Abstract
Knoevenagel condensations between aldehydes and substrates containing active methylene groups were carried out in ethanol at room temperature, in the presence of potassium phosphate, to afford unsymmetrical olefins. These condensations have been shown to afford only the E-isomers in greater than 80% yields. Salicylaldehyde first produces the Knoevenagel condensation products, which undergo a subsequent heterocyclization to give coumarin derivatives. The structures of the synthesized compounds were established on the basis of UV, IR, MS and NMR spectroscopy.
Introduction
The Knoevenagel condensation has been extensively studied and has been used for the preparation of a broad spectrum of substituted alkenes. This condensation may be carried out in various homogeneous media using catalysts such as piperidine [1,2], amines, ammonia, and ammonium salts [3,4,5]. In recent years much attention has been focused to use of natural inorganic solids such as alumina [6,7], amino groups immobilized on silica gel [8], zinc, magnesium and aluminum oxides [9,10,11,12], resins [13] magnesium phosphate [14,15] and natural phosphate impregnated with sodium nitrate [16] to catalyze organic reactions in heterogeneous media.
This work concerns the use of the Knoevenagel condensation for the synthesis of several substituted unsymmetrical stilbenes containing the powerful electron-withdrawing cyano group, using the simple and efficient route shown in Scheme 1. The procedure adopted is based upon the method used by Yi-Qun [17], utilizing a solid potassium phosphate as a catalyst. Stilbenes have been studied as models of standard photochemical parameters for trans-cis isomerization processes, such as the photostationary state and quantum yield [18]. The polarity of the solvent has strong influence in the rate of reactions involving charged species. Rodriguez et al. have examined the effect of different solvents on this reaction [19]. They concluded that the higher the polarity of the solvent, the higher the reaction rate. Furthermore, the highest activity was observed for ethanol.
Results and Discussion
Knoevenagel condensation in ethanol at room temperature of aldehydes with one mole equivalent of compounds containing active methylene groups in the presence of K3PO4 afforded the corresponding trans-stilbenes (Scheme 1, Table 1). For all the compounds studied in this work, the sole condensation products detected were the corresponding E-isomers, in agreement with what has been reported previously [20,21].
Scheme 1.
Scheme 1.

Table 1.
| Stilbene No. | R | R1 | X | Y |
|---|---|---|---|---|
| 1 | H | H | F | H |
| 2 | Br | H | F | H |
| 3 | Cl | H | F | H |
| 4 | NO2 | H | F | H |
| 5 | (CH3)2N | H | F | H |
| 6 | H | OEt | F | H |
| 7 | (CH3)2N | H | Cl | Cl |
| 8 | H | H | NO2 | H |
| 9 | (CH3)2N | H | NO2 | H |
| 10 | Cl | H | NO2 | H |
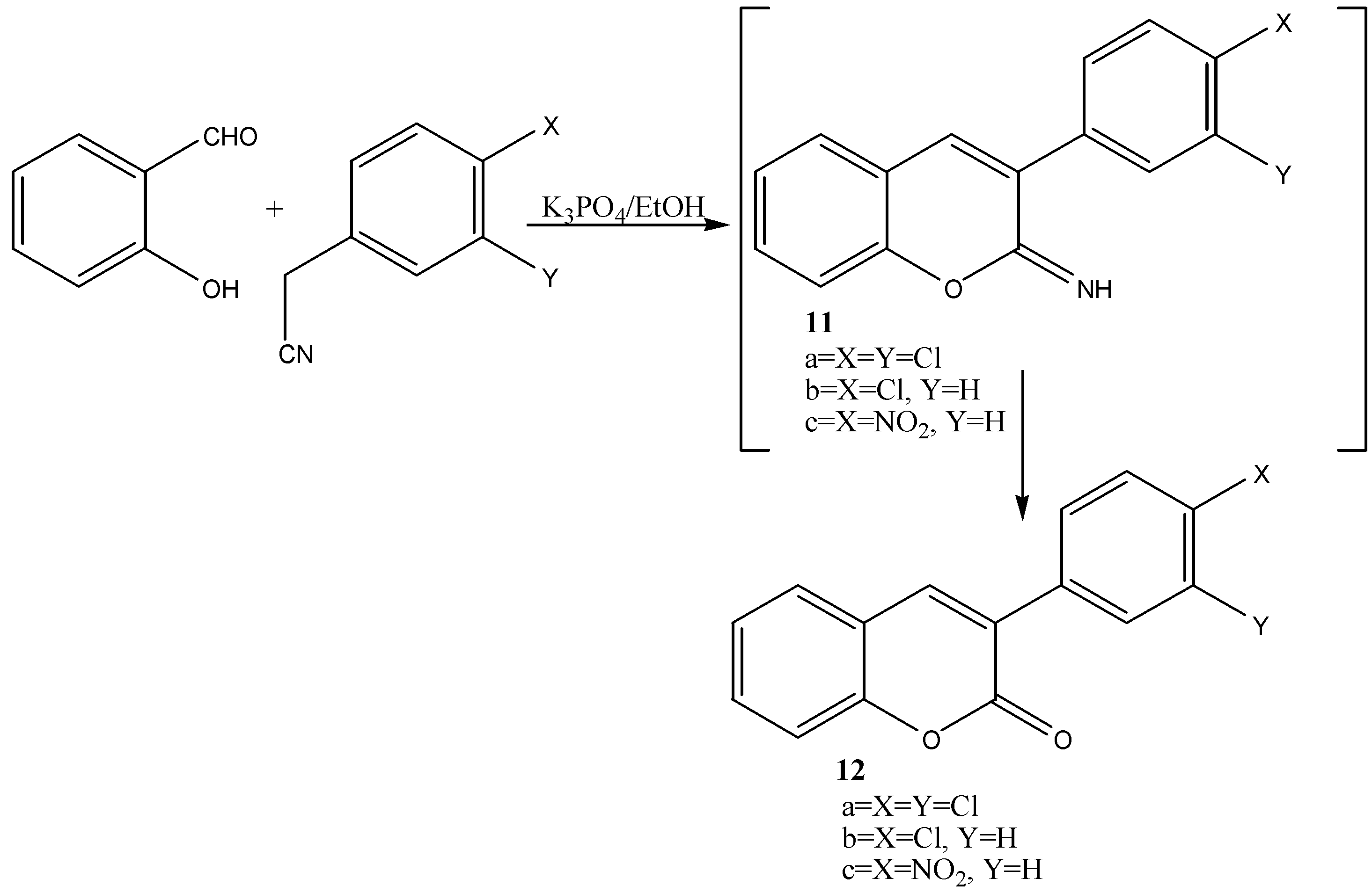
All the active methylene containing compounds used in this study cleanly gave high yields of products. As an aside, when 4-nitrophenylacetonitrile was used, the addition of a drop of its solution to the stirred catalyst in ethanol resulted in a dramatic change of the colour of the reaction mixture to deep pink, which after a while changed again to a deep green colour. The resultant green coloured solution bleached out when treated with dilute hydrochloric acid. This could be explained by the resonance due to the powerful electron-withdrawing effect of the nitro group upon generation of a carbanion by the catalyst, as outlined in Scheme 2.
Scheme 2.
Scheme 2.

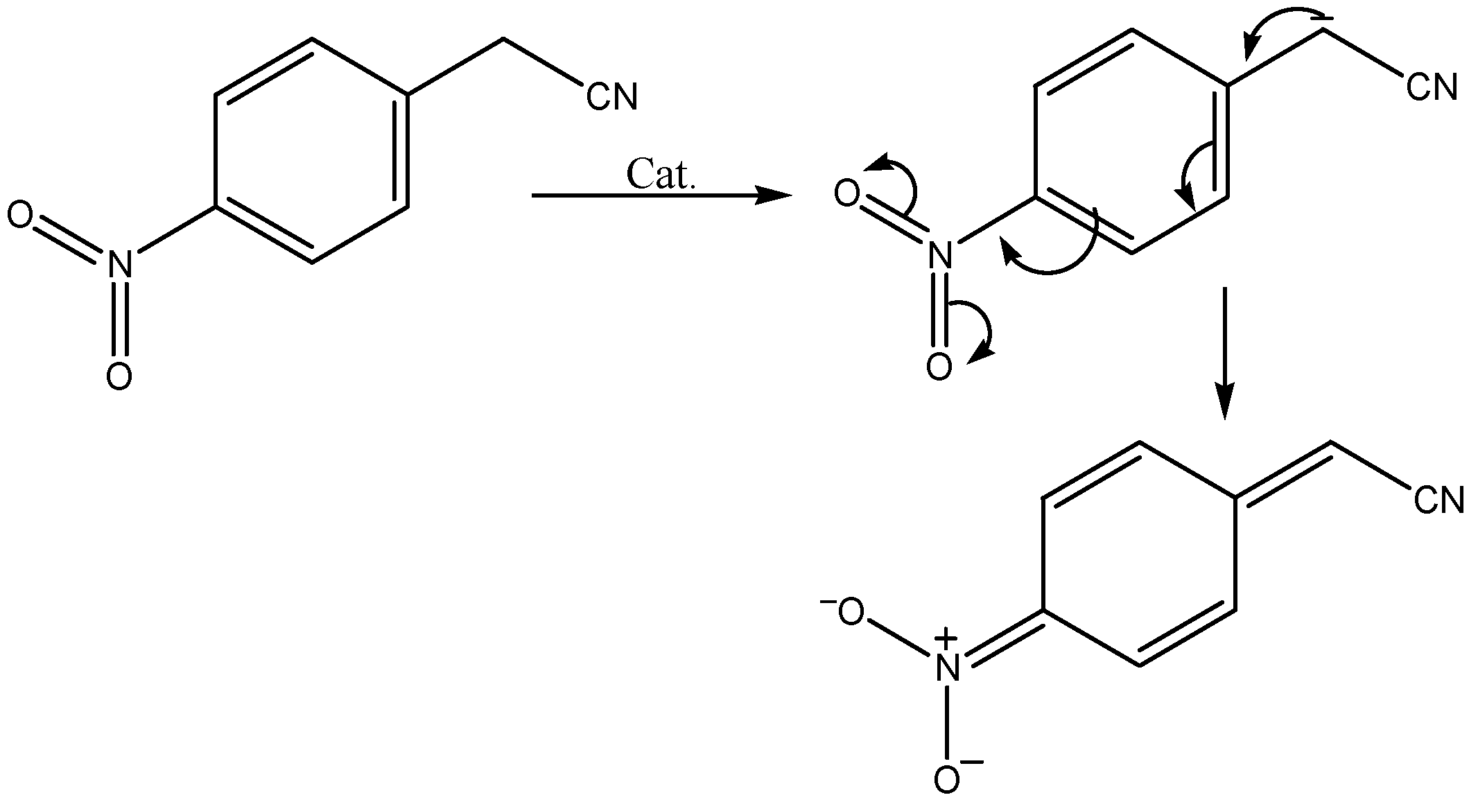
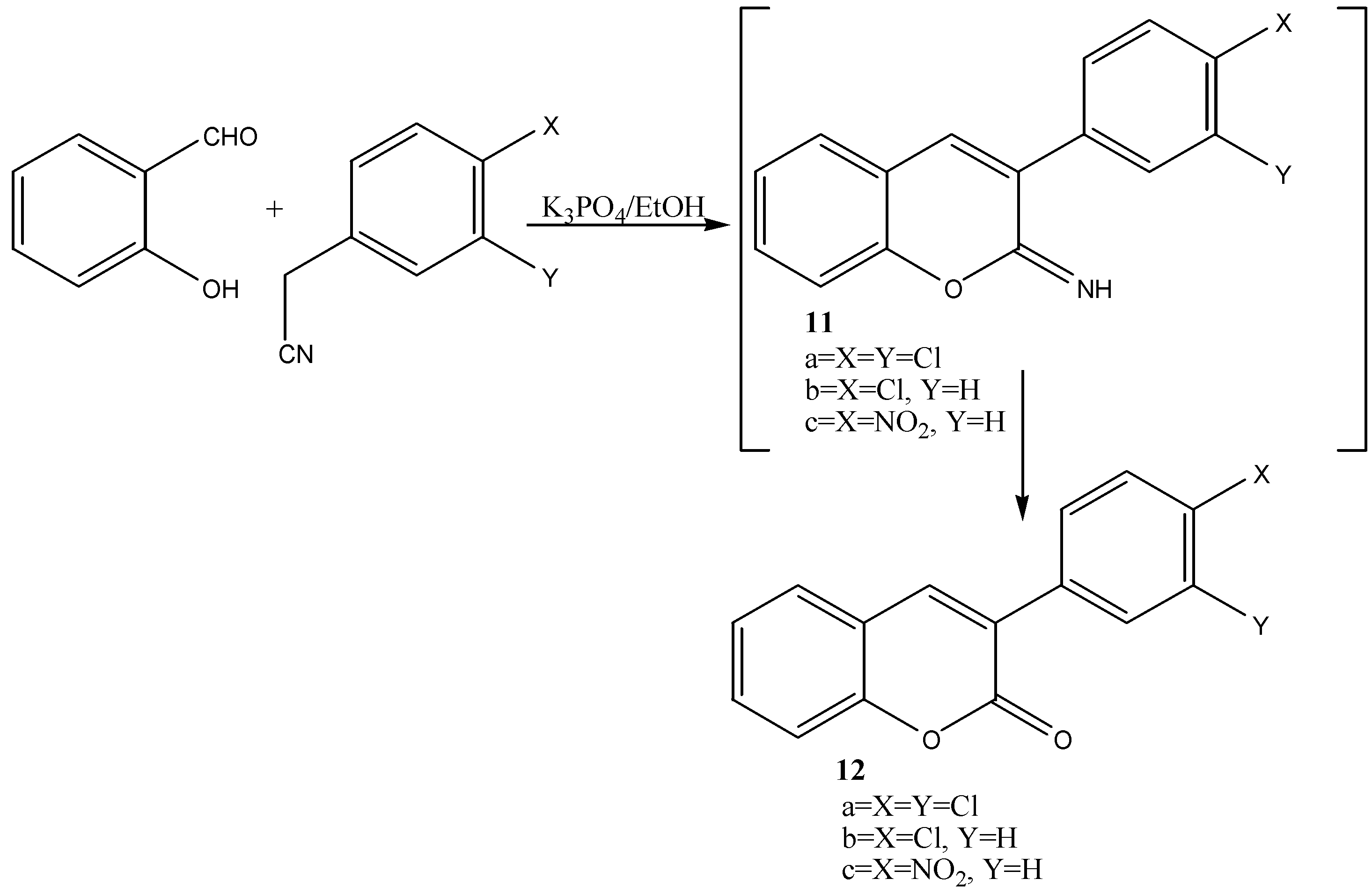
The use of salicylaldehyde as the aldehyde component led under these reaction conditions to the formation of heterocyclic products. Presumably, the expected Knoevenagel condensation products were produced initially, but they undergo a subsequent heterocyclization through nucleophilic attack of the phenolate ion on the electrophilic carbon of the cyano group to give the intermediates 11a-c, followed by hydrolysis to give the isolated coumarin derivatives 12a-c (Scheme 3). This cyclization process was confirmed by the spectral studies (IR, 1H‑NMR, and MS).
Scheme 3.
Scheme 3.

Characterization data is shown in Table 2. The 1H-NMR and IR spectral data are presented in Table 3, while Table 4 summarizes the UV absorption maxima (λmax) and maximum irradiation times for trans-cis transformation.
Table 2.
Yields, elemental analysis and physical data of compounds 1-12
| Comp. No | Yield (%) | Colour | m. p. (°C) | Molecular Formula | Calculated (Found) | ||
|---|---|---|---|---|---|---|---|
| C | H | N | |||||
| 1 | 95 | colourless | 88-89 | C15H10FN | 80.70 | 4.51 | 6.27 |
| (79.98) | (4.51) | (6.37) | |||||
| 2 | 91 | colourless | 89-90 | C15H9BrFN | 59.63 | 3.00 | 4.64 |
| (59.65) | (3.01) | (4.72) | |||||
| 3 | 94 | colourless | 104-105 | C15H9ClFN | 69.91 | 3.52 | 5.44 |
| (68.76 ) | (3.57) | (5.48) | |||||
| 4 | 86 | pale yellow | 110-111 | C15H9FN2 | 67.16 | 3.38 | 10.44 |
| (67.45 ) | (3.30) | (10.20) | |||||
| 5 | 92 | yellow | 180-181 | C17H15FN2 | 76.67 | 5.68 | 10.52 |
| (77.20) | (6.10) | (10.78) | |||||
| 6 | 82 | colourless | 95-96 | C17H14FNO | 76.39 | 5.28 | 5.24 |
| (76.03 ) | (5.28) | (5.29) | |||||
| 7 | 91 | yellow | 213-214 | C17H14Cl2N2 | 64.37 | 4.45 | 8.83 |
| (63.10) | (4.21) | (8.77) | |||||
| 8 | 85 | pale yellow | 95-96 | C15H10N2O2 | 71.99 | 4.03 | 11.19 |
| (70.49) | (3.83) | (11.00) | |||||
| 9 | 87 | brown | 253-254 | C17H15N3O2 | 69.61 | 5.15 | 14.33 |
| (68.54) | (5.02) | (14.05) | |||||
| 10 | 87 | yellow | 167-168 | C15H9ClN2O2 | 63.28 | 3.19 | 9.84 |
| (63.10) | (3.09) | (9.79) | |||||
| 12a | 85 | yellow | 191-192 | C15H8Cl2O2 | 61.88 | 2.77 | - |
| (62.07) | ( 2.86) | ||||||
| 12b | 82 | yellow | 136-137 | C15H9ClO2 | 70.19 | 3.53 | - |
| (70.45) | (3.91) | ||||||
| 12c | 75 | pale yellow | 266 | C15H9NO4 | 67.42 | 3.39 | 5.24 |
| (67.03) | (3.31) | (5.76) | |||||
1H-NMR spectra
The structures of all synthesized compounds 1-12c were determined by high-resolution 1H-NMR spectroscopy. The chemical shifts for the E-stilbene isomers of all prepared compounds are listed in Table 3. The spectral data of 12a-c listed in the table also confirm the occurrence of the cyclization process, as the disappearance of the signals due to OH group in compounds 12a-c provides additional evidence for the formation of the heterocyclization products.
Table 3.
1H-NMR and IR data of compounds 1-12c.
| Comp. No | δ ppm in (DMSO) | IR/cm-1 | ||
|---|---|---|---|---|
| C≡N | C=C | CH | ||
| 1 | 8.00 (s, 1H), 7.91 (d, J= 9.0 Hz, 2H), 7.80 (m, 2H), 7.55 (m, 3H), 7.38 (t, J= 8.7 Hz, 2H), | 2214 | 1605 | 2955 |
| 2 | 7.99 (s, 1H), 7.87 – 7.76 (m, 7H), 7.33 (t, J= 8.0 Hz, 1H). | 2206 | 1593 | 2924 |
| 3 | 8.01 (s, 1H), 7.92 (2H, d, J= 8.4 Hz), 7.82 (m, 2H), 7.62 (d, J= 8.4 Hz, 2H), 7.36 (t, J= 8.4 Hz, 2H). | 2225 | 1600 | 2940 |
| 4 | 8.40 (d, J= 8.4 Hz, 4H), 8.17 (s, 1H), 8.14 (d, J= 8.4 Hz, 4H). | 2207 | 1593 | 2924 |
| 5 | 7.84 (d, J= 8.9 Hz, 2H), 7.75 (s, 1H), 7.70 (m, 2H), 7.29 (t, J = 8.9 Hz, 2H), 6.80 (d, J = 8.9 Hz, 2H), 3.02 (s, 6H), | |||
| 6 | 7.97 (s, 1H), 7.90 (d, J= 8.8 Hz, 1H), 7.74 (m, 2H), 7.47 (m, 1H), 7.35 (t, J= 8.8 Hz, 2H), 7.14 (d, J= 8.8 Hz, 1H), 7.10 (t, J= 8.8 Hz, 1H), 4.13 (d, J =7.2 Hz, 2H), 1.36 (t, J =7.2 Hz, 3H). | 2212 | 1590 | 2988 |
| 7 | 7.91 (s, 1H), 7.89 (m, 3H), 7.62 (m, 2H), 6.82 (d, J = 9.0 Hz, 2H), 3.06 (s, 6H). | 2207 | 1593 | 2910 |
| 8 | 8.32 (m, 3H), 8.05 (s, 1H), 8.00 (m, 3H), 7.58 (m, 3H). | 2218 | 1589 | 2931 |
| 9 | 8.27 (m, 2H), 8.05 (s, 1H), 7.94 (m, 4H), 6.83 (d, J= 8.8 Hz, 2H), 3.06 (s, 3H). | 2206 | 1585 | 2909 |
| 10 | 8.35 (d, J= 8.7 Hz, 2H), 8.29 (s, 1H), 8.04 (t, J= 8.7, 8.4 Hz, 4H), 7.65 (d, J= 8.4 Hz, 2H). | 2217 | 1593 | 2931 |
| 12a | 8.30 (s, 1H), 7.80-7.60 (m, 3H), 7.61 (t, J= 7.5 Hz, 1H), 7.53 (d, J= 7.5 Hz, 1H), 7.45-7.39 (m, 2H). | |||
| 12b | 8.33 (s, 1H), 7.67 (m, 1H), 7.56-7.45 (m, 4H), 7.19 (m, 2H), 6.96 (m, 1H). | |||
| 12c | 8.47 (br s, 1H), 8.33 (d, J= 8.5 Hz, 2H), 8.03 (d, J= 8.5 Hz), 7.82 (dd, J=8.0, 1.5 Hz), 7.66 (dd, J= 8.5 Hz, 1H), 7.46-7.40 (m, 2H). | |||
IR spectral data
The important diagnostic bands in the IR spectra of compounds 1-10 were assigned and the band positions are compiled in Table 3. The compounds gave medium strength bands in the 2206-2225 cm-1 range which can be attributed to the stretching vibration of the C≡N group. The compounds also showed bands in the 1585-1600 and 2940-2988 cm-1 ranges which are assigned to C=C and C-H group stretching frequencies, respectively. For the nitro derivatives, the two bands in the 1512-1516 and 1327-1339 cm-1 range are probably due to the asymmetric and symmetric stretching vibration of the nitro group. The IR spectra of the chloro compounds 3 and 11 showed a strong band in the 700-821 cm-1 range, assigned to C-Cl, while compound 2 exhibited a band at 520 cm-1 corresponding to the C‑Br bond. The fluoro compound 1 showed the C-F bond absorption in the 1215-1250 cm-1 range.
The characteristic bands in the IR spectra of compounds 12a-c were also assigned to the corresponding molecular vibrations. These compounds all display strong bands at 1720, 1708 and 1701 cm-1 corresponding to the C=C group of compounds 12a, 12b and 12c, respectively. The appearance of the νC=C band and the disappearance of the bands assigned to the C≡N and OH groups confirm the cyclization process represented in Scheme 3.
MS spectral data
The cyclization process and structures of the coumarin derivatives 12a-c were further supported by the electron-impact mass spectrometry (EI-MS) data. Thus, the EI-MS spectrum of 12a gave a molecular ion peak [M]+ at m/z 289 in agreement with the molecular formula C15H8Cl2O2. The presence of molecular ions at m/z 290 and 291 clearly indicated the presence of chlorine atoms. The molecular formula C15H9ClO2 of compound 12b was substantiated by the molecular ion peak at m/z 256, whereas the presence of ion peaks [M]+ at m/z 257, 258 were again due to the presence of a chlorine atom. Compound 12c displayed a molecular ion peak [M]+ at m/z 267, in agreement with the formula C15H9NO4 (also confirmed by elemental analysis) and further confirmed the proposed structure.
UV-Vis Spectra
The trans-cis transformation was studied by recording the electronic absorption spectra of the compounds under study using toluene as a solvent. The spectral data listed in Table 4 exhibit a blue shift of the band after a certain time of irradiation. The transformation process is irreversible.
Table 4.
UV-visible spectral data of compounds 1-10
| Comp. No. | Trans λmax (nm) | Cis λmax (nm) | Max irradiation time (h) |
|---|---|---|---|
| 1 | 316 | 311 | 8 |
| 2 | 336 | 327 | 10 |
| 3 | 322 | 315 | 10 |
| 4 | 338 | 323 | 10 |
| 5 | 395 | 358 | 8 |
| 6 | 342 | 329 | 6 |
| 7 | 410 | 396 | 6 |
| 8 | 330 | 324 | 10 |
| 9 | 448 | 433 | 6 |
| 10 | 342 | 322 | 6 |
Experimental
General
Melting points were recorded on a capillary melting point apparatus and are uncorrected. IR spectra were recorded on a Shimadzu 8000 FT-IR spectrometer as KBr discs. 1H-NMR spectra were recorded on a Varian Gemini 300 MHz in DMSO-d6 with tetramethylsilane (TMS) as an internal standard. Elemental analysis was performed on a Elementar Vario EL III elemental analyzer. Mass spectra were performed on a Shimadzu GCMS-QP-1000. UV-Vis spectra were recorded on Shimadzu 1601 PC UV-Vis spectrophotometer, using toluene as solvent.
General procedure for the Knoevenagel condensations
An equimolar mixture of the aldehyde (5 mmol) and a substituted phenylacetonitrile (5 mmol) was dissolved in absolute ethanol (10 mL) and this solution was then added dropwise to stirred solution of potassium triphosphate (2 mmol) in absolute ethanol (10 mL). After the addition was completed, the mixture was stirred at room temperature for 1 h and then poured into water and shaken well. The precipitate formed was filtered off, washed several times with distilled water and dried without any further purification.
References
- Jenner, G. Tetrahedron Lett. 2001, 42, 243–245.
- Anselmi, E.; Blazejewsk, J. I.; Wakselman, C. J. Fluorine Chem. 2001, 107, 315–319.
- Trost, B.M. Comprehensive Organic Synthesis; Pergamon Press: Oxford, 1991; vol. 2, pp. 133–340. [Google Scholar]
- March, J. Advanced Organic Chemistry, 4th Ed.; Wiley & Sons: Chichester, New York, 1992; pp. 835–841. [Google Scholar]
- Sanna, P.; Carta, A.; Nikookar, M. E. R. Eur. J. Med. Chem. 2000, 35, 535–543.
- Varma, R. S.; Kabalka, G. W.; Evans, L. T.; Pagni, R. M. Synth. Commun. 1985, 15(4), 279–284.
- Yamawaki, J.; Kawate, A. T. T.; Hanafusa, T. Bull. Chem. Soc., Jpn. 1983, 56, 1885–1892.
- Angeletti, E.; Canepa, C.; Martinetti, G.; Venturello, P. J. Chem. Soc. Perkin Trans 1. 1989, 105–107.
- Texier-Boullet, F.; Foucaud, A. Tetrahedron Lett. 1982, 23, 4927–4928.
- Moison, H.; Texier-Boullet, F.; Foucaud, A. Tetrahedron 1987, 43, 537–542.
- Berrée, F.; Marchad, E.; Morel, G. Tetrahedron Lett. 1992, 33, 6155–6158.
- Stankovic, E.; Toma, S.; Boxel, R.; Asselberghs, I.; Persoons, A. J. Organomet. Chem. 2001, 637-639, 426–433.
- Saito, T.; Goto, H.; Honda, K.; Fujii, T. Tetrahedron Lett. 1992, 33, 7535–7538.
- Sebti, S.; Saber, A.; Rhihil, A.; Nazih, R. Appl. Catal. A 2001, 206, 217–220.
- Aramendia, M. A.; Borau, V.; Jimenez, C.; Marinas, J. M.; Romero, F. J. React. Kinet. Catal. Lett. 2000, 69, 311–316.
- Sebti, S.; Solhy, A.; Tahir, R.; Abdelatif, S.; Boulaajaj, A.; Mayoral, J.; Garcia, J.; Fraile, J.; Kossir, A.; Oumimoun, H. J. Catal. 2003, 213, 1–6.
- Li, Y-Q. J. Chem. Research (S) 2000, 524–525.
- Waldeck, D. H. Chem. Rev. 1991, 91, 415–436.
- Rodriguez, I.; Iborra, S.; Rey, F.; Corma, A. Applied Catalysis A: General 2000, 194-195, 241–252.
- Rao, P. S.; Venkataratnam, R. V. Tetrahedron Lett. 1991, 32, 5821–5822.
- Kvaran, Á.; Ásgeirsson, B. I.; Geirsson, J. K. F. J. Mol. Struct. 2001, 563-564, 513–516.
- Sample availability: Contact the author.
© 2004 by MDPI (http:www.mdpi.org). Reproduction is permitted for noncommercial purposes.