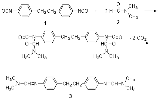
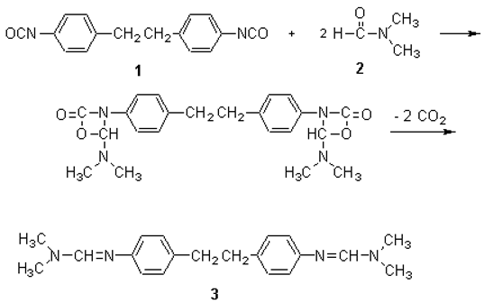
1,2-Ethylene-bis(p-N2-phenylene-N1,N1-dimethylformamidine)

References
Sample availability: available from the authors and MDPI. |
© 2000 MDPI. All rights reserved. Molecules website www.mdpi.org/molecules/.
Share and Cite
Coseri, S.; Caraculacu, A.A. 1,2-Ethylene-bis(p-N2-phenylene-N1,N1-dimethylformamidine). Molecules 2000, 5, M165. https://doi.org/10.3390/M165
Coseri S, Caraculacu AA. 1,2-Ethylene-bis(p-N2-phenylene-N1,N1-dimethylformamidine). Molecules. 2000; 5(7):M165. https://doi.org/10.3390/M165
Chicago/Turabian StyleCoseri, Sergiu, and Adrian A. Caraculacu. 2000. "1,2-Ethylene-bis(p-N2-phenylene-N1,N1-dimethylformamidine)" Molecules 5, no. 7: M165. https://doi.org/10.3390/M165
APA StyleCoseri, S., & Caraculacu, A. A. (2000). 1,2-Ethylene-bis(p-N2-phenylene-N1,N1-dimethylformamidine). Molecules, 5(7), M165. https://doi.org/10.3390/M165
