 | 40.18 | 65.63 | ||
| Bioflocculant yield (g/L) | 1.72 ± 0.09 | 3.26 ± 0.81 | 2.51 ± 0.19 | 1.84 ± 0.26 | 2.93 ± 0.31 | ||
| Cation Source | KCl | NaCl | MgCl2 | CaSO4·H2O | MnCl·4H2O | FeSO4 | FeCl3 |
| Max. Flocculation activity (%) | 34.66 | 29.58 | 73.19 | 61.74 | 46.19 | 33.18 | 21.89 |
| Bioflocculant yield (g/L) | 1.64 ± 0.33 | 1.26 ± 0.52 | 3.39 ± 0.05 | 2.71 ± 0.38 | 2.64 ± 0.71 | 1.85 ± 0.51 | 0.98 ± 0.31 |
| Bioflocculant | Cation Sources/Flocculation Rate (%) | |||||||||
|---|---|---|---|---|---|---|---|---|---|---|
| Na+ | K+ | Mg2+ | Mn2+ | Ca2+ | Fe2+ | Fe3+ | ||||
| PPB | 56 ± 1.4 | 49± 2.2 | 76 ± 0.9 | 62 ± 1.6 | 87 ± 1.2 | 47 ± 1.1 | 51 ± 1.9 | |||
| CPB | 32 ± 0.8 | 40 ± 1.7 | 57 ± 2.2 | 54 ± 0.7 | 72 ± 1.9 | 42 ± 0.5 | 46 ± 1.3 | |||
| pH/Flocculation Rate (%) | ||||||||||
| 2 | 3 | 4 | 5 | 6 | 7 | 8 | 9 | 10 | 11 | |
| PPB | 0 | 14 ± 2.5 | 29 ± 1.8 | 38.5 ± 2.4 | 49 ± 2.6 | 87.7 ± 1.9 | 70.7 ± 2.2 | 67 ± 3.1 | 64 ± 2.7 | 36 ± 2.3 |
| CPB | 0 | 0 | 11 ± 0.8 | 27 ± 1.2 | 39 ± 0.6 | 76.9 ± 2.3 | 58.4 ± 1.8 | 52 ± 2.2 | 45 ± 1.7 | 19 ± 1.5 |
| Compound | Origin | Group Frequency Wave Number (cm−1) | Assignment/Functional Group | ||
|---|---|---|---|---|---|
| Assigned | CPB | PPB | |||
| Hydroxy and ether compounds | O–H | 3570–3200 (broad) | 3551.57; 3414.22; 3378.86; 3237.44 | 3550.86; 3413.73 | Hydroxy group, H-bonded OH stretch |
| Amino compounds and Polysaccharides | O–H | 3400–3200 | - | - | Normal “polymeric” OH stretch |
| O–H | 3550–3450 | - | - | Dimeric OH stretch | |
| O–H | 1410–1310 | 1401.49 | 1401.82 | Phenol or tertiary alcohol, OH bend | |
| N–H | 3400–3380 | 3378.86 | 3413.73 | Aliphatic primary amine, N–H stretch | |
| N–H | 3510–3460 | 3551.57 | - | Aromatic primary amine, N–H stretch | |
| >N–H >C=O C–O C–H | 1650–1550 | 1638.21; 1617.85; 1549.42 | 1638.37; 1618.41; 1548.30 | Secondary amine, NH bend associated with proteins, >C=O stretch, Ether, Carboxylic groups, C–H bend from from CH2, C–O bend from carboxylate ions C–O, and C–O–C from polysaccharides | |
| Methyl (–CH3) | –CH | 2935–2915/2865–2845 | 2923.77; 2852.33 | 2915.12; 2850.17; | Methylene C–H asym./sym. stretch |
| >CH– | 2900–2880 | 2852.33 | 2850.17 | Methyne C–H stretch (Methyne) | |
| Aromatic ring (aryl) | C=C–C | 1510–1450 | 1549.42 | 1548.30 | Aromatic ring stretch |
| Thiols and thio-substituted compounds | S–S | 620–600 | 622.63 | 621.84 | Disulfides (S–S stretch) |
| S–S | 500–430 | 478.35 | 478.35 | Aryl disulfides (S–S stretch) | |
| Partial Purified Bioflocculant | ||||||
|---|---|---|---|---|---|---|
| Element Line | Element Wt.% | Wt.% Error | Atom % | Atom % Error | Compound Formula | Compound Wt.% |
| C K | 24.82 | +/−1.05 | 48.22 | +/−2.04 | C | 24.82 |
| N K | 7.14 | +/−1.36 | 11.89 | +/−2.27 | N | 7.14 |
| O K | 20.61 | +/−0.50 | 30.06 | +/−0.72 | O | 20.61 |
| Na K | 0.25 | +/−0.06 | 0.26 | +/−0.06 | Na | 0.25 |
| Mg K | 0.63 | +/−0.04 | 0.60 | +/−0.04 | Mg | 0.63 |
| Al K | 0.14 | +/−0.04 | 0.12 | +/−0.03 | Al | 0.14 |
| P K | 2.84 | +/−0.12 | 2.14 | +/−0.09 | P | 2.84 |
| S K | 1.06 | +/−0.10 | 0.77 | +/−0.07 | S | 1.06 |
| K K | 0.57 | +/−0.05 | 0.34 | +/−0.03 | K | 0.57 |
| Ca K | 0.32 | +/−0.05 | 0.19 | +/−0.03 | Ca | 0.32 |
| Cu K | 1.92 | +/−0.30 | 0.71 | +/−0.11 | Cu | 1.92 |
| In L | 0.00 | +/−0.00 | 0.00 | --- | In | 0.00 |
| Au L | 39.69 | +/−3.40 | 4.70 | +/−0.40 | Au | 39.69 |
| CPC Purified Bioflocculant | ||||||
| C K | 38.09 | +/−0.74 | 64.23 | +/−1.24 | C | 38.09 |
| N K | 3.38 | +/−1.28 | 1.86 | +/−2.29 | N | 3.38 |
| O K | 15.95 | +/−0.72 | 20.19 | +/−0.91 | O | 15.95 |
| Na K | 3.21 | +/−0.14 | 2.83 | +/−0.13 | Na | 3.21 |
| Al K | 0.40 | +/−0.05 | 0.30 | +/−0.04 | Al | 0.40 |
| P K | 1.24 | +/−0.11 | 0.81 | +/−0.07 | P | 1.24 |
| S K | 0.62 | +/−0.15 | 0.39 | +/−0.09 | S | 0.62 |
| Cl K | 8.10 | +/−0.22 | 5.77 | +/−0.13 | Cl | 8.10 |
| K K | 0.33 | +/−0.07 | 0.17 | +/−0.04 | K | 0.33 |
| Cu K | 2.30 | +/−0.45 | 0.73 | +/−0.14 | Cu | 2.30 |
| Au L | 26.47 | +/−4.76 | 2.72 | +/−0.49 | Au | 26.47 |
© 2012 by the authors; licensee Molecular Diversity Preservation International, Basel, Switzerland. This article is an open-access article distributed under the terms and conditions of the Creative Commons Attribution license (http://creativecommons.org/licenses/by/3.0/).
Share and Cite
Nwodo, U.U.; Agunbiade, M.O.; Green, E.; Mabinya, L.V.; Okoh, A.I. A Freshwater Streptomyces, Isolated from Tyume River, Produces a Predominantly Extracellular Glycoprotein Bioflocculant. Int. J. Mol. Sci. 2012, 13, 8679-8695. https://doi.org/10.3390/ijms13078679
Nwodo UU, Agunbiade MO, Green E, Mabinya LV, Okoh AI. A Freshwater Streptomyces, Isolated from Tyume River, Produces a Predominantly Extracellular Glycoprotein Bioflocculant. International Journal of Molecular Sciences. 2012; 13(7):8679-8695. https://doi.org/10.3390/ijms13078679
Chicago/Turabian StyleNwodo, Uchechukwu U., Mayowa O. Agunbiade, Ezekiel Green, Leonard V. Mabinya, and Anthony I. Okoh. 2012. "A Freshwater Streptomyces, Isolated from Tyume River, Produces a Predominantly Extracellular Glycoprotein Bioflocculant" International Journal of Molecular Sciences 13, no. 7: 8679-8695. https://doi.org/10.3390/ijms13078679
APA StyleNwodo, U. U., Agunbiade, M. O., Green, E., Mabinya, L. V., & Okoh, A. I. (2012). A Freshwater Streptomyces, Isolated from Tyume River, Produces a Predominantly Extracellular Glycoprotein Bioflocculant. International Journal of Molecular Sciences, 13(7), 8679-8695. https://doi.org/10.3390/ijms13078679

