Abstract
The evaluation of human leucocite elastase inhibition by phosphate esters (1-2) and phosphate mixed anhydride (3) of penicillin sulfones and their precursor sulfides is described.
Introduction
Human Leukocyte Elastase [1] (HLE, EC 3.4.21.37) is a serine proteinase found in the azurophilic granules of polymorphonuclear leukocytes. This enzyme has been the subject of extensive studies, both in terms of its biological role in numerous diseases [2] and in the development of suitable inhibitors to be used as potential therapeutic agents. This interest has led over the past fifteen years to the synthesis of a wide variety of inhibitors based on the β-lactam nucleus.
Results and Discussion
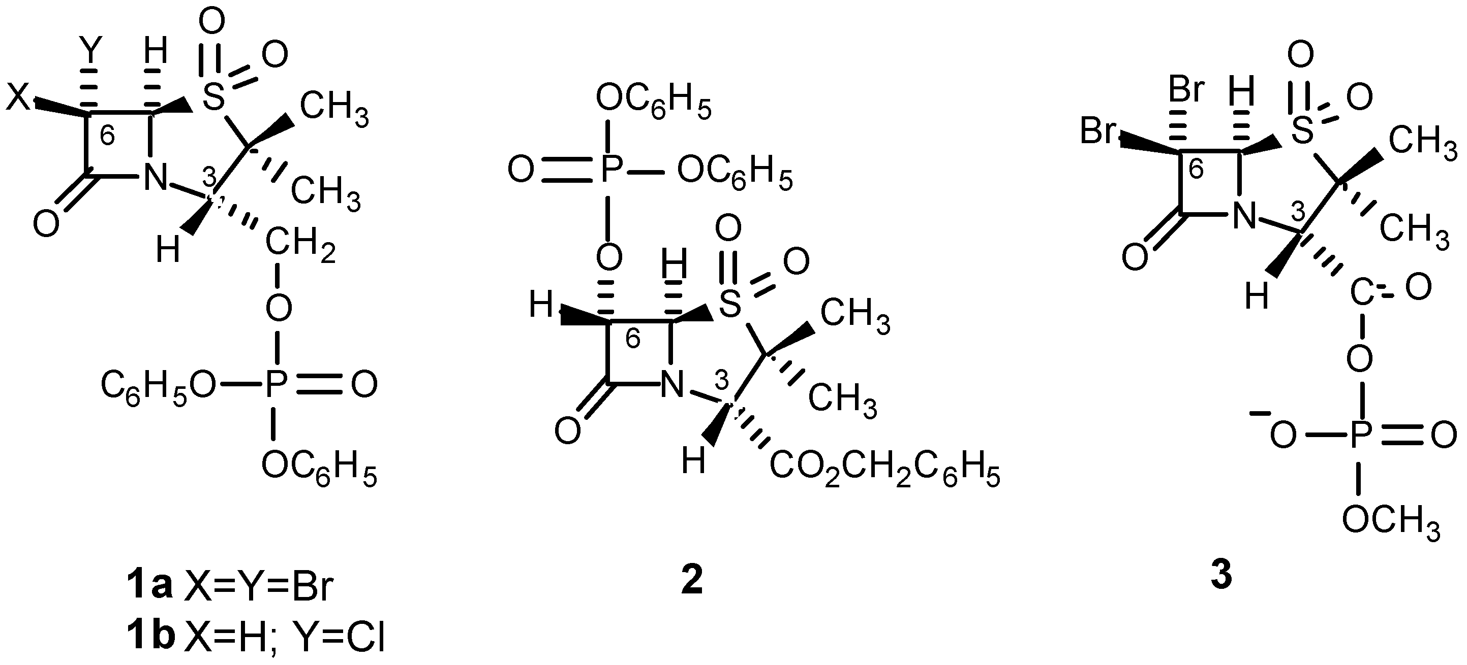
We have recently reported the structure-activity relationship (S.A.R) of several benzyl and methyl 6-α-substituted penicillanate sulfones [3]. In this communication we describe the synthesis and our initial structure-activity relationship study of a series of phosphate triesters (1-2) and phosphatecarboxylate mixed anhydride (3) of penicillin sulfones. These new penicillin derivatives were evaluated as elastase inhibitors using H.L.E.

Acknowledgements
UNR, CONICET, Agencia Nacional de Promoción Científica.
References and Notes
- a) Edwards, P.D.; Bernstein, P.R. Med. Res. Rev. 1994, 14, 127. b) Hlasta, D.J.; Pagani, E.D. Ann. Rep. Med. Chem. 1994, 29, 195. c) Durette, P.L.; Chabin, R.M. Bioorg. Med. Chem. Lett. 1995, 5, 271.
- Weinbaum, G.; Giles, R.E.; Krell, R.D. Ann. N.Y. Acad. Sci. 1991, 624, 1–370.
- Boschetti, C.E.; Mata, E.G.; Mascaretti, O.A.; Cricco, J.A.; Coux, G.; Roveri, O.A. Bioorg. Med. Chem. Lett. 1995, 5, 2033. b) Boschetti, C.E.; Mascaretti, O.A.; Cricco, J.A.; Roveri, O.A. Bioorg. Med. Chem. 1995, 3, 95. c) Boschetti, C.E.; Mata, E.G.; Mascaretti, O.A.; Cricco, J.A.; Coux, G.; Lodeyro, A.; Roveri, O.A. J. Braz. Chem. Soc. 1996, 7, 285.
© 2000 by MDPI (http://www.mdpi.org). Reproduction is permitted for noncommercial purposes.