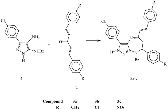
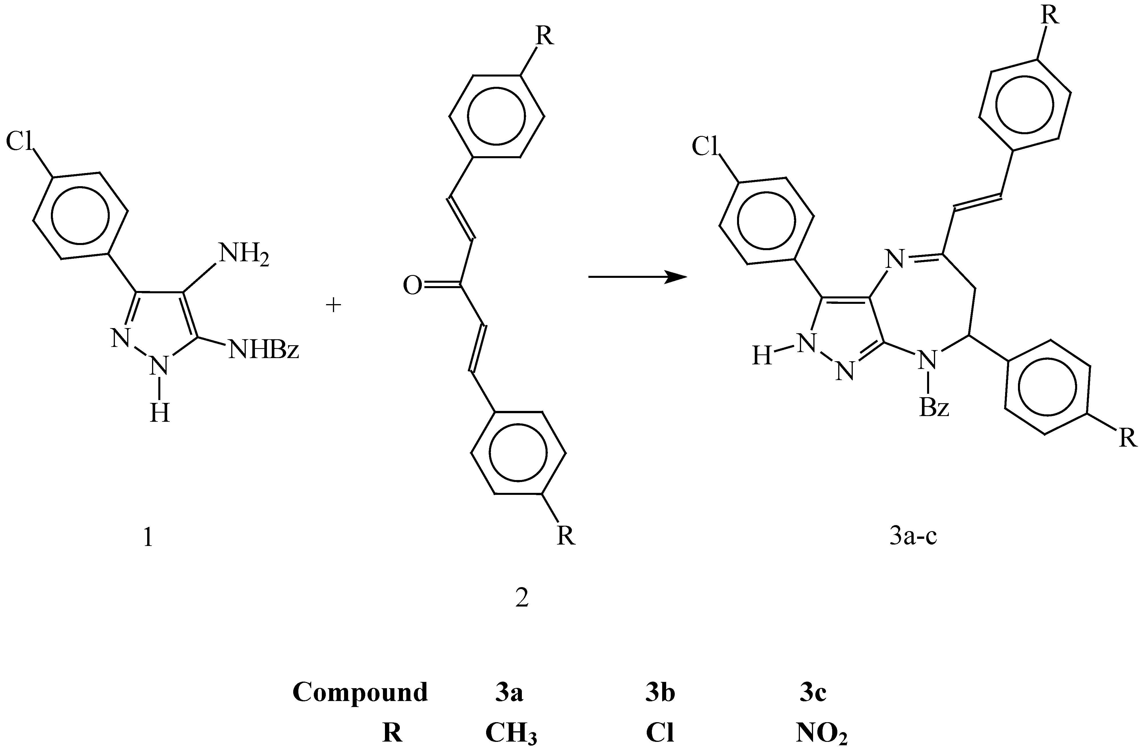
Synthesis of 1-Benzyl-6-(4-chlorophenyl)-2-(4-R-phenyl)-4-(4-Rstyryl)-2,3-dihydropyrazolo[3,4-b][1,4]diazepines
Abstract
:Introduction
Results and Discussion


Experimental
General
General Method for the Preparation of 1-Benzyl-6-(4-chlorophenyl)-2-(4-R-phenyl)-4-(4-R-styryl)-2,3-dihydropyrazolo[3,4-b][1,4]diazepines (3a-c).
1-Benzyl-6-(4-chlorophenyl)-2-(4-methylphenyl)-4-(4-methylstyryl)-2,3-dihydropyrazolo[3,4-b][1,4]- diazepine (3a).
1-Benzyl-2,6-bis-(4-chlorophenyl)-4-(4-chlorostyryl)-2,3-dihydropyrazolo[3,4-b][1,4]diazepine (3b).
1-Benzyl-6-(4-chlorophenyl)-2-(4-nitrophenyl)-4-(4-nitrostyryl)-2,3-dihydropyrazolo[3,4-b][1,4]- diazepine (3c).
Acknowledgments
References
- Cade, J.F. Med. J. Aust. 1949, 36, 349–352.
- Sterbach, L.H. Drug Res. 1978, 22, 229–266.
- Chimirri, A.; Gitto, R.; Grosso, S.; Monforte, A.; Romero, G.; Zappala, M. Heterocycles 1993, 36, 601–637.
- Martínez, R.; Angeles, E.; Hernández, P.E. J. Heterocycl. Chem. 1996, 33, 271–274.
- Martínez, R.; Angeles, E.; Maya, B.; Cogordan, J.A.; Martínez, L.; Posada, M.E.; Toscano, A; del R. Arellano, Ma; Espinosa, R.C. J. Heterocycl. Chem 1996, 33, 715–718.
- Cogordan, J.; Mayoral, M.; Martínez, R.; Toscano, R.A.; Angeles, E. Int. J. Quantum Chem. 1998, 71, 415–432.
- Insuasty, B.; Rodríguez, R.; Kiroga, J.; Martínez, R.; Angeles, E. J. Heterocycl. Chem. 1997, 34, 1131–1133.
- Orlov, V.D.; Kiroga, J.; Kolos, N.N. Khim. Geterotsikl. Soedin. 1987, 304–310.
- Orlov, V.D.; Kiroga, J.; Marrugo, A.; Kolos, N.N.; Iksanova, S.V. Khim. Geterotsikl. Soedin. 1987, 1254–1259.
- Orlov, V.D.; Kolos, N.N.; Quiroga, J.; Kaluski, Z.; Figas, E.; Potekhin, A. Khim. Geterotsikl. Soedin 1992, 424–427.
- Insuasty, B.; Rodríguez, R.; Quiroga, J.; Abonía, R.; Saitz, C.; Jullian, C. Heterocycl. Commun. 2000, 6, 231–238.
- Altomare, A.; Burla, M.C.; Camalli, M.; Cascarano, G.L.; Giacovazzo, C.; Guagliardi, A.; Moliterni, A.G.G.; Polidori, G.; Spagna, R. J. Appl. Crystallogr. 1999, 32, 115–119.
- Sheldrick, G.M. SHELXL97. In Program for Refinement of Crystal Structures; University of Göttingen: Germany, 1993. [Google Scholar]
- Samples Availability: Available from the authors.
© 2001 by MDPI (http://www.mdpi.org). Reproduction is permitted for noncommercial purposes.
Share and Cite
Insuasty, B.; Rodríguez, R.; Quiroga, J.; Abonía, R.; Martínez, R.; Toscano, A.; Angeles, E. Synthesis of 1-Benzyl-6-(4-chlorophenyl)-2-(4-R-phenyl)-4-(4-Rstyryl)-2,3-dihydropyrazolo[3,4-b][1,4]diazepines. Molecules 2001, 6, 710-715. https://doi.org/10.3390/60800710
Insuasty B, Rodríguez R, Quiroga J, Abonía R, Martínez R, Toscano A, Angeles E. Synthesis of 1-Benzyl-6-(4-chlorophenyl)-2-(4-R-phenyl)-4-(4-Rstyryl)-2,3-dihydropyrazolo[3,4-b][1,4]diazepines. Molecules. 2001; 6(8):710-715. https://doi.org/10.3390/60800710
Chicago/Turabian StyleInsuasty, Braulio, Ricaurte Rodríguez, Jairo Quiroga, Rodrigo Abonía, Roberto Martínez, Alfredo Toscano, and E. Angeles. 2001. "Synthesis of 1-Benzyl-6-(4-chlorophenyl)-2-(4-R-phenyl)-4-(4-Rstyryl)-2,3-dihydropyrazolo[3,4-b][1,4]diazepines" Molecules 6, no. 8: 710-715. https://doi.org/10.3390/60800710
APA StyleInsuasty, B., Rodríguez, R., Quiroga, J., Abonía, R., Martínez, R., Toscano, A., & Angeles, E. (2001). Synthesis of 1-Benzyl-6-(4-chlorophenyl)-2-(4-R-phenyl)-4-(4-Rstyryl)-2,3-dihydropyrazolo[3,4-b][1,4]diazepines. Molecules, 6(8), 710-715. https://doi.org/10.3390/60800710
