New Triterpenoids with Cytotoxic Activity from Actinidia Valvata
Abstract
:1. Introduction
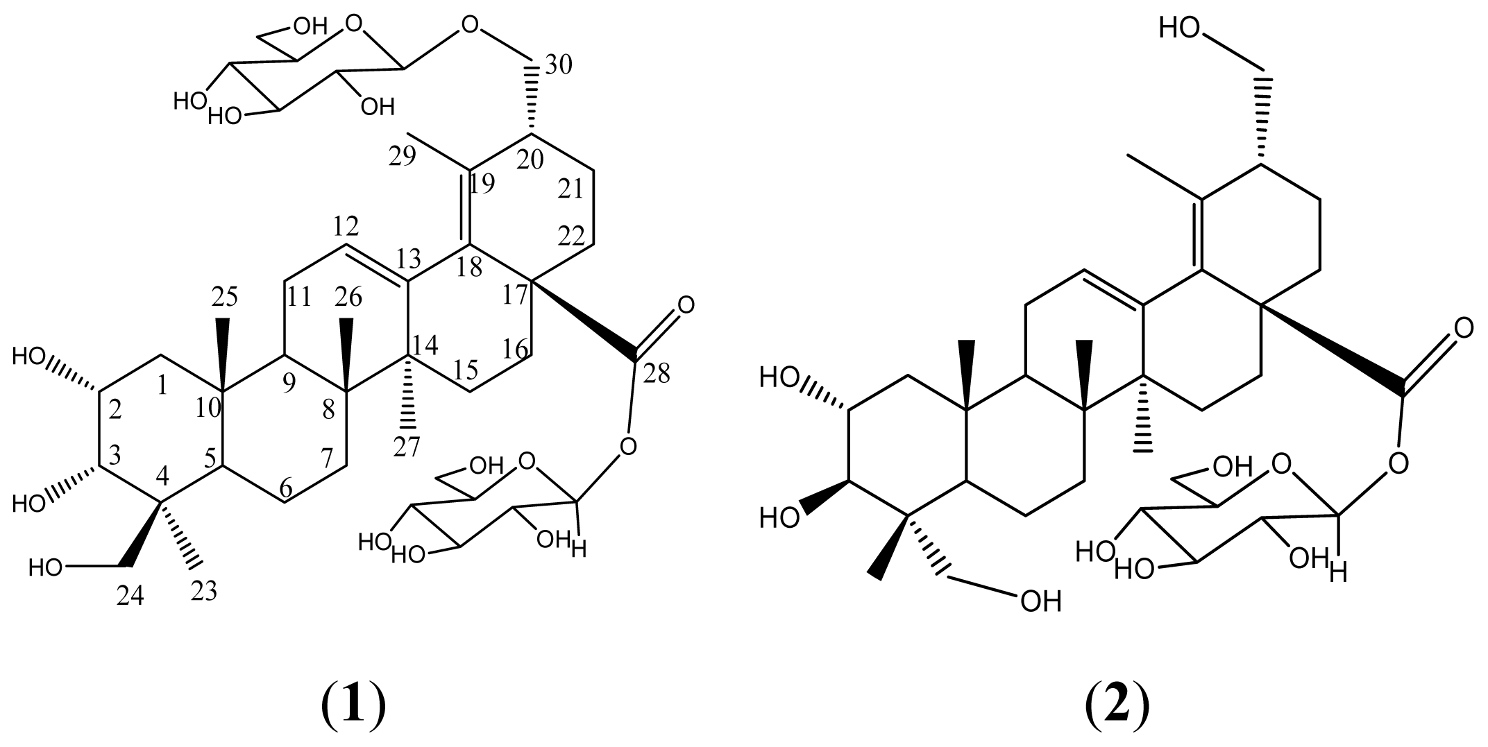
2. Results and Discussion
3. Experimental Section
3.1. General
3.2. Material
3.3. Extraction and Isolation
4. Conclusions
Acknowledgements
References
- Delectis Florae Reipublicae Popularis Sinicae Agendae Academiae Sinicae Edita, Flora of China; Science Press: Beijing, China, 1984; Volume 49, p. 205.
- Wang, Z.Z.; Song, Y.; Hu, J.H.; You, B.M. Morphological identif ication and the clinical application of the roots of Actinidia chinensis and Actinidia valvata. Yao Xue Fu Wu Yu Yan Jiu 2005, 5, 134–137. [Google Scholar]
- Zhang, Y.N.; Liu, L.; Ling, C.Q. Inhibition effect of activefraction from Actinidia valvata on growth of transplanatedmouse tumor cells and preliminary study of its mechanism. Zhongguo Zhong Yao Za Zhi 2006, 31, 918–920. [Google Scholar]
- Wu, M.C. Traditional Chinese medicine in prevention and treatment of liver cancer: Function, status and existed problems. J. Chin. Integr. Med 2003, 1, 163–164. [Google Scholar]
- Xin, H.L.; Yue, X.Q.; Xu, Y.F.; Wu, Y.C.; Zhang, Y.N.; Wang, Y.Z.; Ling, C.Q. Two new polyoxygenatedtriterpenoids from Actinidia valvata. Helv. Chim. Acta 2008, 91, 575–580. [Google Scholar]
- Mahato, S.B.; Kundu, A.P. 13CNMR spectra of pentacyclic triterpenoids—A compilation and some salient features. Phytochemistry 1994, 37, 1517–1575. [Google Scholar]
- Xin, H.L.; Wu, Y.C.; Xu, Y.F.; Su, Y.H.; Zhang, Y.N.; Ling, C.Q. Four triterpenoids with cytotoxic activity from the leaves of Actinidia valvata. Chin. J. Nat. Med 2010, 8, 260–263. [Google Scholar]


| Position | 1 | 2 | ||
|---|---|---|---|---|
| δ(C) a | δ(H) b | δ(C) a | δ(H) b | |
| 1 | 42.81 (t) | 1.31 (dd, J = 12,4.2), 2.19 (dd, J = 12,4.2) | 48.03 (t) | 1.30 (m), 2.29 (m) |
| 2 | 66.98 (d) | 3.88 (m) | 68.93 (d) | 4.25 (m) |
| 3 | 74.90 (d) | 3.70 (d, J = 2.0) | 78.18 (d) | 4.19 (m) |
| 4 | 45.36 (s) | — | 43.61 (s) | — |
| 5 | 49.94 (d) | 1.79 (m) | 48.31 (d) | 1.73 (m) |
| 6 | 19.15 (t) | 1.33 (m) | 18.41 (t) | 1.04 (m), 1.15 (m) |
| 7 | 33.23 (t) | 1.28 (m), 1.30 (m) | 33.86 (t) | 1.31 (m), 1.75 (m) |
| 8 | 40.67 (s) | — | 39.80 (s) | — |
| 9 | 48.96 (d) | 1.71 (m) | 48.03 (d) | 1.83 (m) |
| 10 | 39.07 (s) | — | 38.31 (s) | — |
| 11 | 24.25 (t) | 1.74 (m), 1.93 (m) | 23.64 (t) | 1.74 (m), 2.01 (m) |
| 12 | 129.19 (d) | 5.53 (br) | 127.98 (d) | 5.60 (br) |
| 13 | 137.97 (s) | — | 137.53 (s) | — |
| 14 | 44.69 (s) | — | 43.90 (s) | — |
| 15 | 29.09 (t) | 1.09 (m), 1.88 (m) | 28.58 (t) | 1.06 (m), 2.25 (m) |
| 16 | 24.72 (t) | 1.74 (m), 1.98 (m) | 32.97 (t) | 1.79 (m), 1.98 (m) |
| 17 | 48.83 (s) | — | 47.25 (s) | — |
| 18 | 126.17 (s) | — | 129.59 (s) | — |
| 19 | 136.92 (s) | — | 131.27 (s) | — |
| 20 | 51.45 (s) | 3.30 (br) | 50.74 (d) | 3.55 (br) |
| 21 | 24.67 (t) | 1.97 (m) | 23.87 (t) | 1.99 (m) |
| 22 | 35.19 (t) | 1.28 (m), 1.53 (m) | 24.41 (t) | 2.06 (m) |
| 23 | 22.56 (q) | 1.07 (s) | 66.52 (t) | 3.66 (d, J = 10.2), 4.16 (d, J = 10.2) |
| 24 | 65.72 (t) | 3.36 (d, J = 8.0), 3.68 (d, J = 8.0) | 14.42 (q) | 1.03 (s) |
| 25 | 17.86 (q) | 0.94 (s) | 17.95 (q) | 1.08 (s) |
| 26 | 18.21 (q) | 0.85 (s) | 18.27 (q) | 1.15 (s) |
| 27 | 23.17 (q) | 1.89 (s) | 22.23 (q) | 0.97 (s) |
| 28 | 178.07 (s) | — | 176.24 (s) | — |
| 29 | 17.44 (q) | 1.68 (s) | 16.83 (q) | 1.75 (s) |
| 30 | 69.68 (t) | 4.09 (d, J = 20.0), 4.45 (d, J = 20.0) | 62.20 (t) | 4.38 (d, J = 10.2) |
| 28-glc-1 | 95.82 (d) | 5.39 (d, 8) | 95.82 (d) | 5.60 (d, J = 8.0) |
| 2 | 73.75 (d) | 3.31 (m) | 74.19 (d) | 3.31 (m) |
| 3 | 77.91 (d) | 3.33 (m) | 78.84 (d) | 3.33 (m) |
| 4 | 71.46 (d) | 3.33 (m) | 71.12 (d) | 3.33 (m) |
| 5 | 78.54 (d) | 3.38 (m) | 79.25 (d) | 3.38 (m) |
| 6 | 62.49 (t) | 3.64 (dd, J = 12.0,1.8), 3.77 (dd, J = 12.0, 1.8) | 62.99 (t) | 3.65 (dd, J = 12.0, 1.8), 3.78 (dd, J = 12.0, 1.8) |
| 30-glc-1 | 101.85 (d) | 4.20 (d, J = 8.0) | ||
| 2 | 74.53 (d) | 3.31 (m) | ||
| 3 | 77.83 (d) | 3.33 (m) | ||
| 4 | 70.97 (d) | 3.33 (m) | ||
| 5 | 77.95 (d) | 3.38 (m) | ||
| 6 | 62.30 (t) | 3.63 (dd, J = 12.0, 1.8), 3.76 (dd, J = 12.0, 1.8) | ||
© 2012 by the authors; licensee Molecular Diversity Preservation International, Basel, Switzerland. This article is an open-access article distributed under the terms and conditions of the Creative Commons Attribution license (http://creativecommons.org/licenses/by/3.0/).
Share and Cite
Qu, L.-P.; Zheng, G.-Y.; Su, Y.-H.; Zhang, H.-Q.; Yang, Y.-L.; Xin, H.-L.; Ling, C.-Q. New Triterpenoids with Cytotoxic Activity from Actinidia Valvata. Int. J. Mol. Sci. 2012, 13, 14865-14870. https://doi.org/10.3390/ijms131114865
Qu L-P, Zheng G-Y, Su Y-H, Zhang H-Q, Yang Y-L, Xin H-L, Ling C-Q. New Triterpenoids with Cytotoxic Activity from Actinidia Valvata. International Journal of Molecular Sciences. 2012; 13(11):14865-14870. https://doi.org/10.3390/ijms131114865
Chicago/Turabian StyleQu, Li-Ping, Guo-Yin Zheng, Yong-Hua Su, Hui-Qing Zhang, Yan-Long Yang, Hai-Liang Xin, and Chang-Quan Ling. 2012. "New Triterpenoids with Cytotoxic Activity from Actinidia Valvata" International Journal of Molecular Sciences 13, no. 11: 14865-14870. https://doi.org/10.3390/ijms131114865
APA StyleQu, L.-P., Zheng, G.-Y., Su, Y.-H., Zhang, H.-Q., Yang, Y.-L., Xin, H.-L., & Ling, C.-Q. (2012). New Triterpenoids with Cytotoxic Activity from Actinidia Valvata. International Journal of Molecular Sciences, 13(11), 14865-14870. https://doi.org/10.3390/ijms131114865
