Anti-Inflammatory and Analgesic Activities of a Novel Biflavonoid from Shells of Camellia oleifera
Abstract
:1. Introduction
2. Results and Discussion
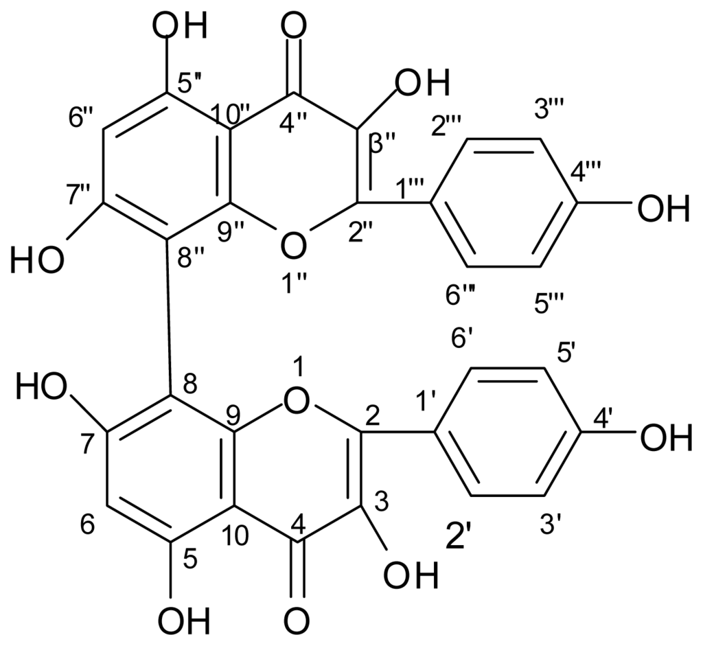
2.1. Separation and Identification of Flavonoid
2.2. Effect of the Biflavonoid on Carrageenin Induced Oedema in Rats
2.3. Inhibition on Croton-Oil Induced Ear Inflammation in Mice
2.4. The Variation of Latency Responses in Hot Plate Test of Mice
2.5. Control on Acetic Acid-Induced Writhing Responses in Mice
2.6. Effect of Biflavonoid on MDA, SOD and GSH-Px Activity
3. Experimental Section
3.1. Plant Material
3.2. Chemicals and Reagents
3.3. Animals
3.4. Extraction and Isolation
3.5. Determination of Total Flavonoid Content
3.6. Determination of Purity by HPLC
3.7. Structure Identification
3.8. Anti-Inflammatory and Antioxidative Test
3.9. Croton-Oil Induced Ear Inflammation
3.10. Hot Plate Test
3.11. Acetic Acid-Induced Writhing
3.12. Statistical Analysis
4. Conclusions
Acknowledgments
References
- Staud, R. Peripheral pain mechanisms in chronic widespread pain. Best Pract. Res. Clin. Rheumatol 2011, 25, 155–164. [Google Scholar]
- Odabsoglu, F.; Cakir, A.; Suleyman, H.; Aslan, A.; Bayir, Y.; Halici, M.; Kazaz, C. Gastroprotective and antioxidant effects of usnic acid an indomethacin-induced gastric ulcer in rats. J. Ethnopharmacol 2006, 103, 59–65. [Google Scholar]
- Lucas, S.M.; Rothwell, N.J.; Gibson, R.M. The role of inflammation in CNS injury and disease. Br. J. Pharmacol 2006, 147, S232–S240. [Google Scholar]
- Weiss, U. Inflammation. Nature 2008, 454, 427. [Google Scholar]
- Medzhitov, R. Origin and physiological roles of inflammation. Nature 2008, 454, 428–435. [Google Scholar]
- Havsteen, B.H. The biochemistry and medical significance of the flavonoids. Pharmacol. Ther 2002, 96, 67–202. [Google Scholar]
- Evans, R.C.; Miller, N.J.; Bolwell, G.P.; Bramley, P.M.; Pridham, J.B. The relative antioxidant activities of plant derived polyphenolic flavonoids. Free Radic. Res 1995, 22, 375–383. [Google Scholar]
- Lin, Y.; Shi, R.X.; Wang, X. Luteolin, a flavonoid with potentials for cancer prevention and therapy. Curr. Cancer Drug Targets 2008, 8, 634–646. [Google Scholar]
- Du, L.C.; Wu, B.L.; Chen, J.M. Flavonoid triglycosides from the seeds of Camellia oleifera Abel. Chin. Chem. Lett 2008, 19, 1315–1318. [Google Scholar]
- Wang, Z.; Jia, Z.J.; Zhu, Z.Q.; Yang, C.R.; Zhou, J. Flavonoid constituents from oil cake of the seeds of Camellia oleifera. Acta Botanica Yunnanica 1986, 8, 157–160. [Google Scholar]
- Chen, Y.F.; Yang, C.H.; Chang, M.S.; Ciou, Y.P.; Huang, Y.C. Foam properties and detergent abilities of the saponins from Camellia oleifera. Int. J. Mol. Sci 2010, 11, 4417–4425. [Google Scholar]
- Jin, X.C. Bioactivities of water-soluble polysaccharides from fruit shell of Camellia oleifera Abel: Antitumor and antioxidant activities. Carbohyd. Polym 2012, 87, 2198–2201. [Google Scholar]
- Lee, C.P.; Yen, G.C. Antioxidant activity and bioactive compounds of tea seed (Camellia oleifera Abel.) oil. J. Agric. Food Chem 2006, 54, 779–784. [Google Scholar]
- Luo, Y.M.; Li, B.; Xie, Y.H. Study on the chemical constituents of Camellia oleifera Abel. Chin. Tradit. Herb. Drugs 2003, 34, 117–118. [Google Scholar]
- Sugimoto, S.; Chi, G.H.; Kato, Y.; Nakamura, S.; Matsuda, H.; Yoshikawa, M. Medicinal flowers. XXVI.1) structures of acylated oleanane-type triterpene oligoglycosides, yuchasaponins A, B, C, and D, from the flower buds of Camellia oleifera-gastroprotective, aldose reductase inhibitory, and radical scavenging effects. Chem. Pharm. Bull 2009, 3, 269–275. [Google Scholar]
- Chattopadhyay, P.; Besra, S.E.; Gomes, A.; Das, M.; Sur, P.; Mitra, S.; Vedasiromoni, J.R. Anti-inflammatory activity of tea (Camellia sinensis) root extract. Life Sci 2004, 74, 1839–1849. [Google Scholar]
- Jiang, T.J.; Ying, T.J.; Chen, Q.P.; Kang, H.Q.; Shen, J.F. Total Flavonoids and antioxidant activity of different solvent extracts from shells of Oiltea (Camellia oleifera) Seeds. J. Chin. Inst. Food Sci. Technol 2010, 10, 93–99. [Google Scholar]
- Chen, J.H.; Liau, B.C.; Jong, T.T.; Chang, C.M. Extraction and purification of flavanone glycosides and kaempferol glycosides from defatted Camellia oleifera seeds by salting-out using hydrophilic isopropanol. Sep. Purif. Technol 2009, 67, 31–37. [Google Scholar]
- Gao, D.F.; Xu, M.; Zhao, P.; Zhang, X.Y.; Wang, Y.F.; Yang, C.R.; Zhang, Y.J. Kaempferol acetylated glycosides from the seed cake of Camellia oleifera. Food Chem 2011, 124, 432–436. [Google Scholar]
- Winter, C.A.; Risely, E.A.; Nuss, G.W. Carrageenin induced edema in hind paw of the rat as an assay for anti-inflammatory drug. Proceed. Soc. Exp. Biol. Med 1962, 111, 544–547. [Google Scholar]
- Di Rosa, M. Biological properties of carrageenin. J. Pharm. Pharmacol 1972, 24, 89–102. [Google Scholar]
- Antonio, M.A.; Brito, A.R.M.S. Oral anti-inflammatory and antiulcerogenic activities of hydroalcoholic extract and partitioned fractions of Turnera ulmifolia (Turneraceae). J. Ethnopharmacol 1998, 61, 215–228. [Google Scholar]
- Okokon, J.E.; Antia, B.S.; Umoh, E. Analgesic and anti-inflammatory effects of ethanolic root extract of Hippocratea Africana. Int. J. Pharmacol 2008, 4, 51–55. [Google Scholar]
- Derardt, R.; Jougney, S.; Delevalcee, F.; Falhout, M. Release of prostaglandins E and F in analgogenic reaction and its inhibition. Eur. J. Pharmacol 1980, 61, 17–24. [Google Scholar]
- Ma, X.F.; Li, Y. In vivo antioxidative activity of polysaccharide from Heartleaf Houttuynia Herb. Tradit. Chin. Med. Res 2011, 2, 19–20. [Google Scholar]
- Young, I.S.; Woodside, J.V. Antioxidants in health and disease. J. Clin. Pathol 2001, 54, 176–186. [Google Scholar]
- Calderón-Montaño, J.M.; Burgos-Morón, E.; Pérez-Guerrero, C.; López-Lázaro, M. A review on the dietary flavonoid kaempferol. Mini-Rev. Med. Chem 2011, 11, 298–344. [Google Scholar]
- Zhishen, J.; Mengcheng, T.; Jianming, W. Determination of flavonoid contents in mulberry and their scavenging effects on superoxide radicals. Food Chem 1999, 64, 555–559. [Google Scholar]
- Sur, P.; Chaudhuri, T.; Vedasiromoni, J.R.; Gomes, A.; Ganguly, D.K. Anti-inflammatory and antioxidant property of saponins of tea [Camellia sinensis (L.) O. Kuntze] root extract. Phytother. Res 2001, 15, 174–176. [Google Scholar]
- Brooks, R.R.; Bonk, K.R.; Decker, G.E.; Miller, K.E. Anti-inflammatory activity of orpanoxin administered orally and topically to rodents. Agents Actions 1985, 16, 369–376. [Google Scholar]
- Somchit, M.N.; Sulaiman, M.R.; Zuraini, A.; Samsuddin, L. Antinociceptive and anti-inflammatory effects of Centella asiatica. Indian J. Pharmacol 2004, 36, 377–380. [Google Scholar]
- Fontenele, J.B.; Viana, G.S.B.; Xavier-Filho, J.; Alencar, J.W. Anti-inflammatory and analgesic activity of a water-soluble fraction from shark cartilage. Braz. J. Med. Biol. Res 1996, 29, 643–646. [Google Scholar]


| Position | 1H NMR | 13C NMR | HMBC |
|---|---|---|---|
| 2(2″) | 146.8 | ||
| 3(3″) | 135.6 | ||
| 4(4″) | 176.9 | ||
| 5(5″) | 160.7 | ||
| 6(6″) | 6.44 (s) | 98.2 | C-5(5″),7(7″),8(8″),10(10″) |
| 7(7″) | 163.9 | ||
| 8(8″) | 98.2 | ||
| 9(9″) | 156.2 | ||
| 10(10″) | 103.0 | ||
| 1′ (1‴) | 121.6 | ||
| 2′(2‴) | 8.04 (d, J = 8.8 Hz) | 129.5 | C-1′(1‴),3′(3‴),5′(5‴) |
| 3′(3‴) | 6.93 (d, J = 8.8 Hz) | 115.4 | C-2′(2‴),4′(4‴),6′(6‴) |
| 4′(4‴) | 159.2 | ||
| 5′(5‴) | 6.93 (d, J = 8.8 Hz) | 115.4 | C-2′(2‴),4′(4‴),6′(6‴) |
| 6′(6‴) | 8.04 (d, J = 8.8 Hz) | 129.5 | C-1′(1‴),3′(3‴),5′(5‴) |
| 3-OH(3″-OH) | 10.78 (s, br) | C-2(2″),3(3″),4(4″) | |
| 5-OH(5″-OH) | 12.48 (s, br) | C-5(5″),6(6″),10(10″) | |
| 7-OH(7″-OH) | 10.10 (s, br) | C-6(6″),7(7″),8(8″) | |
| 4′-OH(4‴-OH) | 9.37 (s, br) | C-3′(3‴),4′(4‴),5′(5‴) |
| Drug | Dose (mg/kg, i.g.) | Difference in volume between right paw and left paw in mL Mean ± SD (n = 6) | |||
|---|---|---|---|---|---|
| 0 h | 1 h | 2 h | 4 h | ||
| Normal control | / | 0.14 ± 0.03 | 0.19 ± 0.03 | 0.29 ± 0.04 | 0.53 ± 0.05 |
| Aspirin | 200 | 0.13 ± 0.02 | 0.17 ± 0.03 | 0.21 ± 0.03 ** | 0.22 ± 0.03 ** |
| Biflavonoid | 50 | 0.15 ± 0.04 | 0.18 ± 0.04 | 0.24 ± 0.04 | 0.36 ± 0.05 |
| Biflavonoid | 100 | 0.15 ± 0.04 | 0.17 ± 0.04 | 0.24 ± 0.04 | 0.28 ± 0.05 ** |
| Biflavonoid | 200 | 0.12 ± 0.02 | 0.16 ± 0.02 | 0.21 ± 0.03 ** | 0.21 ± 0.02 ** |
| Drug | Dose (mg/kg, i.g.) | Difference in weight between left and right punched ear in mg Mean ± SD (n = 8) | Inhibition (%) |
|---|---|---|---|
| Normal control | / | 36.1 ± 9.3 | / |
| Aspirin | 200 | 11.0 ± 5.0 ** | 69.5 |
| Biflavonoid | 50 | 24.5 ± 4.6 | 32.2 |
| Biflavonoid | 100 | 18.6 ± 4.4 ** | 48.6 |
| Biflavonoid | 200 | 10.2 ± 3.6 ** | 71.9 |
| Drug | Dose (mg/kg, i.g.) | Number of writhing Mean ± SD (n = 8) | Inhibition (%) |
|---|---|---|---|
| Normal control | / | 72.6 ± 7.6 | / |
| Aspirin | 200 | 22.6 ± 4.6 ** | 68.8 |
| Biflavonoid | 50 | 57.2 ± 9.0 | 21.2 |
| Biflavonoid | 100 | 48.5 ± 6.5 ** | 33.2 |
| Biflavonoid | 200 | 33.4 ± 5.7 ** | 54.0 |
| Groups | Dose (mg/kg) | MDA (nmol/mL) | SOD (U/mL) | GSH-Px (U/mL) |
|---|---|---|---|---|
| Normal control | 6.11 ± 0.47 | 61.62 ± 7.92 | 41.32 ± 8.54 | |
| Aspirin | 200 | 5.42 ± 0.77 | 60.59 ± 5.27 | 48.08 ± 7.33 |
| Biflavonoid | 50 | 5.47 ± 0.96 | 59.20 ± 7.66 | 52.53 ± 8.12 |
| Biflavonoid | 100 | 4.70 ± 0.88 ** | 67.36 ± 6.32 | 56.62 ± 8.76 ** |
| Biflavonoid | 200 | 3.70 ± 0.92 ** | 75.43 ± 5.95 ** | 78.12 ± 8.79 ** |
© 2012 by the authors; licensee Molecular Diversity Preservation International, Basel, Switzerland. This article is an open-access article distributed under the terms and conditions of the Creative Commons Attribution license (http://creativecommons.org/licenses/by/3.0/).
Share and Cite
Ye, Y.; Guo, Y.; Luo, Y.-T. Anti-Inflammatory and Analgesic Activities of a Novel Biflavonoid from Shells of Camellia oleifera. Int. J. Mol. Sci. 2012, 13, 12401-12411. https://doi.org/10.3390/ijms131012401
Ye Y, Guo Y, Luo Y-T. Anti-Inflammatory and Analgesic Activities of a Novel Biflavonoid from Shells of Camellia oleifera. International Journal of Molecular Sciences. 2012; 13(10):12401-12411. https://doi.org/10.3390/ijms131012401
Chicago/Turabian StyleYe, Yong, Ya Guo, and Yue-Ting Luo. 2012. "Anti-Inflammatory and Analgesic Activities of a Novel Biflavonoid from Shells of Camellia oleifera" International Journal of Molecular Sciences 13, no. 10: 12401-12411. https://doi.org/10.3390/ijms131012401
APA StyleYe, Y., Guo, Y., & Luo, Y.-T. (2012). Anti-Inflammatory and Analgesic Activities of a Novel Biflavonoid from Shells of Camellia oleifera. International Journal of Molecular Sciences, 13(10), 12401-12411. https://doi.org/10.3390/ijms131012401
