Abstract
Synthetic routes to four new tridentate ligands with large cavities have been developed. Each ligand features two halides at the termini of the molecules that could be used for further elaboration of the system. Such compounds are ideal for encapsulating organoiodide guests using charge-transfer interactions.
Introduction
Aromatic heterocycles have found considerable utility in supramolecular synthesis [1,2]. Their rigid, planar structure and rich substitution chemistry have allowed the deliberate construction of multidentate host molecules with precisely engineered geometries. In most cases, the guests in these systems have been metal atoms, ions or complex fragments. In addition to acting as metal ligands, however, aromatic heterocycles can form charge-transfer complexes with highly polarizable molecular species such as I2 or organoiodides [3,4,5,6]. This interaction is highly directional and has a strength on the order of a hydrogen bond. As part of a crystal engineering effort to design nanoporous solids with electron-rich cavities, we have found it necessary to develop synthetic routes to “acetylene-expanded” multi-ring hosts. In these systems, the heterocycles are separated by acetylene or a multi-acetylene linkage. Related systems have recently been prepared for use in molecular electronic [7,8] and nonlinear optical devices [9] and as precursors for topopolymerization [10,11,12]. The cavity sizes and shapes in the new hosts reported here are designed to accomodate large organoiodide guests and to assemble in a predictable manner. These compounds are also potential precursors to large macrocycles [13,14].
Results and Discussion
Our synthetic strategy involves the coupling of a symmetrical “base” heterocycle with an asymmetrical “arm” heterocycle (Scheme 1). The diethynyl heterocycles 1 and 2 are readily prepared by palladium-catalysed coupling of the corresponding 2,6-dibromopyridine or 2,5-dibromothiophene with trimethyl-silylacetylene, followed by removal of the TMS protecting group with KOH [13,14]. Both of these base units are best stored cold and in the absence of light to prevent decomposition.
Scheme 1.
Scheme 1.

Arm unit 4 could be prepared in better than 90% yield by heating 2-bromothiophene in the presence of iodine and nitric acid [15], but 2-bromo-6-iodopyridine (3) proved to be more difficult to synthesize. A simple synthetic route to 3 was recently reported [16], though no spectroscopic data was provided. In this procedure, 2,6-dibromopyridine was treated with isopropylmagnesium chloride and iodine to give the desired product in a reported 90% isolated yield. Despite numerous attempts however, in our hands these reaction conditions inevitably resulted in a mixture containing substantial amounts of the starting dibromide and diiodopyridine as well as the desired product. The compounds proved to be impossible to separate, forcing us to develop an alternative route.
Using the method of Johnson and co-workers [17,18], 2-amino-6-bromopyridine was prepared from epichlorohydrin in 48% yield (this compound is now available from Aldrich). Conversion of this species to 3 using Sandmeyer conditions was found to be problematic, probably due to the basicity of the pyridine ring. Treatment with isoamyl nitrite in diiodomethane however, gave 3 in moderate yield after column chromatography [19].
Compounds 5-8 could be prepared by Sonogashira-Hagihara coupling [20] of the appropriate base and arm groups in a 1:2 ratio. The reactions were run in diethylamine at room temperature for 12 hours, giving the desired products in moderate yields (6-63%). In the cases of 5-7, chemoselective reaction at the iodo position was observed. All new compounds were characterized by IR, NMR and mass spectrometry, and each gave satisfactory elemental analysis.
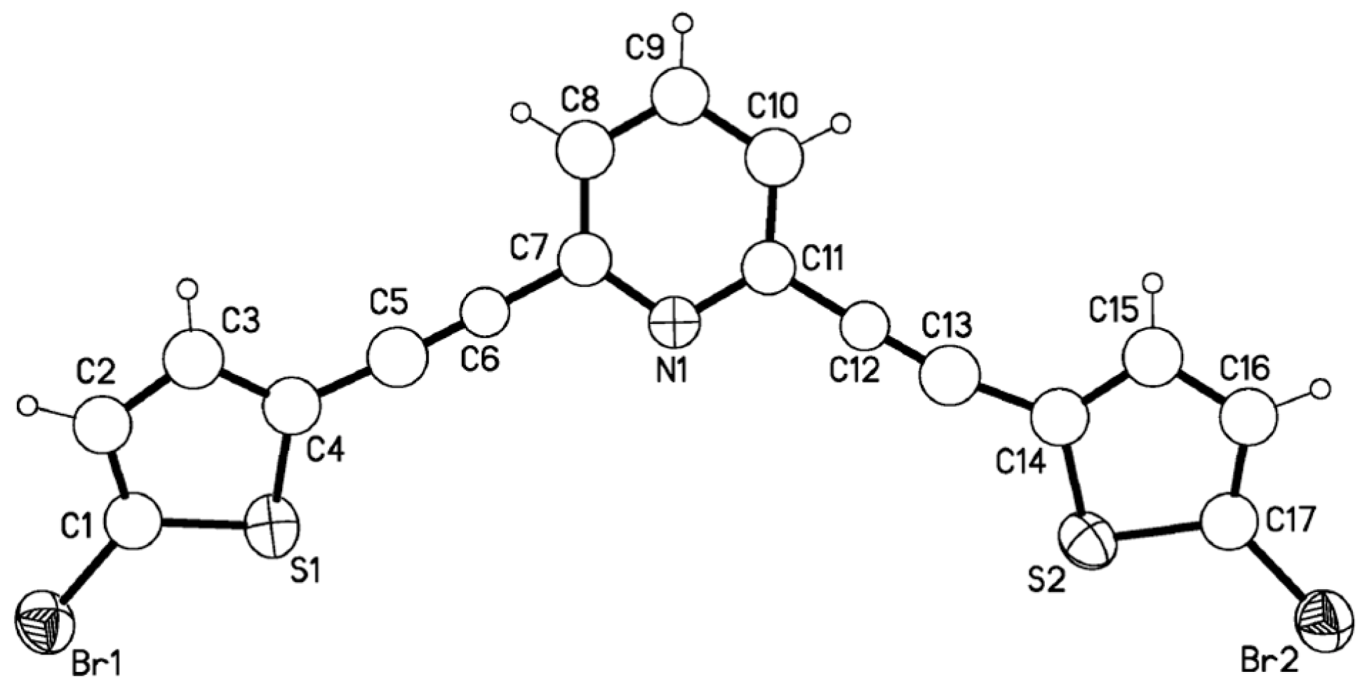
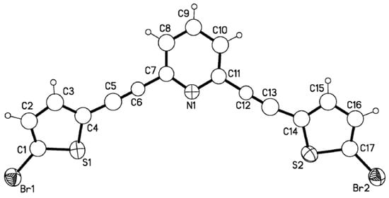
Compounds 5-8 are each expected to have an arm heteroatom to arm heteroatom distance of more than 9 Å. This is large enough to serve as a guest for organoiodides such as tetraiodoethylene or o-diiodobenzenes [3,4,5,6]. Single crystals of 7, grown from methylene chloride, were analyzed by X-ray crystallography. The heteroatoms in the arm groups are rotated to the interior of the molecular cavity (Figure 1), indicating little communication between the lone pairs. The molecule is nearly planar in the solid state, with the thiophene arms rotated out of the molecular plane by 19.8° and 29.9° (Fig 2).
Figure 1.
Thermal ellipsoid plot of 7 (50% ellipsoids).
Figure 1.
Thermal ellipsoid plot of 7 (50% ellipsoids).

Figure 2.
View of 7 parallel to the pyridine ring plane, showing the rotation of the thiophene rings.
Figure 2.
View of 7 parallel to the pyridine ring plane, showing the rotation of the thiophene rings.

Compound 5 shows extremely limited solubility in organic solvents, diminishing its usefulness for further synthetic elaboration. We are currently developing routes to derivatives of 5 in which the bromine atoms have been replaced by other, solublizing substituents.
The incorporation of thiophene rings into the system improves solubility. Unfortunately, we have been unable to effect coupling of the terminal thiophene rings in compound 7 to acetylenes. In an attempt to increase the reactivity of the halide, we reacted 1 with diiodothiophene to produce 8. Interestingly, the yield of this reaction was much worse than in the synthesis of 7. Compound 8 also failed to couple under Sonogashira-Hagihara or related coupling conditions. We do not yet understand the reason for this lack of reactivity, but it may be due to chelation of the palladium catalyst by the tricyclic systems or due to halogen bonding between heteroatoms and the halide.
Compound 6 is both soluble enough to work with and is sufficiently reactive to undergo palladium-catalyzed coupling to add additional acetylene groups onto the complex (9, Scheme 2). This deprotects cleanly to give 10. We will describe the use of 10 and related complexes as precursors to macrocycles and nanoporous solids elsewhere.
Scheme 2.
Scheme 2.

Conclusions
Palladium-catalyzed coupling of symmetrical bis(acetylene) heterocycles with asymmetric dihaloheterocycles results in new tridentate ligands with large cavities. Thiophene-containing systems are more soluble than the trispyridine complex, but terminal thiophenes are unreactive towards further coupling. Halogens on terminal pyridines will couple with acetylenes in modest yields to form viable precursors for macrocycles.
Experimental
General
1H- and 13C-NMR spectra were obtained using a Bruker WM-300 spectrometer. Mass spectrometry data were obtained using a Kratos MALDI-TOF MS. All reagents were obtained from Aldrich Chemical Company (USA) and were used as received. Solvents were obtained from commercial sources and were dried and/or purified by standard techniques and stored over activated sieves when necessary. Carbon, hydrogen, and nitrogen analyses were performed by Atlantic Microlabs, Norcross GA.
X-ray crystallography
All measurements were made on a Rigaku AFC8S diffractometer with a Mercury CCD detector at room temperature (295±1 K), with graphite-monochromated Mo Kα radiation (λ = 0.71073 Å). The data were collected to a maximum 2θ value of 52.8° in 0.5° oscillations (in ω) with two 10.0 second exposures (to identify detector anomalies). The data were corrected for Lorentz and polarization effects, and an absorption correction (Jacobson, R.A. REQABS, subroutine of Crystal Clear, Rigaku/MSC, The Woodlands, TX, 1999) was applied to the data. Crystal data for 7: C17H7NS2Br2, fw = 449.18 g mol-1, monoclinic, P21/c, a = 19.152(5) Å, b = 13.705(6) Å, c = 6.220(4) Å, β = 100.64(1)°, V = 1604.5(8) Å2, Z = 4, Dcalc = 1.86 Mg/m3, μ = 5.31 mm-1 (transmission factors: 0.47-1.00). Refinement (on F2) gave residual of R1 = 0.099 for 779 reflections with I > 4σ(I) and wR2 = 0.187 for all reflections (3179).
2-Bromo-6-iodopyridine (3). Diiodomethane (12 mL), followed by isoamylnitrite (2.0 mL, 15 mmol) were added via syringe into 2-amino-6-bromopyridine (1.00g, 3.52 mmol) in a nitrogen flushed three-neck round bottom flask. The solution was stirred at 40 °C for 1 hour and at room temperature for an additional 2 hours before loading the solution directly onto a silica gel chromatography column. The pure white solid was isolated by elution with 5:1 pet ether/dichloromethane, Rf= 0.24, 40% yield; 1H-NMR: δH (300 MHz, CDCl3): 7.68 (d, J= 7.6 Hz, 1H), 7.45 (d, J= 7.7 Hz, 1H), 7.16 (dd, J= 7.6 Hz, 1H); 13C-NMR: δC (75 MHz, CDCl3): 140.93, 139.21 (CH), 133.90 (CH), 127.36 (CH), 115.77. GC-MS, m/z (relative intensity): 285 (100), 283 (98), 158 (78), 156 (84), 127 (23), 76 (29), 50 (30).
2-Bromo-5-iodothiophene (4). Dichloromethane (8 mL), 2-bromothiophene (0.38 mL, 3.9 mmol) and 8.5 M nitric acid (6.0 mL) were added to iodine (0.50g, 2.0 mmol) contained in a three-neck round bottom flask fitted under a reflux condenser and equipped with a stir bar. The solution was heated to 50 °C and allowed to stir under nitrogen for 6 hours. The reaction mixture was quenched with water; the organic extracted with dichloromethane, washed with 50% aqueous sodium thiosulfate, dried with magnesium sulfate and filtered. A clear oil (92% yield) was obtained by Kugelrohr distillation (95°C/3mm Hg); 1H-NMR: δH (75 MHz, CDCl3): 7.01 (d, J= 3.8 Hz, 1H), 6.73 (d, J= 3.8 Hz, 1H); 13C-NMR: δC (300 MHz, CDCl3): 137.28 (CH), 131.53 (CH), 115.10, 72.49; GC-MS, m/z (relative intensity): 290 (100), 288 (94), 163 (9.2), 161 (9.4), 127 (23), 76 (29), 50 (30). Anal. Calcd for C5H3NIBr: C, 21.15; H, 1.07; N, 4.93. Found: C, 21.80; H, 1.19; N, 4.89.
2,6-Bis[2-(6-bromo-2-pyridyl)ethynyl]pyridine (5). A three-neck round bottom flask containing a stir bar was charged with 2-bromo-6-iodopyridine (0.30g, 1.1 mmol), 2,6-diethynylpyridine (0.067g, 0.53 mmol) and bis(triphenylphosphine)palladium(II) chloride (0.0090g, 2.5 mol%). The flask was flushed with nitrogen and diethylamine (20 mL) was added via syringe into the flask while stirring rapidly. Next, copper iodide (0.0025g, 2.5 mol%) was added to the mixture. After 10 hours, the reaction mixture was quenched with water; extracted with dichloromethane, and the organic layer was dried with magnesium sulfate and filtered. The extract was then run directly through a short plug of silica gel and the solvent was removed under reduced pressure. The product was recrystallized from acetone yielding a white solid (32% yield); 1H-NMR: δH (300 MHz, CDCl3): 7.49-7.71 (m, 9H); MALDI-TOF MS: m/z 440 [M+ +H]. Anal. Calcd for C19H9N3Br2: C, 51.97; H, 2.07; N, 5.97. Found: C, 52.03; H, 2.05; N, 5.90.
2,5-Bis[2-(6-bromo-2-pyridyl)ethynyl]thiophene (6). 2-Bromo-6-iodopyridine (0.30g, 1.1 mmol), 2,5-diethynyl-thiophene (0.070g, 0.53 mmol) and bis(triphenylphosphine)palladium(II) chloride (0.0090 g, 2.5 mol%) were placed in a three-neck round bottom flask along with a stir bar. The flask was flushed with nitrogen and diethylamine (20 mL) was added via syringe into the flask while stirring rapidly. Then, copper iodide (0.0025g, 2.5 mol%) was added to the mixture. After 10 hours, the reaction mixture was quenched with water; extracted with dichloromethane, and the organic layer was dried with magnesium sulfate and filtered. The solvent was removed under reduced pressure and the pure yellow solid was isolated by performing column chromatography (silica gel, 1:1 hexane/dichloromethane, Rf= 0.20) followed by recrystallization from chloroform/hexane; 45% yield; 1H-NMR: δH (300 MHz, CDCl3): 7.43-7.56 (m, 6H), 7.26 (s, 2H); 13C-NMR: δC (75 MHz, CDCl3): 143.17, 141.97, 138.36 (CH), 133.64 (CH), 127.76 (CH), 125.93 (CH), 124.51, 92.45, 83.77; MALDI-TOF MS: m/z 445 [M+ +H]. Single crystals suitable for X-ray diffraction analysis were prepared by slow evaporation of a solution of 7 in methylene chloride. Anal. Calcd for C18H8N2Br2S: C, 48.68; H, 1.82; N, 6.31. Found: C, 48.70; H, 1.89; N, 6.40.
2,6-Bis[2-(5-bromo-2-thiophenyl)ethynyl]pyridine (7). 2-Bromo-5-iodothiophene (0.32g, 1.1 mmol), 2,6-diethynylpyridine (0.067g, 0.53 mmol) and bis(triphenylphosphine)palladium(II) chloride (0.0090g, 2.5 mol%) were placed in a three-neck round bottom flask also containing a stir bar. The flask was flushed with nitrogen and diethylamine (20 mL) was added via syringe into the flask while stirring rapidly. Next, copper iodide (0.0025g, 2.5 mol%) was added to the mixture. After 10 hours, the reaction mixture was quenched with water; extracted with dichloromethane, and the organic layer was dried with magnesium sulfate and filtered. The solvent was removed under reduced pressure and a pure white solid was isolated by performing column chromatography (silica gel, 4:1 cyclohexane/dichloromethane, Rf= 0.29), followed by recrystallization from chloroform/hexane; Yield: 63%; 1H-NMR: δH (300 MHz, CDCl3): 7.65 (t, J= 7.8 Hz, 1H), 7.41 (d, J= 7.8 Hz, 2H), 7.11 (d, J= 3.9 Hz, 2H), 6.96 (d, J= 3.9 Hz, 2H); 13C-NMR: δC (75 MHz, CDCl3): 143.30, 136.54 (CH), 133.91 (CH), 130.26 (CH), 126.10 (CH), 123.66, 114.83, 92.64, 82.18; MALDI-TOF MS: m/z 450 [M+ +H]. Anal. Calcd for C17H7NBr2S2: C, 45.46; H, 1.57; N, 3.12. Found: C, 45.50; H, 1.51; N, 3.20.
2,6-Bis[2-(5-iodo-2-thiophenyl)ethynyl]pyridine (8). 2,5-diiodo-thiophene (0.37g, 1.1 mmol), 2,6-diethynylpyridine (0.067g, 0.53 mmol), and bis(triphenylphosphine)palladium(II) chloride (0.0090g (2.5 mol%) were placed in a three-neck round bottom flask containing a stir bar. The flask was flushed with nitrogen and diethylamine (20 mL) was added via syringe into the flask while stirring rapidly. Next, copper iodide (0.0025g, 2.5 mol%) was quickly added to the mixture. After stirring for 10 hours, the reaction mixture was quenched with water; extracted with dichloromethane, and the organic layer was dried with magnesium sulfate and filtered. The solvent was removed under reduced pressure and the pure white solid was isolated by performing column chromatography (silica gel, 4:1 cyclohexane/dichloromethane, Rf= 0.26), followed by recrystallization from chloroform/hexane. Yield: 6%; 1H-NMR: δH (300 MHz, CDCl3): 7.64 (t, J= 7.8 Hz, 1H), 7.37 (d, J= 6.0 Hz, 2H), 7.14 (d, J= 3.8 Hz, 2H), 7.00 (d, J= 3.8Hz, 2H); 13C-NMR: δC (75 MHz, CDCl3): 143.27, 137.20 (CH), 136.49, 134.79 (CH), 128.054 (CH), 126.117 (CH), 93.47, 81.90, 72.6. MALDI-TOF MS: m/z 543 [M+ +H].
2,6-Bis[2-(5-trimethylsilylethynyl-2-thiophenyl)ethynyl]pyridine (9). 2,5-bis[2-(6-Bromo-2-pyridyl)-1-ethynyl]thiophene (0.0078, 2.5 mol%), bis(triphenylphosphine)palladium(II) chloride (0.20 g, 0.45 mmol), and copper iodide (0.0021g, 2.5 mol%) were placed in a three-neck round bottom flask containing a stir bar. The flask was flushed with nitrogen and triethylamine (3 mL), tetrahydrofuran (2 mL), and trimethylsilylacetylene (0.14 mL, 0.98 mmol) were sequentially added via syringe into the flask. After stirring for 8 hours at 50 °C, the reaction mixture was quenched with water; extracted with dichloromethane, and the organic layer was dried with magnesium sulfate and filtered. The solvent was removed under reduced pressure and the pure yellow solid was isolated by performing column chromatography (silica gel, 1:1 hexane/dichloromethane, Rf= 0.25). Yield: 32%; 1H-NMR: δH (300 MHz, CDCl3): 7.63 (m, 2H), 7.41 (m, 4H), 7.24 (s, 2H), 0.25 (s, 9H) ; 13C-NMR: δC (75 MHz, CDCl3): 143.58, 143.01, 135.38 (CH), 133.32 (CH), 126.64 (CH), 126.33 (CH), 124.58, 102.94, 95.74, 93.17, 82.30, 0.00 (CH).
2,5-Bis[2-[6-ethynyl-2-pyridyl]ethynyl]thiophene (10). A nitrogen flushed single-neck round bottom flask containing a stir bar was charged with tetrahydrofuran (10 mL), methanol (3 drops) and 2,5-bis[2-[6-[2-(trimethylsilyl)-1-ethynyl]-2-pyridyl]-1-ethynyl]thiophene (0.10g, 0.21 mmol). Tetrabutyl-ammonium fluoride (0.46 mL of 1.0 M solution in tetrahydrofuran) was slowly added via syringe into the stirred solution. After 2 hours, the reaction mixture was quenched with water; extracted with dichloromethane, and the organic layer was dried with magnesium sulfate and filtered. The solvent was removed under reduced pressure and the pure pale-yellow solid was isolated and purified by column chromatography (silica gel, 1:1 hexane/dichloromethane, Rf= 0.41) followed by recrystallization from chloroform/hexane. Yield: 85%; 1H-NMR: δH (300 MHz, CDCl3): 7.66 (dd, J= 7.87 Hz, 2H), 7.47 (d, J= 7.70 Hz, 2H), 7.42 (d, J= 8.76 Hz, 2H), 7.25 (s, 2H), 3.16 (s, 2H); 13C-NMR: δC (75 MHz, CDCl3): 143.19, 142.87, 136.54 (CH), 133.43 (CH), 127.14 (CH), 126.25 (CH), 124.55, 93.03, 82.40, 77.80, 77.72 (CH).
Acknowledgements
This work was supported by the Petroleum Research Fund.
References and Notes
- Lehn, J. -M. Perspectives in Supramolecular Chemistry- From Molecular Recognition towards Molecular Information Processing and Self-Organization. Angew. Chem. Int. Ed. Engl. 1990, 29, 1304–1319. [Google Scholar] [CrossRef]
- Zaworotoko, M. J. Crystal Engineering of Diamondoid Networks. Chem. Soc. Rev. 1994, 23, 283–288. [Google Scholar] [CrossRef]
- Rimmer, E. L.; Bailey, R. D.; Hanks, T. W.; Pennington, W. T. Complexes of Acridine and 9-Chloroacridine with I2: Formation of Unusual I6 Chains through Charge-Transfer Interactions Involving Amphoteric I2. Chem. Eur. J. 2000, 6, 4071–4081. [Google Scholar] [CrossRef]
- Hanks, T. W.; Pennington, W. T.; Bailey, R. D. Iodine and Organoiodide Templates in Supramolecular Synthesis. In Anisotropic Organic Materials Approaches to Polar Order, ACS Symp. Ser.; Glaser, R., Kaszynski, P., Eds.; American Chemical Society: Washington, DC, 2001; Vol. 798, pp. 83–96. [Google Scholar]
- Bailey, R. D.; Hook, L. L.; Watson, R. P.; Hanks, T. W.; Pennington, W. T. Tetraiodoethylene: A Supramolecular Host for Lewis Base Donors. Crystal Eng. 2000, 3, 155–171. [Google Scholar] [CrossRef]
- Walsh, R. B.; Padgett, C. W.; Metrangolo, P.; Resnati, G.; Hanks, T. W.; Pennington, W. T. Crystal engineering through halogen-bonding: Complexes of nitrogen heterocycles with organic iodides. Cryst. Growth & Des. 2001, 1, 165–175. [Google Scholar]
- Tour, J.M. Molecular Electronics. Synthesis and Testing of Components. Acc. Chem. Res. 2000, 33, 791–804. [Google Scholar] [CrossRef]
- Diederich, F. Carbon-rich Acetylenic Scaffolding: Rods, Rings, and Switches. Chem. Commun. 2001, 219–227. [Google Scholar] [CrossRef]
- Organic Materials for Nonlinear Optics III; Ashwell, G.J.; Bloor, D. (Eds.) Royal Society of Chemistry: Cambridge, 1993.
- Sukwattanasinitt, M.; Lee, D. -C.; Kim, M.; Wang, X.; Li, L.; Yang, K.; Kumar, J.; Tripathy, S. K.; Sandman, D.J. New Processable, Functionalizable Polydiacetylenes. Macromolecules 1999, 32, 7361–7369. [Google Scholar] [CrossRef]
- Xiao, J.; Yang, M.; Lauher, J. W.; Fowler, F. W. A Supramolecular Solution to a Long-Standing Problem: The 1,6-Polymerization of a Triacetylene. Angew. Chem. Int. Ed. 2000, 39, 2132–2135. [Google Scholar] [CrossRef]
- Phelps, D.; Crihfield, A.; Hartwell, J.; Hanks, T. W.; Pennington, W. T.; Bailey, R. D. Synthesis of Polydiacetylene Charge-Transfer Complexes. Mol. Cryst. Liquid Cryst. 2000, 354, 523–530. [Google Scholar] [CrossRef]
- Bunten, K.; Kakkar, A. K. Synthesis, Optical Absorption, Fluorescence, Quantum Efficiency, and Electrical Conductivity Studies of Pyridine/Pyridinium Dialkynyl Organic and Pt(II)-σ-Acetylide Monomers and Polymers. Macromolecules 1996, 29, 2885–2893. [Google Scholar] [CrossRef]
- Lewis, J.; Long, N. J.; Raithby, P. R.; Shields, G. P.; Wong, W.; Younus, M. Synthesis and characterization of New Acetylide-Functionalized Oligothiophenes and their Dinuclear Platinum Complexes. J. Chem. Soc., Dalton Trans. 1997, 22, 4283–4288. [Google Scholar] [CrossRef]
- Barker, J. L.; Huddleston, P. R.; Wood, J. L. Mannich Reactions of Methoxy Thiophenes. Synth. Commun. 1975, 5, 59–64. [Google Scholar] [CrossRef]
- Trécourt, F.; Breton, G.; Bonnet, V.; Mongin, F.; Marsais, F.; Quéguiner, G. Pyridylmagnesium Chlorides from Bromo and Dibromopyridiens by Bromine-Magnesium Exchange: A Convenient Access to Functionalized Pyridines. Tetrahedron Lett. 1999, 40, 4339–4342. [Google Scholar]
- Johnson, F.; Panella, J. P.; Carlson, A. A. Polyfunctional Aliphatic Compounds. I. The Preparation of 3-Hydroxyglutaronitriles. J. Org. Chem. 1962, 27, 2241–2243. [Google Scholar] [CrossRef]
- Johnson, F.; Panella, J. P.; Carlson, A. A.; Hunneman, D. H. Polyfunctional Aliphatic Compounds. II. The Cylization of Dinitriles by Anhydrous Halogen Acids. Pyridines. J. Org. Chem. 1962, 27, 2473–2478. [Google Scholar] [CrossRef]
- Smith, W. B.; Ho, O. C. Application of the Isoamyl Nitrite-Diiodomethane Route to Aryl Iodides. J. Org. Chem. 1990, 55, 2543–2545. [Google Scholar] [CrossRef]
- Sonogashira, K.; Tohada, Y.; Hagihara, N. A Convenient Synthesis of Acetylenes: Catalytic Substitutions of Acetylenic Hydrogen with Bromoalkenes, Iodoarenes, and Bromopyridines. Tetrahedron Lett. 1975, 4467–4470. [Google Scholar] [CrossRef]
- Samples Availability: Available from the authors.
© 2002 by MDPI (http://www.mdpi.org). Reproduction is permitted for noncommercial purposes.