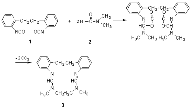
1,2-Ethylene-bis(o-N2-phenylene-N1,N1-dimethylformamidine)

References
- Caraculacu, A.A.; Caraculacu, G. J. Macromol. Sci. Chem. 1985, A22(5-7), 631.
- Weiner, M.L. J. Org. Chem. 1960, 25, 2245.
Sample Availability: Available from the authors. |
© 2000 by the authors. All rights reserved. Molecules website www.mdpi.org/molecules/.
Share and Cite
Coseri, S.; Caraculacu, A.A. 1,2-Ethylene-bis(o-N2-phenylene-N1,N1-dimethylformamidine). Molecules 2000, 5, M166. https://doi.org/10.3390/M166
Coseri S, Caraculacu AA. 1,2-Ethylene-bis(o-N2-phenylene-N1,N1-dimethylformamidine). Molecules. 2000; 5(7):M166. https://doi.org/10.3390/M166
Chicago/Turabian StyleCoseri, Sergiu, and Adrian A. Caraculacu. 2000. "1,2-Ethylene-bis(o-N2-phenylene-N1,N1-dimethylformamidine)" Molecules 5, no. 7: M166. https://doi.org/10.3390/M166
APA StyleCoseri, S., & Caraculacu, A. A. (2000). 1,2-Ethylene-bis(o-N2-phenylene-N1,N1-dimethylformamidine). Molecules, 5(7), M166. https://doi.org/10.3390/M166
