Abstract
- In this paper we describe a new method for the synthesis of camalexin (1) based on the reaction of 1-(tert-butoxycarbonyl)indole-3-carboxaldehyde with methyl L-cysteinate hydrochloride, followed by oxidation and decarboxylation. Compounds 1, and intermediates 5-7 were identified by elemental analysis, 1H NMR, 13C NMR and mass spectroscopy.
Introduction
Camalexin [3-(2’-thiazolyl)indole] (1) is a natural phytoalexin, isolated for the first time from the leaves of Camelina sativa and elicited by the fungus Alternaria brassicae [1]. Camalexin is also the principal phytoalexin found in Arabidopsis thaliana [2]. It exhibits antifungal activity similar to the systemic fungicide thiabendazole (2) [1,3] and also has antitumor activity [4]. In the literature there are described four methods for synthesis of camalexin, based on the reaction of indolylmagnesium iodide with 2-bromothiazole [3], heating of indole-3-carboxamide with P2S5 and chloroacetaldehyde diethyl acetal in ethanol [5], reductive cyclization of 2-formamidophenyl-2´-thiazolylketone upon heating with TiCl3 and zinc dust [6] and reaction of 1-sulfonyl-3-iodoindole with active zinc and following Pd catalyzed arylation with 2-iodothiazole [7]. Recently, it has been suggested that the biosynthesis of camalexin involves the condensation of indole-3-carboxaldehyde with cysteine followed by a two-step oxidation and decarboxylation [8,9]. In the presence work we have studied the synthesis of camalexin according to this biosynthetic scheme.
Results and Discussion
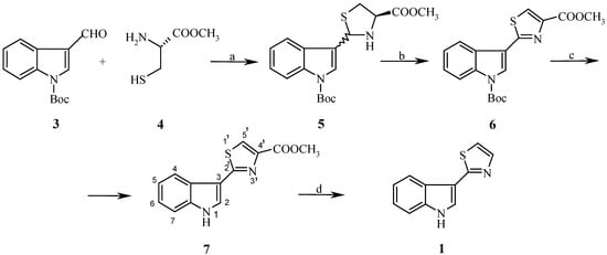
As the first step in the investigated synthesis of camalexin, we have examined the cyclocondensation of indole-3-carboxaldehyde with methyl L-cysteinate. The product of this reaction appeared to be unstable and therefore it was decided to use the 1-Boc protected aldehyde 3. The cyclocondensation of 1-(tert-butoxycarbonyl)indole-3-carboxaldehyde with methyl L-cysteinate (4) hydrochloride afforded 4´-methoxycarbonyl-1-(tert-butoxycarbonyl)-3-thiazolidine-2´-yl)indole (5) as a mixture of diastereoisomeres in 85% yield (Scheme 1). The ratio of diastereoisomers was determined to be 57:43 by integration of the signals of proton H-2´ at δ= 5,78 and 6,01 ppm in the 1H- NMR spectrum of the crude product.
Scheme 1.
Scheme 1.

a) 1:2 methanol/benzene, (C2H5)3N, 25o C, 3 h. (85%); b) MnO2, benzene/pyridine, 55o C, 1.5 h., (44%); c) CH3ONa, methanol, 25o C, 20 min.(59%); d) NaOH, NaHCO3, 25o C, 2 h., (12%).
Oxidation of thiazolidine 5 to thiazole 6 by oxidizing reagents such as pyridinium chlorochromate (PCC), p-chloranil, 2,3-dichloro-5,6-dicyano-p-benzochinone (DDQ) and FeCl3 lead to decomposition products. The desired oxidation was achived by using 25 equivalents of activated MnO2 in dry benzene [10]. Elimination of the tert-butoxycarbonyl protective group was realized using 16 equivalents of sodium methoxide in methanol at ambient temperature. Subsequent hydrolysis and decarboxylation of the resulting 4´-methoxycarbonyl-3-(thiazole-2´-yl)indole (7) with an aqueous solution of NaOH and NaHCO3 gave camalexin (1) in 12% yield. The spectral data and melting point of 1 are identical with the literature data [1,3,6].
Conclusions
In this contribution we report a biomimethic synthesis of camalexin (1) according to the proposed biosynthetic scheme. The formation of the thiazole ring involves only one oxidation step followed by decarboxylation to camalexin.
Experimental
General
Melting points were measured on a Koffler hot stage apparatus and are uncorrected. Purity of compounds was confirmed by elemental analysis on a Perkin-Elmer, model 2400 analyzer. The reaction course was monitored by TLC on Silufol (Kavalier) and Alumina 60 F 254 neutral (Merck) TLC plates. Preparative column chromatography was performed on Kavalier 40/100 μm silica gel and Merck Kieselgel 60 F25. The infrared absorption spectra of compounds 1, and 5-7 were measured in CHCl3 on an IR75 (Zeiss Jena) spectrometer in the region 400-4000 cm-1. The 1H-NMR spectrum of 5 was measured on a TESLA BS 487 A (80 MHz), 1H- and 13C-NMR spectra of compounds 1, 6, 7 on a Varian Gemini 2000 (300 MHz) in deuterochloroform, using tetramethylsilane as an internal standard. The electron impact mass spectra of 7 were recorded on a Finnigan SSQ 700 spectrometer at an ionization energy of 70 eV. Methyl L-cysteinate hydrochloride, pyridinium chlorochromate (PCC), p-chloranil and 2,3-dichloro-5,6-dicyano-p-benzoquinone (DDQ) from Fluka, Merck and Avocado were used as obtained without further purification. 1-(tert-Butoxycarbonyl)indole-3-carboxaldehyde (3) was prepared according to the described procedure [11].
1-(tert-Butoxycarbonyl)-4´-methoxycarbonyl-3-(thiazolidin-2´-yl)indole (5).
To a suspension of methyl L-cysteinate hydrochloride (595 mg, 3.47 mmol) in 1:2 methanol/benzene (6mL) was added 1-(tert-butoxycarbonyl)indole-3-carboxaldehyde (490 mg, 2 mmol) and triethylamine (672 mg, 6.6 mmol). The reaction mixture was stirred for 3 hours at room temperature, the solvent was evaporated and the oily residue purified by column chromatography, using a mixture of cyclohexane/acetone (2:1) as eluent. Yield 615 mg (85%), yellow oil; For C18H22N2O4S (362.50) calculated: 59.65% C, 6.12% H, 7.73% N; found: 59.60% C, 6.07% H, 7.65% N; IR: 3323 (NH), 1720 a 1730 (C=O); 1H-NMR (ppm): 1,66 s, 9H [(CH3)3], 2,96 s 1H (NH), 3,09-4,33 m, 3H (SCH2CH), 3,79 s, 3H (OCH3), 5,78 s a 6,01 s 57:43, 1H (CH) , 7,13-8,22 m, 5H (H-arom.).
1-(tert-Butoxycarbonyl)-4´-methoxycarbonyl-3-(thiazol-2´-yl) indole (6).
To a stirred suspension of activated MnO2 [10] (1000 mg, 11.5 mmol) in a mixture of dry benzene (10mL) and pyridine (0.050 mL) was added a solution of thiazolidine 5 ( 400 mg, 1.10 mmol) in dry benzene (2 mL). The reaction mixture was stirred for 1.5 hour at 55o C. After cooling the insoluble material was removed by filtration, washed with benzene, the solvent was evaporated and the solid residue crystallized from a mixture of diethylether/hexane. Yield 175 mg (44%), M.p. 128-130o C; For C18H18N2O4S (359.48) calculated: 60.14% C, 5.05% H, 7.79% N; found: 60.23% C, 5.21% H, 7.29% N; IR: 3323 (NH), 1720 a 1730 (C=O); 1H-NMR (ppm): 1,66 s, 9H [(CH3)3], 3.79 s, 3H (OCH3), 8,10 s, 1H (H-2), 8,25 s, 1H (H-5´), 7.13-8,22 m, 4H (H-arom.).
4´-Methoxycarbonyl-3-( thiazol-2´-yl) indole (7).
To a suspension of thiazole 6 (150 mg, 0.42 mmol) in dry methanol (12mL) was added sodium methoxide (330 mg, 6.11 mmol) during 5 min. The reaction mixture was poured into cold water (60 mL), extracted with chloroform (3x10 mL), dried over Na2SO4, the solvent evaporated and the product crystallized from a mixture of diethylether/hexane. Yield 64 mg (59%), M.p. 166-168o C; For C13H10N2O2S (259.50) calculated: 60.17% C, 3.88% H, 10.80% N; found: 60.28% C, 3.99% H, 10.95% N; IR: 3200 (NH), 1720 a 1730 (C=O); 1H-NMR (ppm): 3,79 s, 3H (OCH3), 8.10 d, 1H (H-2), J=2,55 Hz, 8,25 s, 1H (H-5´), 7.13-8.22 m, 4H (H-arom.), 10,85 s, 1H (NH). 13C NMR (ppm): 52,32 (CH3), 113.05, 121.66, 122.04, 123.83, 125.50, 125.72, 127.41, 127.58, 137.99, 147.78 (C arom.), 162.61 (C=N), 164.75 (C=O). MS, m/z (%), : 258 (M+, 100), 200 (24), 160 (24), 142 (24), 115 (12), 57 (12).
Camalexin (1).
To a solution of NaOH (22.0 mg, 5.6 mmol) in water (2 mL) was added a solution of thiazole 7 (120 mg, 0.46 mmol) in methanol (2 mL) and the reaction mixture was refluxed for 1 hour. After cooling and evaporation of the methanol, NaHCO3 (660 mg, 7.86 mmol) was added and the reaction mixture was refluxed for 1 hour. The product separated after cooling and was collected on filter paper and dried. Crystallization from a mixture of diethylether/hexane yielded 10 mg (12%); M.p. 140-141o C; For C11H8N2S (200.10) calculated: 66.00% C, 4.00% H, 14.00% N; found: 65.80% C, 4.00% H, 13.50% N; IR, 1H-, 13C-NMR and mass spectra were identical with previously described data for camalexin [1,3,6].
Acknowledgments
We thank the Grant Agency for Science of the Slovak Republic (grant No. 1/6080/99) for financial support of this work.
References
- Browne, L.M.; Coon, K.L.; Ayer, W.A.; Tewari, J.P. Tetrahedron 1991, 47, 3909.
- Tsuji, J.; Jackson, E.; Gage, D.; Hammerschmidt, R.; Somerville, S.C. Plant Physiol. 1992, 98, 1304.
- Ayer, W.A.; Craw, P.A.; Yn-Ting, M.; Miao, S. Tetrahedron 1992, 48, 2919.
- Moddy, C.J.; Roffey, J.R.A.; Stephens, M.A.; Stradford, I.J. Anti-Cancer Drugs 1997, 8, 489.
- Mehta, G.; Dhar, D. N. Synthesis 1978, 374.
- Fürstner, A.; Ernst, A. Tetrahedron 1995, 51, 733.
- Sakamoto, T.; Kondo, Y.; Takazawa, N.; Yamanaka, H. J. Chem. Soc., Perkin Trans 1 1996, 1927.
- Devys, M.; Barbier, M. Phytochemistry 1991, 30, 389.
- Zook, M.; Hammerschmidt, R. Plant Physiol. 1997, 113, 463.
- Hamada, Y.; Shibata, M.; Sugiuri, I.; Kato, S.; Shiori, T. J. Org.Chem. 1987, 52, 1252.
- Kutschy, P.; Achbergerova, I.; Dzurilla, M.; Tagasugi, M. Synlett 1997, 289.
- Sample availability: Samples of compounds 1, 5 and 6 are available from the authors.
© 2001 by MDPI (http://www.mdpi.org). Reproduction is permitted for non-commercial purposes