Next Article in Journal
Virtual Screening in Lead Discovery: A Viewpoint
Previous Article in Journal
Fractal Hybrid Orbitals Analysis of the Tertiary Structure of Protein Molecules
 
 
Font Type:
Arial Georgia Verdana
Font Size:
Aa Aa Aa
Line Spacing:
Column Width:
Background:
Article

Thirteen New Xanthone Derivatives from Calophyllum caledonicum (Clusiaceae)

by
Cécile Morel
1,
Anne-Emmanuelle Hay
1,
Marc Litaudon
2,
Thierry Sévenet
2,
Denis Séraphin
1,
Jean Bruneton
1 and
Pascal Richomme
1,*
1
SONAS, UFR des Sciences Pharmaceutiques et Ingénierie de la santé, 16 Bd Daviers, F-49100 Angers, France
2
ICSN-CNRS, Gif-sur-Yvette, F-91191, France
*
Author to whom correspondence should be addressed.
Molecules 2002, 7(1), 38-50; https://doi.org/10.3390/70100038
Submission received: 11 October 2001 / Revised: 28 November 2001 / Accepted: 28 November 2001 / Published: 31 January 2002

Abstract

:
An EtOAc extract of the stem bark of Calophyllum caledonicum (Clusiaceae) yielded thirteen new hydroxylated and/or prenylated xanthone derivatives, namely 5-hydroxy-8-methoxyxanthone (1), 3,5-dihydroxy-1,2-dimethoxyxanthone (2), 1,8-dihydroxy-6,7-dimethoxyxanthone (3), 5,7-dihydroxy-2,6-dimethoxyxanthone (4), 6,8-dihydroxy-3,7-dimethoxy-xanthone (5), 2,5,6,7,8-pentahydroxyxanthone (6), 1,3,8-trihydroxy-5,7-dimethoxyxanthone (7) and according to a previously adopted nomenclature [3], caledonixanthone G-L. (8-13). The structural elucidation of 1-13 were mainly established on the basis of 1D and 2D NMR and HRMS spectroscopic analysis.

Introduction

The genus Calophyllum (Guttiferae) is already known as a rich source of oxygenated and prenylated polyphenol derivatives belonging to the coumarin or the xanthone types of secondary metabolites [1,2,3,4,5]. Among 187 known species, Calophyllum caledonicum Vieill. is an endemic one restricted to New-Caledonia where it is locally used by natives as a diuretic. We have already shown the presence of numerous xanthones in C. caledonicum [3,4,5], some of them exhibiting quite interesting antifungal activities [4]. In our continuing search for novel biologically active compounds, we thus have carried on our phytochemical study of this species and we report hereafter on the isolation and the structure determination of new xanthones 1-13 (Scheme 1 and Scheme 2).

Results and discussion

The molecular formula of 1 (C14H10O4) was established by HRMS(EI) analysis of its molecular ion at m/z 242.0579 (Calcd. 242.0576). The UV spectrum of 1 showed maxima at 230, 256, 304 and 363 nm similar to those of hydroxylated xanthones [6]. The 1H-NMR spectrum (Table 1) showed the presence in the molecule of a 1,2-disubstituted benzene ring [δH 8.34 (1H, dd, J = 8.0, 1.5 Hz), 7.39 (1H, dd, J = 8.0, 8.0 Hz), 7.71 (1H, ddd, J = 8.5, 8.0, 1.5 Hz) and 7.46 ppm (1H, d, J = 8.5 Hz)], a methoxyl group (δH 3.99 ppm), a hydroxyl group (δH 5.51 ppm) and two ortho-coupled aromatic protons [δH 7.29 (1H, d, J = 9.0 Hz) and 6.74 ppm (1H, d, J = 9.0 Hz)]. The substitution pattern of the xanthone was finally deduced from the HMBC spectrum of 1, which was thus identified as 5-hydroxy-8-methoxyxanthone. It should be noticed that though 1 has already been synthesized [7], this is the first report on the isolation of this compound from a natural source. Compounds 2-7 were then firmly identified from the same kind of spectroscopic data sets (see Experimental and Table 1 & Table 2) since these xanthones only differed from 1 in their number of hydroxyl or methoxyl groups and/or the substitution patterns of their aromatic rings.
Scheme 1.
Scheme 1.
Molecules 07 00038 g001
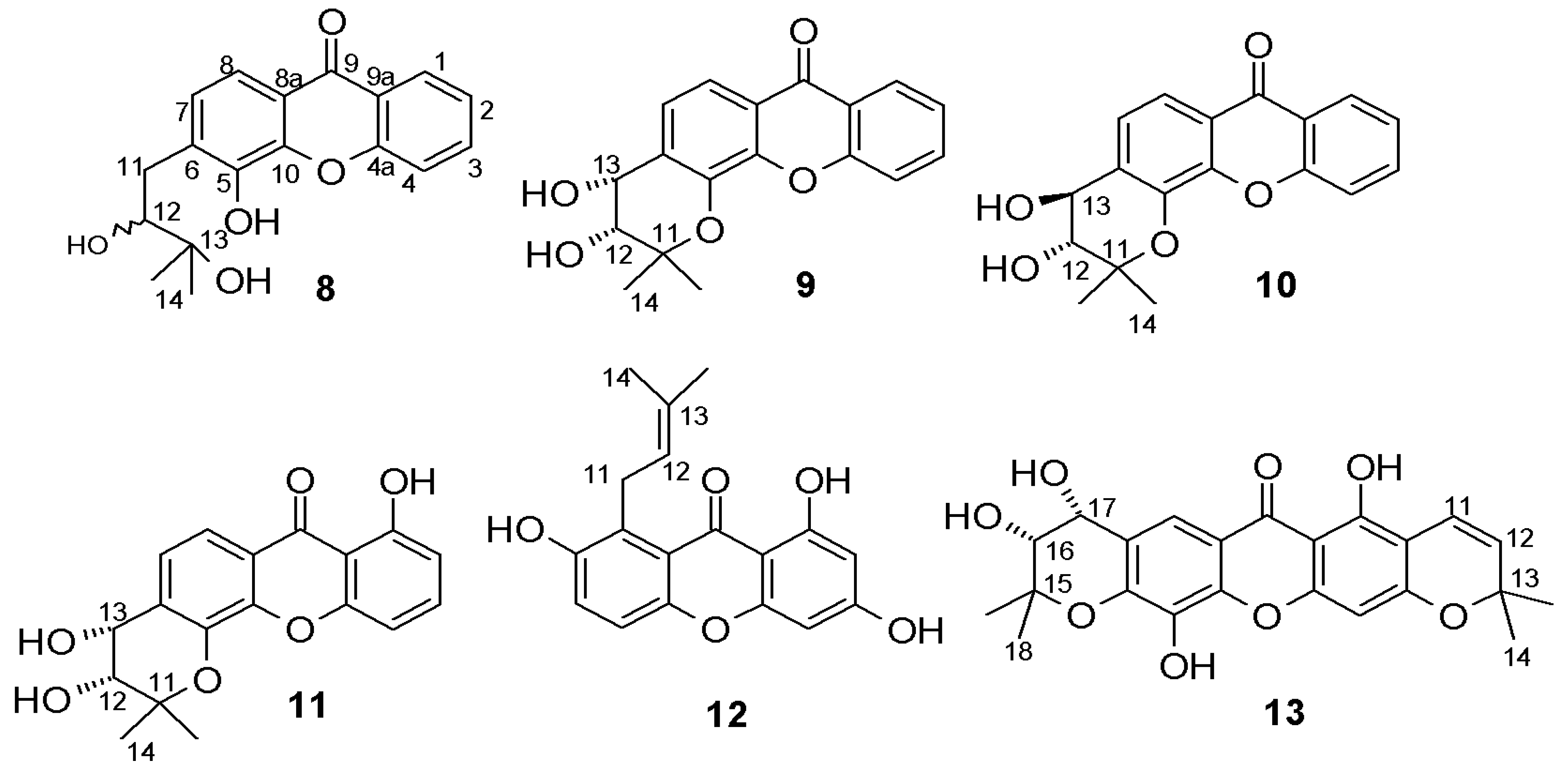
The HRMS(APCI) of 8 showed a [M-H2O]+ ion at m/z 296.1027 which was consistent with a molecular formula of C18H18O5. The 1H-NMR spectrum showed the presence of a 1,2-disubstituted benzene ring [δH 8.23 (1H, dd, J = 8.0, 2.0 Hz), 7.43 (1H, dd, J = 8.0, 8.0 Hz), 7.81 (1H, ddd, J = 8.0, 8.0, 2.0 Hz) and 7.60 ppm (1H, d, J = 8.0 Hz)] whereas two ortho-coupled protons could be identified as two upfield doublets (J = 8.0 Hz) at δH 7.24 and 7.66 ppm. In the HMBC spectrum, a correlation between one of these ortho-coupled protons (δH 7.66 ppm) and the carbonyl at δC 176.9 ppm. then indicated that 8 was a 5,6-disubstituted xanthone. The 1H-NMR spectrum of 8 also showed the presence of two magnetically equivalent methyl groups [δH 1.26 ppm (6H, s)], an oxymethine proton [δH 3.75 (1H, dd, J = 10.0, 2.0 Hz)] and two methylene protons [δH 2.89 and 3.15 ppm (1H each, dd, J = 10.0, 2.0 Hz). These elements characterized the presence of a 2,3-dihydroxy-3-methyl-butyl chain in the molecule of 8. Finally, on the addition of NaOMe, the UV spectrum (MeOH) of 8 exhibited a strong bathochromic shift demonstrating the presence of a hydroxyl group at C-5. The structure of caledonixanthone G, confirmed by its HMBC data was thus characterized as 8.
Scheme 2.
Scheme 2.
Molecules 07 00038 g002
The HRMS(EI) of 9 showed the molecular ion at m/z 312.1005 (Calcd. 312.0998) and the molecular formula to be C18H16O5. As for 8, the 1H-NMR and HMBC spectra of 9 were indicative of a 5,6-disubstituted xanthone. The 1H-NMR spectrum of 9 further showed the presence of a gem-dimethyl function [δH 1.35 and 1.40 ppm (3H each, s), H-12 and H-13] whereas the characteristic deshielded protons of a dihydrogenated dihydroxypyran ring resonated as two cis coupled doublets (J = 5.0 Hz) at δH 5.53 and 4.50 ppm. In the HMBC spectrum of 9, the quaternary oxygen-bearing carbon of this pyran ring (δc 71.9 ppm) both correlated with H-12 and H-13 on one hand and the aforementioned gem-dimethyl protons on the other hand. These elements thus characterized a 3,4-dihydroxy-2,2-dimethyl chroman moiety and the structure of this xanthone which we have named caledonixanthone H (9) was further confirmed by long-range proton-carbon correlations. Compound 9 was here isolated as a racemate since neither optical rotation nor CD effects could be measured for this compound.
Caledonixanthone I (10) was then readily identified since this compound showed UV, NMR and MS data very similar to those of caledonixanthone H, 9. The only significant differences in the 1H- and 13C-NMR spectra of 9 and 10 (Table 3) were observed for the signals assignable to the chroman ring. Indeed, a coupling constant of 8.0 Hz between H-12 and H-13 there indicated that caledonixanthone I (10) was the trans isomer of 9.
Compound 11 or caledonixanthone J had the molecular formula C18H16O6 [HRMS(EI): M+ at m/z 328.0958]. The UV spectrum of 11 showed absorptions at 252, 315 and 379 nm and the bathochromic shift observed upon addition of AlCl3 indicated the presence of a chelated hydroxyl group at C-1. The 1H-NMR spectrum of 11 both showed the presence of two ortho-coupled protons [δH 7.38 and 7.78 ppm (1H each, d, J = 8.0 Hz)] and the existence of a 1,2,3-trisubstituted benzene ring [δH 6.76 (1H, d, J = 8.0 Hz), 7.63 (1H, dd, J = 8.5, 8.0 Hz) and 7.01 ppm (1H, d, J = 8.5 Hz)]. In the HMBC spectrum of 11,one of these ortho-coupled protons (δH 7.78 ppm) was correlated to the carbonyl of the xanthone (C-9 at δC 183.5 ppm). These results indicated that 11 had a 1-hydroxy-5,6-disubstituted xanthone structure by comparison with 9, The 1H-NMR and HMBC spectrum of 11 showed the presence 3,4-cis-dihydroxy-2,2-dimethylchroman in the molecule (Table 4). Further inspection of the HMBC data of 11 finally allowed us to firmly identify this compound as caledonixanthone J.
The HRMS(EI) revealed the molecular formula C18H16O5 for 12 (M+ at m/z 312.1013). The UV spectra of 12 (see Experimental) were those of a xanthone bearing hydroxyls at C-1 and either C-3 or C-6. The 1H-NMR spectrum of 12 showed two AB spins systems at δH 6.08 (1H, d, J = 2.0 Hz) and 6.17 ppm (1H, d, J = 2.0 Hz)] one the one hand and δH 7.13 (1H, d, J = 9.0 Hz) and 7.29 ppm (1H, d, J = 9.0 Hz) on the other hand. From these elements, ring A was then identified as a 1,3-dihydroxy benzene system, while it was established that ring B was disubstituted by one hydroxyl and had one other substituent at C-7 and C-8. Furthermore, typical signals of a prenyl group [δH 4.18 (2H, d, J = 6.5 Hz), 5.31 (1H, d, J = 6.5 Hz), 1.81 (3H, s) and 1.61 ppm (3H, s)] were also observed in the 1H-NMR spectrum of 12. The relative location of this prenyl and the hydroxyl on ring B were then deduced by interlocking different HMBC correlations, i. e. the correlations observed between the aromatic proton at δH 7.29 ppm (H-7) and C-10a (δC 151.9 ppm) and C-8 (δC 128.8 ppm), as well as the ones existing between the methylene protons of the isoprenyl (δH 4.18 ppm) and C-7 (δC 152.1 ppm), C-8 (δC 128.8 ppm) and (C-8a δC 119.6) ppm) and. Accordingly, the hydroxyl the prenyl substituents of ring B were located at C-7 and C-8, respectively. This way, the structure of the so-called caledonixanthone K was concluded to be 12.
Compound 13, which we have named caledonixanthone L, showed in its HRMS(EI) the molecular ion at m/z 426.1328 (Calcd. 426.1315), corresponding to C23H22O8. The UV spectra of 13 were indicative of a xanthone exhibiting one hydroxyl peri to the carbonyl of the heterocycle, i. e. at C-1 (δC 161.7 ppm). From the 1H-NMR spectrum of 13, a 2,2-dimethylchromene ring [δH 1.47 (6H, s), 6.69 and 5.68 ppm (1H each, d, J = 10,0 Hz)], a 3,4-cis-dihydroxy-2,2-dimethylchroman moiety [δH 1.30 (3H, s), 1.32 (3H, s), 4.39 and 5.39 ppm (1H each, d, J = 4.5 Hz)] and two aromatic proton singlets [δH 7.66 and 6.44 ppm)] were firmly identified by direct comparison with the NMR data of caledonixanthones G-K (8-12). In the HMBC spectrum of 13 the correlations observed between one of the aromatic protons (δH 7.66 ppm) and C-9 (δC 182.2 ppm), C-10a (δC 149.0 ppm), C-6 (δC 155.1 ppm) and an oxymethine carbon at δC 73.5 ppm indicated that ring B was substituted with an hydroxyl at C-5 and a 3,4-cis-dihydroxy-2,2-dimethylchroman moiety at C-6,7). Turning to ring A, one cis-olefinic proton (δH 6.69 ppm, H-11) appeared to correlate with C-2 at δC 161.7 ppm and C-3 at δC 158.5 ppm. These results thus indicated that the dimethylchromene ring was located at C-2,3 and therefore, the structure of caledonixanthone L was established as 13.
The antifungal activity of compounds 1-13 against the human pathogenic fungi Candida albicans and Aspergillus fumigatus was finally evaluated following a procedure already described [4]. Unfortunately, compounds 1-13 appeared to be inactive under these conditions (IC80 > 250 μg.ml-1) , when compared to our positive control (amphotericin B, IC80 = 8 μg.ml-1).
Table 1. 1H NMR (270 MHz) data for compounds 1-7 [δ in ppm, (J) in Hz].
Table 1. 1H NMR (270 MHz) data for compounds 1-7 [δ in ppm, (J) in Hz].
Proton1a2b3b4c5c6c7a
18.34 dd--7.49 d8.02 d7.42 d-
(8.0; 1.5) (3.5)(9.0)(2.0)
27.39 dd-6.80 d-6.79 dd-6.02 d
(8.0, 8.0) (8.0) (9.0, 2.5) (2.0)
37.71 ddd-7.58 dd7.13 dd-7.36 dd-
(8.5, 8.0, 1.5) (8.0, 7.5)(9.0, 3.5) (8.5, 2.0)
47.46 d6.73 s6.88 d7.26 d6.71 d6.72 d6.21 d
(8.5) (7.5)(9.0)(2.5)(8.5)(2,0)
5--6.50 s-6.63 s--
67.29 d7.18 d----7.08 s
(9.0)(7.5)
76.74 d7.13 dd-----
(9.0)(7.5, 7.5)
8-7.60 d-6.41 s---
(7.5)
1-OR-3.90 s11,92 s---11.70d s
2-OR-3.88 s-3.91 s---
3-OR----3.93 s--
5-OR5.51s-----3.73e s
6-OR--4.00 s3.84 s---
7-OR--3.94 s-3.87 s-3.67d s
8-OR3.99 s-11.91 s---11.15f s
a in CDCl3; b in CD3COCD3; c in CD3OD; e, fAssignments may be interchanged in the same column
Table 2. 13C-NMR (67 MHz) data for compounds 1-7 (δ in ppm)
Table 2. 13C-NMR (67 MHz) data for compounds 1-7 (δ in ppm)
Carbon1a2b3b4c5c6c7c
1127.2154.0157.3110.1128.5117.8163.2
2124.4141.3110.8154.6114.2145.398.4
3134.4163.1136.8123.5154.3123.1167.5
4116.9100.7106.9119.2102.3115.394.2
4a154.8156.1161.2150.4158.2149.1156.0
5138.0146.890.9154.1d101.4129.0d139.7
6119.9119.4159.8143.0165.0130.0d108.7
7105.4123.7132.0166.4d141.7129.9d142.1
8153.8116.6160.5102.1156.3145.3d150.8
8a112.5123.8111.1106.5108.2127.0d109.7
9175.1174.5184.9176.6177.8175.3184.8
9a123.0108.0102.8122.5115.2130.6101.4
10a145.0145.0153.6157.6156.0149.1148.0
1-OMe-61.1-----
2-OMe-61.8-62.0---
3-OMe----61.9--
5-OMe------56.9
6-OMe--56.461.2---
7-OMe--60.9-61.2-56.9
8-OMe56.6------
ain CDCl3; bin CD3COCD3; cin CD3OD; dAssignments may be interchanged in the same column.
Table 3. 1H- (270 MHz, A) and 13C-NMR (67.5 MHz, B) data for compounds 8-10 (CD3OD)
Table 3. 1H- (270 MHz, A) and 13C-NMR (67.5 MHz, B) data for compounds 8-10 (CD3OD)
H or C
8910
ABABAB
18.23 dd 127.08.30 d 127.48.26 dd 127.2
(8.0, 2.0) (8.0) (8.0, 1.5)
27.43 dd124.87.45 dd125.57.45 dd 125.5
(8.0, 8.0) (8.0, 8.0) (8.0, 8.0)
37.81 ddd135.77.78 dd136.67.80 ddd136.6
(8.0, 8.0, 2.0) (8.5, 8.0) (8.0, 8.0, 1.5)
47.60 d119.07.62 d119.37.67 d119.5
(8.0) (8.5) (8.0)
4a-156.8-157.4-157.6
5-145.5-137.5-143.0
6-134.5-121.5-132.0
77.24 d127.27. 7.52 d124.1
(8.0) 40 d119.2(8.5)
87.66 d116.4(8.0) 7.78 d117.3
(8.0) 7.80 d124.1(8.5)
8a-121.9(8.0)178.6-122.6a
9-176.9-122.7-178.9
9a-122.3-143.4-122.7a
10a-146.5-71.9-147.4
112.89, 3.15 dd34.5- -81.6
(10.0, 2.0) -99.8
123.75 dd80.2 3.65 d76.2
(10.0, 2.0) 4.50 d74.1(8.0)
13-72.8(5.0) 4.61 d69.9
5.53 d25.7(8.0)
141.26s25.4(5.0)25.31.32 s19.6
1.35 s 1.60 s26.9
1.40 s
aAssignments may be interchanged in the same column.
Table 4. 1H- (270 MHz, A) and 13C-NMR (67.5 MHz, B) data for compounds 11-13
Table 4. 1H- (270 MHz, A) and 13C-NMR (67.5 MHz, B) data for compounds 11-13
H or C
11a12b13a
ABABAB
1-162.9-163.1-161.7
26.76 d111.56.08 d99.7-105.5
(8.0) (2.0)
37.63 dd138.1-145.8-158.5c
(8.5, 8.0)
47.01 d108.26.17 d94.56.44 s96.0
(8.5) (2.0)
4a-157.5-158.5-158.7c
5-149.37.13 d116.5-163.8
(9.0)
6-136.87.29 d123.0-155.1
(9.0)
77.38 d121.5-152.1-129.4
(8.0)
87.78 d118.7-128.87.66 s111.9
(8.0)
8a-123.0-119.6-116.7
9-183.5-183.0-182.2
9a-109.9-101.5-103.7
10a-143.2-151.9-149.0
11-71.84.18 d25.16.69 d116.2
(6.5) (10.0)
124.45 d99.85.31 t124.85.68 d128.8
(5.5) (6.5) (10.0)
135.47 d74.1-130.9-79.3
(5.5)
141.30 s25.21.61 s18.21.47 s28.6
1.34 s25.81.81 s25.2
15-----71.9
16----4.39 d99.8
(4.5)
17----5.39 d73.5
(4.5)
18----1.30 s25.3
1.32 s25.5
ain CD3OD; bin CD3COCD3; cAssignments may be interchanged in the same column.

Experimental

General

Melting points were determined on a Electrothermal 8100 melting point apparatus and were uncorrected. Optical rotations were measured on a Schmidt-Haensch-polartronic-I polarimeter. UV spectra were taken on a Hitachi U-2000 spectrophotometer. HREIMS were recorded on Varian MAT 311 spectrometer at 70 eV for EI data and on a JMS-700 spectrometer with PEG matrix for APCI data. NMR spectra were recorded in CDCl3 solutions on Jeol GSX 270 WB FT and Bruker AMX 500 (2-D experiments) instruments using TMS as internal standard. Si gel 60 (Macherey-Nagel, 230-400 mesh) was used for column chromatography, precoated Si gel plates (Macherey-Nagel, SIL G/UV254, 0.25 mm) were used for preparative TLC. The compounds were detected by UV at 254 and 366 nm.

Plant Material

The stem bark of Calophyllum caledonicum was collected from the “Rivière bleue” area, New Caledonia, during September 1997. A herbarium specimen is deposited at the Laboratoire des Plantes Medicinales, CNRS, Noumea, New Caledonia, under reference LIT 0315.

Extraction of C. caledonicum and isolation of compounds 1-13

Air dried and powdered stem bark (1.8 kg) of Calophyllum caledonicum was successively extracted in a Soxhlet apparatus (72h) with hexane, dichloromethane, ethyl acetate and methanol. Concentration under reduced pressure gave 131.0 g (7.3%) of hexane-soluble, 29.7 g (1.65%) of dichloromethane-soluble, 23.4 g (1.3%) of ethyl acetate-soluble and 447.0 g (24.8%) of methanol-soluble extracts. 5.0 g of the EtOAc-soluble extract were subjected to column chromatography over 250 g of silica gel using a gradient of 100% CH2Cl2 to 20% CH2Cl2 - 80% EtOAc in 5% stepwise elutions (30 x 100 mL) and then 99% EtOAc - 1% MeOH to 80% EtOAc - 20% MeOH in 2% stepwise elutions (15 x 100 mL) which afforded 45 fractions (total elution volume : 4.5 L).
Fractions 7-10 (150 mg) were combined and chromatographed over 8 g of Si gel (elution with 85% CH2Cl2 –15% EtOAc, 10 x 50 mL) to yield caledonixanthone K (12) (2 mg, 0.01%), 1,8-dihydroxy-6,7-dimethoxyxanthone (3) (4 mg, 0.02%). Fractions 11-14 (150 mg) were combined, then chromatographed over 7.5 g of Si gel (elution with 85% CH2Cl2 – 15% EtOAc, 10 x 40 mL) to yield 1,3,8-trihydroxy-5,7-dimethoxyxanthone (7) (9 mg, 0.04%), 5-hydroxy-8-methoxyxanthone (1) (2 mg, 0.01%). Fractions 15-25 (285 mg) were combined and chromatographed over 14 g of Si gel using 85% CH2Cl2 - 15 % EtOAc to 70% CH2Cl2 – 30% EtOAc in 5% stepwise elutions (18 x 50 mL) and yielded caledonixanthone L (13) (9 mg, 0.04%) and 3,5-dihydroxy-1,2-dimethoxyxanthone (2) (2 mg, 0.01%). Fractions 26-30 (350 mg) were mixed and chromatographed over 17 g of Si gel using 75% CH2Cl2 - 25% EtOAc to 50% CH2Cl2 - 50% EtOAc in 5% stepwise elutions (22 x 50 mL) and yielded 5,7-dihydroxy-2,6-dimethoxyxanthone (4) (8 mg, 0.03%) and 6,8-dihydroxy-3,7-dimethoxyxanthone (5) (5 mg, 0.02%).
Fraction 36 (705 mg) was chromatographed over 20 g of Si gel using 99% CH2Cl2 - 1% MeOH to 50% CH2Cl2 - 50% MeOH (8 x 50 mL) and yielded caledonixanthone J (11) (10 mg, 0.04%), caledonixanthone I (10) (8 mg, 0.03 %), caledonixanthone G (8) (7 mg, 0.03%) and caledonixanthone L (13) (4 mg, 0.02%). Fraction 37 (109 mg) was chromatographed over 6 g of Sephadex LH-20 using methanol as mobile phase and yielded caledonixanthone I (10) (4 mg, 0.02%), 2,5,6,7,8-penta-hydroxyxanthone (6) (7 mg, 0.03%) and caledonixanthone H (9) (5 mg, 0.02%). Fractions 38 (205 mg) was chromatographed over 10 g of Sephadex using methanol and yielded caledonixanthone L (13) (5 mg, 0.02%). Fraction 39 (85 mg) was chromatographed over 8 g of Sephadex using methanol and yielded 2,5,6,7,8-pentahydroxyxanthone (6) (4 mg, 0.02%).

Spectral Data

5-Hydroxy-8-methoxyxanthone (1): Isolated as an amorphous solid; UV (MeOH): λmax(logε) 230 (3.76), 256 (3.72), 304 (3.26), 363 nm (3.11); MeOH + NaOMe: 215 (4.36), 268 (3.71), 303 nm (3.46); MeOH + AlCl3 : 230 (3.87), 257 (3.76), 304 (3.37), 363 nm (3.22); MeOH + AlCl3 + HCl: 230 (3.78), 256 (3.75), 298 (3.37), 363 nm (3.14); MeOH + NaOAc: 213 (4.31), 255 (3.69), 305 nm (3.27); MeOH + NaOAc + H3BO3 : 216 (4.36), 256 (3.73), 304 nm (3.27). IR νmax cm-1 3633, 1720, 1656, 1320, 1270, 1090, 758. NMR: see Table 1 and Table 2. HRMS(EI):: [M]+ 242.0576 (calcd. 242.0579 for C14H10O4).
3,5-Dihydroxy-1,2-dimethoxyxanthone (2): Isolated as an amorphous solid; UV (MeOH): λmax(logε) 245 (4.15), 288 (3.74), 350 nm (3.80); MeOH + NaOMe: 216 (4.16), 256 (4.02), 293 (3.81), 349 nm (3.93); MeOH + AlCl3 : 247 (4.16), 271 (3.84), 307 (3.76), 347 nm (3.49); MeOH + AlCl3 + HCl: 248 (4.11), 272 (3.79), 308 (3.71), 349 nm (3.42); MeOH + NaOAc: 213 (4.11), 236 (4.14), 283 (3.72), 350 nm (3.94); MeOH + NaOAc + H3BO3 : 216 (4.15), 246 (4.15), 292 (3.74), 348 nm (3.72). IR νmax cm-1 3570, 1720, 1687, 1510. NMR: see Table 1 and Table 2. HRMS(EI): [M]+ 288.0628 (calcd. 288.0634 for C15H12O6).
1,8-Dihydroxy-6,7-dimethoxyxanthone (3): Isolated as an amorphous solid; UV (MeOH): λmax(logε) 213 (3.84), 249 (3.75), 303 (3.53), 375 nm (3.14); MeOH + NaOMe: 215 (4.72), 243 (3.99), 303 (3.71), 374 nm (3.47); MeOH + AlCl3 : 236 (4.24), 272 (4.19), 328 (3.79), 348 nm (3.75); MeOH + AlCl3 + HCl: 234 (4.17), 268 (4.21), 331 (3.72), 349 nm (3.47); MeOH + NaOAc: 212 (4.64), 249 (3.72), 298 (3.44), 375 nm (3.11); MeOH + NaOAc + H3BO3 : 216 (4.70), 255 (3.71), 310 (3.43), 373 nm (3.07). IR νmax cm-1 3633, 1722, 1657, 1498, 1283, 1236, 1145, 1098, 815. NMR: see Table 1 and Table 2. HRMS(EI): [M]+ 288.0621 (calcd. 288.0634 for C15H12O6).
5,7-Dihydroxy-2,6-dimethoxyxanthone (4): Isolated as an amorphous solid; UV (MeOH): λmax(logε) 238 (4.17), 315 (3.74), 350 (3.77), 379 nm (3.53); MeOH + NaOMe: 246 (4.12), 292 (3.68), 348 (3.89), 403 nm (3.36); MeOH + AlCl3 : 239 (4.15), 286 (3.80), 314 (3.78), 358 nm (3.55); MeOH + AlCl3 + HCl: 240 (4.10), 286 (3.75), 314 (3.73), 365 nm (3.41); MeOH + NaOAc: 235 (4.18), 290 (3.63), 352 (3.92), 385 nm (3.61); MeOH + NaOAc + H3BO3 : 240 (4.17), 284 (3.73), 316 (3.77), 365 nm (3.62). IR νmax cm-1 3570, 1704, 1656, 1510. NMR: see Table 1 and Table 2. HRMS(EI): [M]+ 288.0623 (calcd. 288.0634 for C15H12O6).
6,8-Dihydroxy-3,7-dimethoxyxanthone (5): Isolated as an amorphous solid; UV (MeOH): λmax(logε) 216 (3.94), 261 (3.40), 300 (3.18), 360 nm (3.38); MeOH + NaOMe: 240 (3.59), 308 (3.22), 350 (3.07), 375 nm (2.81); MeOH + AlCl3 : 241 (3.64), 271 (3.35), 309 (3.31), 366 nm (2.85); MeOH + AlCl3 + HCl: 241 (3.57), 271 (3.30), 307 (3.25), 360 nm (2.87); MeOH + NaOAc: 211 (3.83), 236 (3.59), 349 nm (3.32); MeOH + NaOAc + H3BO3 : 215 (3.93), 320 (3.23), 342 nm (3.60). IR νmax cm-1 3500, 1703, 1656, 1562, 1254, 1049, 754. NMR: see Table 1 and Table 2. HRMS(EI): [M]+ 288.0642 (calcd. 288.0634 for C15H12O6).
2,5,6,7,8-Pentahydroxyxanthone (6): Isolated as an amorphous solid; UV (MeOH): λmax(logε) 205 (4.14), 220 (3.95), 254 (3.64), 292 nm (3.20); MeOH + NaOMe: 206 (4.88), 275 (3.50), 299 nm (3.51); MeOH + AlCl3 : 236 (4.26), 277 (3.89), 315 nm (3.87); MeOH + AlCl3 + HCl: 257 (3.89), 222 (3.97), 296 (3.92), 328 nm (3.62); MeOH + NaOAc: 215 (5.02), 256 (3.66), 289 nm (3.35); MeOH + NaOAc + H3BO3 : 216 (5.03), 263 (3.61), 298 nm (3.54). IR νmax cm-1 3530, 1688, 1443, 1221, 759. NMR: see Table 1 and Table 2. HRMS(EI): [M]+ 276.0289 (calcd. 276.0270 for C13H8O7).
1,3,8-Trihydroxy-5,7-dimethoxyxanthone (7): Isolated as an amorphous solid; UV (MeOH): λmax(logε) 213 (4.75), 249 (4.14), 271 (4.04), 358 nm (3.61); MeOH + NaOMe: 234 (4.02), 254 (3.98), 277 (3.90), 360 nm (3.91); MeOH + AlCl3 : 229 (4.23), 271 (4.08), 287 (4.05), 359 nm (3.72); MeOH + AlCl3 + HCl: 235 (4.07), 251 (4.03), 288 (3.95), 359 nm (3.55); MeOH + NaOAc: 212 (4.69), 252 (3.99), 275 (3.91), 361 nm (3.81); MeOH + NaOAc + H3BO3 : 215 (4.75), 257 (4.00), 279 (3.92), 361 nm (3.65). IR νmax cm-1 3570, 1704, 1656, 1510, 1254, 1090, 819. NMR: see Table 1 and Table 2. HRMS(EI): [M]+ 304.0588 (calcd. 304.0583 for C15H12O7).
Caledonixanthone G (8): Isolated as orange prisms (MeOH); melting point 201°C; [α]25D –37° (c = 0.054, MeOH); CD (c = 0.11, MeOH) λmax 257 nm (Δε = +3,6.10-3); UV (MeOH): λmax(logε) 233 (4.20), 252 (4.36), 285 (3.75), 334 nm (3.45); MeOH + NaOMe: 236 (4.09), 270 (4.19), 299 (3.68), 371 nm (2.74); MeOH + AlCl3 : 235 (4.37), 251 (4.41), 288 (3.80), 330 nm (3.50); MeOH + AlCl3 + HCl: 232 (4.30), 252 (4.24), 285 (3.75), 330 nm (3.50); MeOH + NaOAc: 257 (4.20), 298 nm (3.78); MeOH + NaOAc + H3BO3 : 255 (4.36), 289 (3.74), 338 nm (3.44). IR νmax cm-1 3570, 1721, 1687, 1493, 1462, 1336, 1262, 1221. NMR: see Table 3. HRMS(APCI): [M-H2O]+ 296.1027 (calcd. 296.1048 for C18H16O4).
Caledonixanthone H (9): Isolated as an amorphous solid; [α]25D 0° (c = 0.025, MeOH); UV (MeOH): λmax(logε) 232 (4.42), 252 (4.53), 296 (3.96), 357 nm (3.72); MeOH + NaOMe: 212 (4.80), 252 (4.54), 295 (4.11), 343 nm (3.97); MeOH + AlCl3 : 234 (4.53), 252 (4.56), 300 (4.05), 358 nm (3.84); MeOH + AlCl3 + HCl: 231 (4.41), 253 (4.49), 301 (3.98), 357 nm (3.74); MeOH + NaOAc: 211 (4.74), 252 (4.53), 295 (3.98), 337 nm (3.80); MeOH + NaOAc + H3BO3 : 214 (4.80), 252 (4.54), 295 (3.98), 342 nm (3.75). IR νmax cm-1 3434, 1720, 1655, 1461, 1342, 1219, 757. NMR: see Table 3. HRMS(EI): [M]+ 312.1005 (calcd. 312.0998 for C18H16O5).
Caledonixanthone I (10): Isolated as an amorphous solid; [α]25D 0° (c = 0.025, MeOH); UV (MeOH): λmax(logε) 234 (4.20), 253 (4.27), 284 (3.80), 360 nm (3.60); MeOH + NaOMe: 214 (4.52), 251 (4.24), 295 (3.84), 359 nm (3.73); MeOH + AlCl3 : 235 (4.27), 252 (4.28), 280 (3.95), 359 nm (3.69); MeOH + AlCl3 + HCl: 234 (4.17), 253 (4.19), 297 (3.78), 359 nm (3.59); MeOH + NaOAc: 215 (4.53), 253 (4.27), 294 (3.80), 363 nm (3.68); MeOH + NaOAc + H3BO3 : 218 (4.55), 253 (4.27), 290 (3.80), 360 nm (3.66). IR νmax cm-1 3434, 1721, 1654, 1461, 1342, 1219, 757. NMR: see Table 3. HRMS(EI): [M]+ 312.0977 (calcd. 312.0998 for C18H16O5).
Caledonixanthone J (11): Isolated as an amorphous solid; [α]25D 0° (c = 0.025, MeOH); UV (MeOH): λmax(logε) 252 (3.85), 315 (3.29), 379 nm (2.87); MeOH + NaOMe: 214 (4.54), 241 (3.78), 266 (3.55), 359 nm (3.39); MeOH + AlCl3 : 237 (4.05), 278 (3.91), 328 (3.63), 368 nm (3.60); MeOH + AlCl3 + HCl: 238 (3.80), 275 (3.69), 328 (3.50), 368 nm (3.43); MeOH + NaOAc: 212 (4.50), 252 (3.84), 327 (3.41), 359 nm (3.45); MeOH + NaOAc + H3BO3 : 214 (4.55), 252 (3.87), 328 (3.45), 359 nm (3.43). IR νmax cm-1 3434, 1720, 1639, 1582, 1461, 1287, 1221, 1074, 759. NMR: see Table 4. HRMS(EI): [M]+ 328.0958 (calcd. 328.0947 for C18H16O6).
Caledonixanthone K (12): Isolated as an amorphous solid; UV (MeOH): λmax(logε) 238 (4.36), 261 (4.37), 313 (4.04), 360 nm (3.80); MeOH + NaOMe: 236 (4.38), 271 (4.27), 346 (4.17), 403 nm (3.76); MeOH + AlCl3 : 235 (4.39), 277 (4.35), 328 (4.13), 439 nm (3.50); MeOH + AlCl3 + HCl: 236 (4.26), 275 (4.23), 328 (4.01), 436 nm (3.35); MeOH + NaOAc: 234 (4.44), 263 (4.29), 345 (4.12), 400 nm (3.71); MeOH + NaOAc + H3BO3 : 236 (4.40), 262 (4.37), 309 (4.04), 389 nm (3.68). IR νmax cm-1 3570, 1721, 1688, 1545, 1270, 1221, 1156, 758. NMR: see Table 4. HRMS(EI): [M]+ 312.1013 (calcd. 312.0998 for C18H16O5).
Caledonixanthone L (13): Isolated as an amorphous solid; UV (MeOH): λmax(logε) 254 (4.61), 281 (4.57), 327 (4.42), 370 nm (4.08); MeOH + NaOMe: 254 (4.86), 285 (4.84), 358 (4.74), 400 nm (4.64); MeOH + AlCl3 : 272 (4.61), 295 (4.59), 370 (4.31), 392 nm (4.28); MeOH + AlCl3 + HCl: 255 (4.50), 289 (4.04), 369 (4.21), 402 nm (3.68); MeOH + NaOAc: 254 (4.86), 285 (4.84), 358 (4.74), 400 nm (4.64); MeOH + NaOAc + H3BO3 : 255 (4.58), 282 (4.59), 327 (4.32), 371 nm (4.22). IR νmax cm-1 3570, 1721, 1655, 1545, 1510, 1299, 1172, 1139, 1090, 1057. NMR: see Table 4. HRMS(EI): [M]+ 426.1328 (calcd. 426.1315 for C23H22O8).

References and Notes

  1. Bennett, G.J.; Lee, H.-H. Xanthones from Guttiferae. Phytochem 1989, 28, 967–998. [Google Scholar]
  2. Peres, V.; Nagem, T.J.; de Oliveira, F.F. Phytochem 2000, 55, 683–710.
  3. Morel, C.; Séraphin, D.; Oger, J.-M.; Litaudon, M.; Sévenet, T.; Richomme, P.; Bruneton, J. New xanthones from Calophyllum caledonicum. J. Nat. Prod. 2000, 63, 1471–1474. [Google Scholar]
  4. Morel, C.; Séraphin, D.; Teyrouz, A.; Larcher, G.; Bouchara, J.-P.; Litaudon, M.; Sévenet, T.; Richomme, P.; Bruneton, J. New and Antifungal xanthones from Calophyllum caledonicum. Planta Med. 2001, in press. [Google Scholar]
  5. Morel, C. Étude phytochimique et biologique de deux Clusiaceae : Mesua racemosa et Calophyllum caledonicum originaires de Malaisie et de Nouvelle-Calédonie. Ph.D. Thesis, University of Angers, Angers, France, 2001; pp. 1–311. [Google Scholar]
  6. Hostettmann, K; Hostettmann, M. Plant phenolics, 14. Xanthones, Ultra-violet spectroscopy. In Methods in Plant Biochemistry, Vol 1; Dey, P.M., Harborne, J.B., Eds.; Academic Press: London, 1989; pp. 502–503. [Google Scholar]
  7. Arends, P.; Helboe, P. Xanthones studies III. Synthesis of some hydroxy and methoxy substituted xanthones. Dansk Tidsskr. Farm. 1972, 46, 133–148. [Google Scholar]
  • Sample Availability: Samples of compounds 7 (1.4 mg), 8 (1.1 mg) and 10 (2.1 mg) are available from the authors.

Share and Cite

MDPI and ACS Style

Morel, C.; Hay, A.-E.; Litaudon, M.; Sévenet, T.; Séraphin, D.; Bruneton, J.; Richomme, P. Thirteen New Xanthone Derivatives from Calophyllum caledonicum (Clusiaceae). Molecules 2002, 7, 38-50. https://doi.org/10.3390/70100038

AMA Style

Morel C, Hay A-E, Litaudon M, Sévenet T, Séraphin D, Bruneton J, Richomme P. Thirteen New Xanthone Derivatives from Calophyllum caledonicum (Clusiaceae). Molecules. 2002; 7(1):38-50. https://doi.org/10.3390/70100038

Chicago/Turabian Style

Morel, Cécile, Anne-Emmanuelle Hay, Marc Litaudon, Thierry Sévenet, Denis Séraphin, Jean Bruneton, and Pascal Richomme. 2002. "Thirteen New Xanthone Derivatives from Calophyllum caledonicum (Clusiaceae)" Molecules 7, no. 1: 38-50. https://doi.org/10.3390/70100038

APA Style

Morel, C., Hay, A.-E., Litaudon, M., Sévenet, T., Séraphin, D., Bruneton, J., & Richomme, P. (2002). Thirteen New Xanthone Derivatives from Calophyllum caledonicum (Clusiaceae). Molecules, 7(1), 38-50. https://doi.org/10.3390/70100038

Article Metrics

Back to TopTop