Abstract
Reaction of 4-hydroxy-6-methyl-2-pyrone (1a) as well as 4-hydroxy-6-methyl-2(1H)-pyridones (1b-d) with arylmethylene malononitriles or arylmethylene methyl cyanoacetates (2a-h) leads to the formation of the very stable 5,6-fused bicyclic 2-amino-4H-pyran derivatives 3a-3af.
Introduction
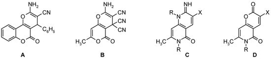
Wiener et al. first published [1] that 4-hydroxycoumarin cyclized through Michael addition to benzylidene malononitrile in pyridine as solvent to give a derivative of 2-aminopyrano[3,2-c]benzopyran (A) (Figure 1). Later, Junek and Aigner [2] found a second case of this heterocyclization via addition of 4-hydroxy-6-methyl-2-pyrone (1a, “triacetic acid lactone”, Scheme 1) to tetracyanoethylene, thus preparing a substituted 2-amino-4H,5H-pyrano[4,3-b]pyran (B). Many years thereafter, Shaker [3] reported several applications of this reaction where he also used 4-hydroxycoumarin and α,β-unsaturated nitriles in order to prepare A and some of its analogues without, however, referring to either of the preceding publications [1,2].
Figure 1.
Figure 1.

In the course of our recent studies on the synthesis and the antituberculosis activity of 2-imino-7-methyl-1,6(6H)-naphthyridine derivatives (C) [4] and of 2H-pyrano[3,2-c]pyridines (D) as their oxygen analogues [5], we needed to obtain some structurally similar representatives of the 2-amino-4H,5H-pyrano[4,3-b]pyrans and the 2-amino-4H-pyrano[3,2-c]pyridines. For that purpose we successfully extended the known reaction, discussed above, to a general method for their preparation.
Meanwhile, two further communications on the same subject appeared in the literature. Mekheimer et al. [6] reported the cyclization of 4-hydroxy-6-methyl-2(1H)-pyridone (1b) with arylmethylene malononitriles and arylmethylene cyanoacetic esters to the corresponding pyrano[3,2-c]pyridines (3f and their analogues, Scheme 1), thus independently covering a small part of our results. Also Piao and Imafuku [7] published a preliminary paper dealing with the preparation in a similar way of some novel 4H,5H-pyrano[4,3-b]pyran-5-ones of type B from triacetic acid lactone without, however, giving spectral and analytical characterization of their products.
We now wish to report the general procedure for the preparation of both compound classes and to fully characterize the numerous new substances synthesized by us.
Scheme 1.
Scheme 1.

Table 1.
| a | O | a | O | COOCH3 | C6H5 | |
| a | C6H5 | COOCH3 |
Results and Discussion
The starting compounds 1a-d react with the Knoevenagel products 2a-h [8] in an equimolar ratio by refluxing in methanol for 1-6 h in the presence of small amounts of piperidine. Both reaction steps, the Michael addition of C-3 of 1 to the β-position of 2 and the nucleophilic intramolecular addition of the 4-hydroxy group to the cyano group, occur as one-pot process. The products 3a-3af (Table 1) usually crystallize on cooling and can be easily isolated to give yields in the range from 56 to 95%. Beside 4-hydroxy-6-methyl-2(1H)-pyridone (1b), its N-substituted derivatives 1c,d were also successfully employed in the reaction.
In contrast with the reported statement that the ethyl α-cyanoacrylic esters react only in refluxing pyridine as solvent [6], we found that the methyl esters 2a,c,e,g (Y = COOCH3) did give good to excellent yields of the corresponding products 3 by using the same general procedure as for the malononitriles (reflux in methanol, piperidine).
The structure of the products 3 could be unambiguously deduced from their spectral properties. The primary amino group showed two IR absorption bands at 3357-3500 and 3133-3330 cm-1 and a sharp 2H-singlet at δ = 6.92-7.83 ppm in their 1H-NMR spectra (cf. [6]). In the IR spectra, all 3-carbonitriles absorbed at 2181-2217 cm-1 (CN) whereas the methyl 3-carboxylates gave bands in the range 1657-1696 cm-1 for ester carbonyl group. The mass spectra of 3 confirmed the corresponding molecular masses.
The stability of the compounds 3 with respect to opening of the 2-aminopyran ring was examined on the product 3f as a model compound (no ester function, stable lactam ring). Surprisingly, it turned out that 3f is rather stable under hydrolytic conditions (diluted or concentrated sulphuric and hydrochloric acid, mixture of acetic and hydrochloric acid, ethanolic potassium hydroxide). Our trials to perform some chemical transformations of 3f, similar to those described in the literature [3,6], also failed.
Experimental
General
Melting points were determined in open capillary tubes with a Büchi 535 melting point apparatus (Switzerland). IR spectra (nujol) were recorded on a Shimadzu FTIR 8101M spectrometer (Japan), ν in cm-1. Mass spectra were measured on a Varian MAT 711 spectrometer (Germany) at 70 eV (direct inlet). 1H NMR were recorded on a Bruker DRX-250 spectrometer at 250 MHz (Germany), δ (ppm) referenced to TMS (internal). Microanalyses were carried out in the Microanalytical Laboratory of the Institute of Organic Chemistry and Isotope Research, University of Stuttgart, Germany. TLC-monitoring: pre-coated aluminium sheets Merck, 0.2 mm layer of silica gel F254, eluted by hexane/-acetone/methanol (5:3:2, vol. parts), detection by Camag UV-lamp (254/366 nm). Yields of isolated, TLC-homogeneous products are given.
Spectral data for compounds 3f, 3n, 3v, 3ad have been reported earlier [6]; preparation of compounds 3a, 3e and 3ac has been published [7] without preparative, spectral and analytical details.
General procedure for preparation of compounds 3a-3af
Into a stirred mixture of 4-hydroxy-6-methyl-2-pyrone (1a; 126 mg, 1.0 mmol) or of the corresponding 4-hydroxy-2(1H)-pyridone (1b-d; 1.0 mmol) and the α,β-unsaturated nitrile (2a-h, 1.0 mmol) in methanol (5.0 ml), 1-2 drops of piperidine were added and the mixture was refluxed under stirring for a period of time given below for each product. After cooling to 20-25°C, the separated crystals were filtered, washed with cold methanol and air-dried to give the corresponding product 3a-3af. The product’s purity was controlled by TLC. When necessary the crude product was recrystallized from the corresponding solvent given below.
Methyl 2-amino-7-methyl-5-oxo-4-phenyl-4H,5H-pyrano[4,3-b]pyran-3-carboxylate (3a)
Reflux 1 h. Colourless crystals (methanol), m.p. 197-199°C. Yield 68% (lit. [7]: yield 83%).
IR: 3428, 3299, 1717, 1688, 1620, 1603, 1507.
1H NMR (d6-DMSO): 2.15 (s, 7-CH3), 3.45 (s, OCH3), 4.48 (s, 4-H), 6.22 (s, 8-H), 7.07-7.18 (m, 5H arom.), 7.65 (s, NH2).
EI MS (%): 313 (19, M+.); 254 (3); 236 (100); 204 (52); 162 (5); 127 (1); 102 (1); 77 (2); 43 (18); 18 (5).
Anal. Calcd for C17H15NO5 (313.30): C, 65.17; H, 4.83; N, 4.47. Found: C, 65.25; H, 4.85; N, 4.45.
Methyl 2-amino-7-methyl-5-oxo-4-phenyl-5,6-dihydro-4H-pyrano[3,2-c]pyridine-3-carboxylate (3b)
Reflux 1 h. Colourless crystals (methanol), m.p. 230-232°C. Yield 84%.
IR: 3474, 3330, 1684, 1651, 1638, 1593, 1522.
1H NMR (d6-DMSO): 2.07 (s, 7-CH3), 3.46 (s, OCH3), 4.62 (s, 4-H), 5.82 (s, 8-H), 6.99-7.17 (m, 5H arom.), 7.54 (s, NH2), 11.38 (s, NH).
EI MS (%): 312 (18, M+.); 235 (100); 203 (60); 175 (5); 126 (3); 84 (3); 42 (3); 28 (8); 18 (2).
Anal. Calcd for C17H16N2O4 (312.32): C, 65.38; H, 5.16; N, 8.97. Found: C, 65.32; H, 5.15; N, 8.9.
Methyl 2-amino-6-benzyl-7-methyl-5-oxo-4-phenyl-5,6-dihydro-4H-pyrano[3,2-c]pyridine-3-carboxylate (3c)
Reflux 1 h. Colourless crystals (methanol), m.p. 214-216°C. Yield 60%.
IR: 3374, 3230, 1688, 1651, 1601, 1576, 1530.
1H NMR (d6-DMSO): 2,23 (s, 7-CH3), 3.53 (s, OCH3), 4.77 (s, 4-H), 5.04 and 5.33 (AB-q, J = 16.0 Hz, 2H, CH2Ph), 6.12 (s, 8-H), 6.98-7.31 (m, 10H arom.), 7.63 (s, NH2).
EI MS (%): 402 (15, M+.); 370 (2); 343 (2); 325 (100); 311 (2); 293 (24); 279 (3); 251 (1); 185 (1); 91 (60); 65 (2); 18 (8).
Anal. Calcd for C24H22N2O4 (402.44): C, 71.63; H, 5.51; N, 6.96. Found: C, 71.57; H, 5.52; N, 6.95.
Methyl 2-amino-7-methyl-5-oxo-6-phenethyl-4-phenyl-5,6-dihydro-4H-pyrano[3,2-c]pyridine-3-carboxylate (3d)
Reflux 1 h. Colourless crystals (methanol), m.p. 183-185°C. Yield 64%.
IR: 3391, 3285, 1682, 1651, 1605, 1583, 1516.
1H NMR (d6-DMSO): 2.13 (s, 7-CH3), 2.74 (m, CH2Ph), 3.47 (s, OCH3), 3.85-4.04 (m, NCH2), 4.71 (s, 4-H), 5.95 (s, 8-H), 7.01-7.21 (m, 10H arom.), 7.55 (s, NH2).
EI MS (%): 416 (18, M+.); 384 (1); 357 (1); 339 (100); 307 (21); 279 (1); 253 (1); 235 (14); 203 (15); 175 (2); 128 (1); 105 (30); 79 (4); 28 (5); 18 (3).
Anal. Calcd for C25H24N2O4 (416.47): C, 72.10; H, 5.81; N, 6.73. Found: C, 72.25; H, 5.82; N, 6.73.
2-Amino-7-methyl-5-oxo-4-phenyl-4H,5H-pyrano[4,3-b]pyran-3-carbonitrile (3e)
Reflux 1 h. Colourless crystals, m.p. 236-238°C. Yield 79% (lit. [7]: yield 92%).
IR: 3401, 3324, 2199, 1713, 1674, 1646, 1615, 1591.
1H NMR (d6-DMSO): 2.16 (s, 7-CH3), 4.22 (s, 4-H), 6.21 (s, 8-H), 7.11-7.28 (m, 7H, C6H5 and NH2).
EI MS (%): 280 (21, M+.); 237 (2); 213 (10); 203 (100); 171 (1); 161 (13); 102 (6); 77 (1); 66 (8); 43 (30); 28 (12); 18 (8).
Anal. Calcd for C16H12N2O3 (280.28): C, 68.57; H, 4.32; N, 9.99. Found: C, 68.40; H, 4.33; N, 9.96.
2-Amino-7-methyl-5-oxo-4-phenyl-5,6-dihydro-4H-pyrano[3,2-c]pyridine-3-carbonitrile (3f)
Reflux 1 h. Colourless crystals, m.p. 291-293°C. Yield 94%. (Lit. [6]: m.p. 293-295 °C; yield 93%.)
2-Amino-6-benzyl-7-methyl-5-oxo-4-phenyl-5,6-dihydro-4H-pyrano[3,2-c]pyridine-3-carbonitrile (3g)
Reflux 1 h. Colourless crystals, m.p. 275-277°C. Yield 74%.
IR: 3403, 3283, 3133, 2184, 1659, 1615, 1570.
1H NMR (d6-DMSO): 2.19 (s, 7-CH3), 4.33 (s, 4-H), 5.02 and 5.21 (AB-q, J = 16.1 Hz, 2H, CH2Ph), 6.05 (s, 8-H), 6.94-7.25 (m, 12H, two C6H5 and NH2).
EI MS (%): 369 (40, M+.); 292 (90); 278 (47); 236 (1); 195 (4); 146 (5); 91 (100); 65 (8); 28 (14); 18 (8).
Anal. Calcd for C23H19N3O2 (369.42): C, 74.78; H, 5.18; N, 11.37. Found: C, 74.39; H, 5.33; N, 11.20.
2-Amino-7-methyl-5-oxo-6-phenethyl-4-phenyl-5,6-dihydro-4H-pyrano[3,2-c]pyridine-3-carbonitrile (3h)
Reflux 1 h. Colourless crystals, m.p. 257-259°C. Yield 83%.
IR: 3455, 3300, 2193, 1673, 1617, 1599, 1576.
1H NMR (d6-DMSO): 2.16 (s, 7-CH3), 2.6-2.8 (m, CH2Ph), 2.75-4.05 (m, NCH2), 4.33 (s, 4-H), 5.95 (s, 8-H), 6.95 (s, NH2), 7.06-7.27 (m, 10H arom., two C6H5).
EI MS (%): 383 (30, M+.); 339 (1); 306 (42); 279 (28); 235 (1); 202 (100); 184 (1); 105 (19); 79 (5); 66 (2); 28 (8).
Anal. Calcd for C24H21N3O2 (383.44): C, 75.18; H, 5.52; N, 10.96. Found: C, 75.25; H, 5.59; N, 11.08.
Methyl 2-amino-7-methyl-4-(3-nitrophenyl)-5-oxo-4H,5H-pyrano[4,3-b]pyran-3-carboxylate (3i)
Reflux 1 h. Pale yellow crystals (methanol), m.p. 223-225°C (dec.). Yield 76%.
IR: 3465, 3322, 1715, 1660, 1628, 1597, 1531.
1H NMR (d6-DMSO): 2.16 (s, 7-CH3), 3.44 (s, OCH3), 4.60 (s, 4-H), 6.27 (s, 8-H), 7.50 (dd, J = 7.8 Hz, 5-H arom.), 7.59-7.62 (m, 6-H arom.), 7.78 (s, NH2), 7.90 (m, 2-H arom.), 7.95-8.00 (m, 4-H arom.).
EI MS (%): 358 (15, M+.); 327 (1); 299 (2); 251 (1); 236 (100); 204 (35); 162 (5); 126 (1); 101 (1); 85 (2); 59 (3); 43 (18); 28 (15); 18 (4).
Anal. Calcd for C17H14N2O7 (358.31): C, 56.99; H, 3.94; N, 7.82. Found: C, 56.86; H, 3.99; N, 7.94.
Methyl 2-amino-7-methyl-4-(3-nitrophenyl)-5-oxo-5,6-dihydro-4H-pyrano[3,2-c]pyridine-3-carboxylate (3j)
Reflux 1 h. Pale yellow crystals (methanol), m.p. 243-244°C. Yield 80%.
IR: 3434, 3297, 1696, 1651, 1620, 1595, 1522.
1H NMR (d6-DMSO): 2.09 (s, 7-CH3), 3.45 (s, OCH3), 4.72 (s, 4-H), 5.87 (s, 8-H), 7.43-7.50 (m, 5-H arom.), 7.57-7.61 (m, 6-H arom.), 7.68 (s, NH2), 7.90-7.95 (m, 2H, 2-H and 4-H arom.), 11.47 (s, NH).
EI MS (%): 357 (12, M+.); 325 (5); 298 (6); 257 (2); 235 (100); 203 (50); 175 (5); 125 (1); 84 (2); 59 (6); 44 (3); 28 (68); 18 (27).
Anal. Calcd for C17H15N3O6 (357.33): C, 57.14; H, 4.23; N, 11.76. Found: C, 57.38; H, 4.38; N, 11.48.
Methyl 2-amino-6-benzyl-7-methyl-4-(3-nitrophenyl)-5-oxo-5,6-dihydro-4H-pyrano[3,2-c]pyridine-3-carboxylate (3k)
Reflux 1 h. Pale yellow crystals (methanol), m.p. 231-233°C. Yield 57%.
IR: 3364, 3260, 1686, 1657, 1609, 1590, 1528.
1H NMR (d6-DMSO): 2.24 (s, 7-CH3), 3.51 (s, OCH3), 4.86 (s, 4-H), 5.05 and 5.28 (AB-q, J = 16.0 Hz, CH2Ph), 6.16 (s, 8-H), 6.95-7.00 (m, 2H arom. from C6H5), 7.17-7.30 (m, 3H arom. from C6H5), 7.52 (m, 5-H from C6H5NO2), 7.63-7.70 (m, 6-H from C6H5NO2), 7.77 (s, NH2), 7.96-8.03 (m, 2H arom., 2-H and 4-H from C6H5NO2).
EI MS (%): 447 (22, M+.); 430 (9); 415 (4); 388 (1); 356 (1); 325 (100); 293 (20); 215 (3); 165 (1); 91 (75); 65 (3); 31 (28); 18 (10).
Anal. Calcd for C24H21N3O6 (447.45): C, 64.42; H, 4.73; N, 9.39. Found: C, 64.20; H, 4.78; N, 9.32.
Methyl 2-amino-7-methyl-4-(3-nitrophenyl)-5-oxo-6-phenethyl-5,6-dihydro-4H-pyrano[3,2-c]pyridine-3-carboxylate (3l)
Reflux 1 h. Pale yellow crystals (methanol), m.p. 215-217°C. Yield 87%.
IR: 3473, 3322, 1657, 1626, 1605, 1578, 1526.
1H NMR (d6-DMSO): 2.14 (s, 7-CH3), 2.6-2.9 (m, CH2Ph), 3.46 (s, OCH3), 3.8-4.1 (m, NCH2), 4.79 (s, 4-H), 6.00 (s, 8-H), 6.95-7.05 (m, 2H arom. from C6H5), 7.05-7.22 (m, 3H arom. from C6H5), 7.48 (m, 5-H from C6H5NO2), 7.55 (m, 6-H from. C6H5NO2), 7.69 (s, NH2), 7.90-7.97 (m, 2H arom., 2-H and 4-H from C6H5NO2).
EI MS (%): 461 (20, M+.); 444 (11); 412 (1); 357 (23); 339 (100); 307 (18); 235 (50); 175 (1); 105 (25); 79 (2); 59 (2); 18 (48).
Anal. Calcd for C25H23N3O6 (461.48): C, 65.07; H, 5.02; N, 9.11. Found: C, 64.91; H, 5.06; N, 9.15.
2-Amino-7-methyl-4-(3-nitrophenyl)-5-oxo-4H,5H-pyrano[4,3-b]pyran-3-carbonitrile (3m)
Reflux 1 h. Pale yellow crystals (ethanol), m.p. 234-236°C. Yield 67%.
IR: 3397, 3326, 2199, 1715, 1674, 1646, 1615, 1526.
1H NMR (d6-DMSO): 2.22 (s, 7-CH3), 4.55 (s, 4-H), 6.30 (s, 8-H), 7.34 (s, NH2), 7.62 (dd, J = 7.8 Hz, 5-H arom.), 7.68-7.74 (m, 6-H arom.), 8.03 (m, 2-H arom.), 8.08-8.13 (m, 4-H arom.).
EI MS (%): 325 (21, M+.); 308 (1); 278 (1); 242 (1); 203 (100); 161 (11); 133 (1); 85 (1); 66 (3); 43 (30); 28 (4).
Anal. Calcd for C16H11N3O5 (325.28): C, 59.08; H, 3.41; N, 12.92. Found: C, 59.49; H, 3.58; N, 13.07.
2-Amino-7-methyl-4-(3-nitrophenyl)-5-oxo-5,6-dihydro-4H-pyrano[3,2-c]pyridine-3-carbonitrile (3n)
Reflux 1 h. Pale yellow crystals, m.p. 310-311°C. Yield 95%. (Lit. [6]: m.p. 309-310 °C; yield 92%.)
2-Amino-6-benzyl-7-methyl-4-(3-nitrophenyl)-5-oxo-5,6-dihydro-4H-pyrano[3,2-c]pyridine-3-carbonitrile (3o)
Reflux 1 h. Pale yellow crystals, m.p. 284-285°C. Yield 90%.
IR: 3370, 3168, 2203, 1665, 1619, 1582, 1530.
1H NMR (d6-DMSO): 2.26 (s, 7-CH3), 4.62 (s, 4-H), 5.05 and 5.23 (AB-q, J = 16.1 Hz, CH2Ph), 6.15 (s, 8-H), 6.95-7.00 (m, 2H arom. from C6H5), 7.20 (s, NH2), 7.22-7.29 (m, 3H arom. from C6H5), 7.61 (dd, J = 7.8 Hz, 5-H arom.), 7.66-7.72 (m, 6-H arom.), 7.98 (m, 2-H arom.), 8.05-8,10 (m, 4-H arom.).
EI MS (%): 414 (23, M+.); 397 (20); 367 (1); 323 (10); 292 (52); 91 (100); 66 (14); 28 (32); 18 (13).
Anal. Calcd for C23H18N4O4 (414.42): C, 66.66; H, 4.38; N, 13.52. Found: C, 66.58; H, 4.46; N, 13.55.
2-Amino-7-methyl-4-(3-nitrophenyl)-5-oxo-6-phenethyl-5,6-dihydro-4H-pyrano[3,2-c]pyridine-3-carbonitrile (3p)
Reflux 1 h. Pale yellow crystals, m.p. 248-250°C. Yield 81%.
IR: 3357, 3169, 2191, 1661,1613, 1570, 1580, 1524.
1H NMR (d6-DMSO): 2.21 (s, 7-CH3), 2.70-2.83 (m, CH2Ph), 3.85-4.10 (m, NCH2), 4.60 (s, 4-H), 6.04 (s, 8-H), 7.08-7.13 (m, 2H arom. from C6H5), 7.15 (s, NH2), 7.18-7.28 (m, 3H arom. from C6H5), 7.61 (dd, J = 7.8 Hz, 5-H arom.), 7.66-7.71 (m, 6-H arom.), 7.99 (m, 2-H arom.), 8.05-8,10 (m, 4-H arom.).
EI MS (%): 428 (8, M+.); 364 (1); 324 (31); 305 (17); 260 (1); 229 (10); 202 (100); 153 (30); 126 (15); 104 (80); 84 (6); 28 (32).
Anal. Calcd for C24H20N4O4 (428.45): C, 67.28; H, 4.71; N, 13.08. Found: C, 67.35; H, 4.76; N, 13.23.
Methyl 2-amino-7-methyl-4-(4-nitrophenyl)-5-oxo-4H,5H-pyrano[4,3-b]pyran-3-carboxylate (3q)
Reflux 1 h. Pale yellow crystals (methanol), m.p. 196-198°C. Yield 59%.
IR: 3461, 3322, 1730, 1694, 1636, 1599, 1525, 1516.
1H NMR (d6-DMSO): 2.21 (s, 7-CH3), 3.48 (s, OCH3), 4.64 (s, 4-H), 6.31 (s, 8-H), 7.44 (d, J = 8.7 Hz, 2H, 2-H and 6-H arom.), 7.83 (s, NH2), 8.10 (d, J = 8.7 Hz, 2H, 3-H and 5-H arom.).
EI MS (%): 358 (20, M+.); 327 (1); 299 (3); 236 (100); 204 (33); 162 (4); 85 (2); 59 (1); 43 (19); 28 (21); 18 (12).
Anal. Calcd for C17H14N2O7 (358.31): C, 56.99; H, 3.94; N, 7.82. Found: C, 56.86; H, 4.00; N, 7.66.
Methyl 2-amino-7-methyl-4-(4-nitrophenyl)-5-oxo-5,6-dihydro-4H-pyrano[3,2-c]pyridine-3-carboxylate (3r)
Reflux 1 h. Pale yellow crystals (methanol), m.p. 233-235°C. Yield 66%.
IR: 3387, 3285, 1678, 1646, 1634, 1593, 1522.
1H NMR (d6-DMSO): 2.13 (s, 7-CH3), 3.49 (s, OCH3), 4.75 (s, 4-H), 5.90 (s, 8-H), 7.42 (d, J = 8.7 Hz, 2H, 2-H and 6-H arom.), 7.72 (s, NH2), 8.08 (d, J = 8.7 Hz, 2H, 3-H and 5-H arom.).
EI MS (%): 357 (14, M+.); 325 (5); 298 (3); 257 (1); 235 (70); 203 (32); 175 (9); 152 (1); 136 (10); 98 (5); 84 (12); 68 (15); 59 (20); 44 (33); 31 (100); 18 (20).
Anal. Calcd for C17H15N3O6 (357.33): C, 57.14; H, 4.23; N, 11.76. Found: C, 56.60; H, 4.56; N, 11.44.
Methyl 2-amino-6-benzyl-7-methyl-4-(4-nitrophenyl)-5-oxo-5,6-dihydro-4H-pyrano[3,2-c]pyridine-3-carboxylate (3s)
Reflux 1 h. Pale yellow crystals (methanol), m.p. 237-239°C. Yield 72%.
IR: 3360, 3250, 1682, 1657, 1584, 1514.
1H NMR (d6-DMSO): 2.24 (s, 7-CH3), 3.51 (s, OCH3), 4.84 (s, 4-H), 5.03 and 5.30 (AB-q, J = 16.5 Hz, CH2Ph), 6.14 (s, 8-H), 6.95-7.00 (m, 2H arom. from C6H5), 7.20-7.29 (m, 3H arom. from C6H5), 7.45 (d, J = 8.8 Hz, 2H, 2-H and 6-H arom. from C6H4NO2), 7.77 (s, NH2), 8.09 (d, J = 8.8 Hz, 2H, 3-H and 5-H arom. from C6H4NO2).
EI MS (%): 447 (25, M+.); 415 (1); 356 (4); 325 (100); 293 (18); 232 (15); 175 (2); 136 (5); 109 (3); 91 (98); 59 (20); 31 (62); 18 (22).
Anal. Calcd for C24H21N3O6 (447.45): C, 64.42; H, 4.73; N, 9.39. Found: C, 64.22; H, 4.78; N, 9.33.
Methyl 2-amino-7-methyl-4-(4-nitrophenyl)-5-oxo-6-phenethyl-5,6-dihydro-4H-pyrano[3,2-c]pyridine-3-carboxylate (3t)
Reflux 1 h. Pale yellow crystals (methanol), m.p. 237-239°C. Yield 70%.
IR: 3378, 3264, 1688, 1657, 1605, 1584, 1534, 1516.
1H NMR (d6-DMSO): 2.21 (s, 7-CH3), 2.7-2.9 (m, CH2Ph), 3.51 (s, OCH3), 3.85-4.10 (m, NCH2), 4.83 (s, 4-H), 6.04 (s, 8-H), 7.05-7.11 (m, 2H arom. from C6H5), 7.15-7.30 (m, 3H arom. from C6H5), 7.45 (d, J = 8.8 Hz, 2H, 2-H and 6-H arom. from C6H4NO2), 7.74 (s, NH2), 8.09 (d, J = 8.8 Hz, 2H, 3-H and 5-H arom. from C6H4NO2).
EI MS (%): 461 (25, M+.); 430 (1); 402 (2); 357 (30); 339 (100); 325 (2); 307 (18); 235 (60); 203 (23); 175 (3); 104 (50); 79 (9); 44 (5); 28 (26); 18 (10).
Anal. Calcd for C25H23N3O6 (461.48): C, 65.07; H, 5.02; N, 9.11. Found: C, 64.97; H, 5.07; N, 9.11.
2-Amino-7-methyl-4-(4-nitrophenyl)-5-oxo-4H,5H-pyrano[4,3-b]pyran-3-carbonitrile (3u)
Reflux 1 h. Pale yellow crystals (ethanol), m.p. 216-218°C. Yield 67%.
IR: 3497, 3316, 3158, 2203, 1705, 1678, 1653, 1622, 1595, 1520.
1H NMR (d6-DMSO): 2.22 (s, 7-CH3), 4.49 (s, 4-H), 6.30 (s, 8-H), 7.33 (s, NH2), 7.55 (d, J = 8.7 Hz, 2H, 2-H and 6-H arom. from C6H4NO2), 8.15 (d, J = 8.7 Hz, 2H, 3-H and 5-H arom. from C6H4NO2).
EI MS (%): 325 (23, M+.); 308 (1); 278 (1); 242 (1); 203 (100); 161 (8); 126 (2); 85 (2); 66 (8); 43 (35); 28 (5); 18 (2).
Anal. Calcd for C16H11N3O5 (325.28): C, 59.08; H, 3.41; N, 12.92. Found: C, 59.00; H, 3.46; N, 12.96.
2-Amino-7-methyl-4-(4-nitrophenyl)-5-oxo-5,6-dihydro-4H-pyrano[3,2-c]pyridine-3-carbonitrile (3v)
Reflux 1 h. Pale yellow crystals, m.p. 291-292°C. Yield 91%. (Lit. [6]: m.p. 290-201°C, yield 62%.)
2-Amino-6-benzyl-7-methyl-4-(4-nitrophenyl)-5-oxo-5,6-dihydro-4H-pyrano[3,2-c]pyridine-3-carbonitrile (3w)
Reflux 1 h. Pale yellow crystals, m.p. 274-276°C. Yield 82%.
IR: 3428, 3297, 3173, 2182, 1665, 1615, 1590, 1518.
1H NMR (d6-DMSO): 2.26 (s, 7-CH3), 4.57 (s, 4-H), 5.04 and 5.25 (AB-q, J = 16.2 Hz, CH2Ph), 6.14 (s, 8-H), 6.95-7.02 (m, 2H arom. from C6H5), 7.19 (s, NH2), 7.19-7.32 (m, 3H arom. from C6H5), 7.46 (d, J = 8.7 Hz, 2H, 2-H and 6-H arom. from C6H4NO2), 8.16 (d, J = 8.7 Hz, 2H, 3-H and 5-H arom. from C6H4NO2).
EI MS (%): 414 (27, M+.); 323 (25); 292 (40); 277 (2); 215 (24); 199 (22); 169 (2); 153 (10); 126 (11); 109 (8); 91 (100); 66 (73); 51 (3); 28 (20); 18 (12).
Anal. Calcd for C23H18N4O4 (414.42): C, 66.66; H, 4.38; N, 13.52. Found: C, 66.52; H, 4.46; N, 13.22.
2-Amino-7-methyl-4-(4-nitrophenyl)-5-oxo-6-phenethyl-5,6-dihydro-4H-pyrano[3,2-c]pyridine-3-carbonitrile (3x)
Reflux 1 h. Pale yellow crystals, m.p. 245-247°C. Yield 86%.
IR: 3376, 3325, 3193, 2199, 1671, 1588, 1520.
1H NMR (d6-DMSO): 2.23 (s, 7-CH3), 2.7-2.85 (m, CH2Ph), 3.72-4.10 (m, NCH2), 4.56 (s, 4-H), 6.04 (s, 8-H), 7.08-7.30 (m, 7H, 5H arom., C6H5 and 2H, NH2), 7.45 (d, J = 8.8 Hz, 2H, 2-H and 6-H arom. from C6H4NO2), 8.17 (d, J = 8.8 Hz, 2H, 3-H and 5-H arom. from C6H4NO2).
EI MS (%): 428 (1, M+.); 324 (4); 306 (2); 229 (2); 202 (11); 169 (3); 153 (5); 126 (5); 104 (8); 38 (11); 28 (30); 18 (15).
Anal. Calcd for C24H20N4O4 (428.45): C, 67.28; H, 4.71; N, 13.08. Found: C, 67.22; H, 4.75; N, 13.07.
Methyl 2-amino-4-(4-methoxyphenyl)-7-methyl-5-oxo-4H,5H-pyrano[4,3-b]pyran-3-carboxylate (3y)
Reflux 6 h. Colourless crystals (methanol), m.p. 180-182°C. Yield 56%.
IR: 3488, 3316, 1717, 1626, 1584, 1559, 1510.
1H NMR (d6-DMSO): 2.19 (s, 7-CH3), 3.50 (s, COOCH3), 3.67 (s, OCH3 arom.), 4.47 (s, 4-H), 6.26 (s, 8-H), 6.78 (d, J = 8.7 Hz, 2H, 3-H and 5-H arom.), 7.06 (d, J = 8.7 Hz, 2H, 2-H and 6-H arom.), 7.66 (s, NH2).
EI MS (%): 343 (40, M+.); 311 (7); 284 (8); 236 (100); 217 (10); 204 (30); 186 (5); 162 (4); 145 (2); 117 (2); 85 (2); 59 (8); 43 (17); 28 (23); 18 (2).
Anal. Calcd for C18H17NO6 (343.33): C, 62.97; H, 4.99; N, 4.08. Found: C, 62.83; H, 5.00; N, 4.09.
Methyl 2-amino-4-(4-methoxyphenyl)-7-methyl-5-oxo-5,6-dihydro-4H-pyrano[3,2-c]pyridine-3-carboxylate (3z)
Reflux 6 h. Colourless crystals (methanol), m.p. 241-243°C. Yield 62%.
IR: 3428, 3316, 1690, 1651, 1636, 1532, 1509.
1H NMR (d6-DMSO): 2.21 (s, 7-CH3), 3.50 (s, COOCH3), 3.66 (s, OCH3 arom.), 4.61 (s, 4-H), 5.85 (s, 8-H), 6.73 (d, J = 8.7 Hz, 3-H and 5-H arom.), 7.07 (d, J = 8.7 Hz, 2-H and 6-H arom.), 7.54 (s, NH2), 11.39 (s, NH).
EI MS (%): 342 (40, M+.); 325 (2); 310 (100); 281 (30); 255 (30); 235 (100); 203 (40); 186 (18); 158 (4); 121 (12); 108 (25); 84 (22); 59 (17); 42 (15); 31 (55); 28 (46).
Anal. Calcd for C18H18N2O5 (342.35): C, 63.15; H, 5.30; N, 8.18. Found: C, 62.35; H, 5.50; N, 8.04.
Methyl 2-amino-6-benzyl-4-(4-methoxyphenyl)-7-methyl-5-oxo-5,6-dihydro-4H-pyrano[3,2-c]pyridine-3-carboxylate (3aa)
Reflux 6 h. Colourless crystals (methanol), m.p. 193-194°C. Yield 59%.
IR: 3374, 3268, 1682, 1657, 1586, 1510.
1H NMR (d6-DMSO): 2.21 (s, 7-CH3), 3,52 (s, COOCH3), 3.66 (s, OCH3 arom.), 4.70 (s, 4-H), 5.03 and 5.32 (AB-q, J = 16.0 Hz, CH2Ph), 6.09 (s, 8-H), 6.75 (d, J = 8.7 Hz, 3-H and 5-H arom. from C6H4-OCH3), 6.95-7.03 (m, 2H arom. from C6H5), 7.09 (d, J = 8.7 Hz, 2-H and 6-H arom. from C6H4OCH3), 7.18 - 7.30 (m, 3H arom. from C6H5), 7.57 (s, NH2).
EI MS (%): 432 (45, M+.); 415 (1); 400 (15); 373 (7); 341 (12); 325 (100); 309 (20); 293 (16); 281 (4); 265 (2); 217 (10); 186 (8); 158 (2); 91 (95); 59 (12); 28 (23); 18 (3).
Anal. Calcd for C25H24N2O5 (432.48): C, 69.43; H, 5.59; N, 6.48. Found: C, 69.19; H, 5.67; N, 6.41.
Methyl 2-amino-4-(4-methoxyphenyl)-7-methyl-5-oxo-6-phenethyl-5,6-dihydro-4H-pyrano[3,2-c]pyridine-3-carboxylate (3ab)
Reflux 6 h. Colourless crystals (methanol), m.p. 211-213°C. Yield 66%.
IR: 3453, 3324, 1659, 1628, 1605, 1580, 1509.
1H NMR (d6-DMSO): 2.18 (s, 7-CH3), 2.70-2.85 (m, CH2Ph), 3.52 (s, COOCH3), 3.66 (s, OCH3 arom.), 3.85-4.15 (m, NCH2), 4.70 (s, 4-H), 5.98 (s, 8-H), 6.75 (d, J = 8.7 Hz, 2H, 3-H and 5-H arom. from C6H4OCH3), 7.09 (d, 2H, J = 8,7 Hz, 2-H and 6-H arom. from C6H4OCH3), 7.05-7.30 (m, C6H5), 7.57 (s, NH2).
EI MS (%): 446 (50, M+.); 414 (4); 387 (6); 339 (100); 307 (14); 283 (5); 235 (17); 186 (12); 158 (2); 105 (32); 59 (14); 28 (19); 18 (5).
Anal. Calcd for C26H26N2O5 (446.51): C, 69.94; H, 5.87; N, 6.27. Found: C, 69.51; H, 6.01; N, 6.14.
2-Amino-4-(4-methoxyphenyl)-7-methyl-5-oxo-4H,5H-pyrano[4,3-b]pyran-3-carbonitrile (3ac)
Reflux 5 h. Colourless crystals, m.p. 205-207°C. Yield 57% (lit. [7]: yield 87%).
IR: 3455, 3312, 3168, 2186, 1728, 1676, 1646, 1607, 1510.
1H NMR (d6-DMSO): 2.20 (s, 7-CH3), 3.71 (s, OCH3), 4.21 (s, 4-H), 6.24 (s, 8-H), 6.84 (d, J = 8.7 Hz, 2H, 3-H and 5-H arom.), 7.08 (d, J = 8.7 Hz, 2H, 2-H and 6-H arom.), 7.12 (s, NH2).
Anal. Calcd for C17H14N2O4 (310.31): C, 65.80; H, 4.55; N, 9.03. Found: C, 65.58; H, 4.58; N, 9.12.
2-Amino-4-(4-methoxyphenyl)-7-methyl-5-oxo-5,6-dihydro-4H-pyrano[3,2-c]pyridine-3-carbonitrile (3ad)
Reflux 5 h. Colourless crystals, m.p. 248-250°. Yield 86%. (Lit. [6]: m.p. 250-251°C, yield 84%.)
2-Amino-6-benzyl-4-(4-methoxyphenyl)-7-methyl-5-oxo-5,6-dihydro-4H-pyrano[3,2-c]pyridine-3-carbonitrile (3ae)
Reflux 5 h. Colourless crystals, m.p. 273-275°C. Yield 52%.
IR: 3397, 3291, 3169, 2182, 1665, 1615, 1614, 1588, 1512.
1H NMR (d6-DMSO): 2.23 (s, 7-CH3), 3.70 (s, OCH3), 4.33 (s, 4-H), 5.04 and 5.27 (AB-q, J = 16.0 Hz, CH2Ph), 6.08 (s, 8-H), 6.82 (d, J = 8.6 Hz, 2H, 3-H and 5-H arom. from C6H4OCH3), 6.96 (s, NH2), 7.00 (m, 2H arom. from C6H5), 7.07 (d, J = 8,6 Hz, 2H, 2-H and 6-H arom. from C6H4OCH3), 7.17-7.30 (m, 3H arom. from C6H5).
EI MS (%): 399 (30, M+.); 332 (15); 308 (50); 292 (23); 242 (2); 215 (7); 184 (12); 141 (1); 114 (1); 91 (100); 66 (60); 28 (70); 18 (12).
Anal. Calcd for C24H21N3O3 (399.45): C, 72.17; H, 5.30; N, 10.52. Found: C, 72.11; H, 5.33; N, 10.38.
2-Amino-4-(4-methoxyphenyl)-7-methyl-5-oxo-6-phenethyl-5,6-dihydro-4H-pyrano[3,2-c]pyridine-3-carbonitrile (3af)
Reflux 5 h. Colourless crystals, m.p. 263-265°C. Yield 84%.
IR: 3370, 3285,3156, 2187, 1661, 1613, 1582, 1512.
1H NMR (d6-DMSO): 2.21 (s, 7-CH3), 2.70-2.85 (m, CH2Ph), 3.70 (s, OCH3), 3.84-4.10 (m, NCH2), 4.32 (s, 4-H), 5.98 (s, 8-H), 6.83 (d, J = 8.7 Hz, 2H, 3-H and 5-H arom. from C6H4OCH3), 6.93 (s, NH2), 7.07 (d, J = 8.7 Hz, 2H, 2-H and 6-H arom. from C6H4OCH3), 7.05-7.30 (m, C6H5).
EI MS (%): 413 (14, M+.); 347 (10); 309 (11); 256 (7); 229 (14); 202 (22); 184 (82); 141 (12); 104 (62); 84 (14); 66 (100); 55 (8): 39 (17); 28 (23).
Anal. Calcd for C25H23N3O3 (413.48): C, 72.62; H, 5.61; N, 10.16. Found: C, 72.55; H, 5.64; N, 10.00.
References and Notes
- Wiener, C.; Schroeder, C. H.; West, B. D.; Link, K. P. Studies on the 4-Hydroxycoumarins. XVIII. 3-[α-(Acetamidomethyl)benzyl]-4-hydroxycoumarin and Related Products. J. Org. Chem. 1962, 27, 3086–3088. [Google Scholar] [CrossRef]
- Junek, H.; Aigner, H. Synthesen mit Nitrilen, XXXV. Reaktionen von Tetracyanäthylen mit Heterocyclen. Chem. Ber. 1973, 106, 914–921. [Google Scholar] [CrossRef]
- Shaker, R. M. Synthesis and reactions of some new 4H-Pyrano[3,2-c]benzopyran-5-one derivatives and their potential biological activities. Pharmazie 1996, 51, 148–151. [Google Scholar] [PubMed]
- Ivanov, I. C.; Stoyanov, E. V.; Denkova, P. S.; Dimitrov, V. S. Synthesis of Substituted 1,2-Dihydro-2-imino-7-methyl-1,6(6H)-naphthyridin-5-ones. Liebigs Ann. / Recueil 1997, 8, 1777–1781. [Google Scholar] [CrossRef]
- Stoyanov, E. V.; Ivanov, I. C. Synthesis of Some Substituted 2H-Pyrano[3,2-c]pyridine-2,5(6H)-diones. Reaction of Their 3-Acetyl Derivatives with Methyl 3-Amino-2-butenoate. Synth. Commun. 1998, 28(10), 1755–1767. [Google Scholar] [CrossRef]
- Mekheimer, R. A.; Mohamed, N. H.; Sadek, K. U. Synthesis of Functionalized 4H-Pyrano-[3,2-c]pyridines from 4-Hydroxy-6-methyl-2-pyridone and Their Reactions. Unexpected New Routes to 3,3’-Benzylidene-bis[4-hydroxy-6-methyl-2(1H)-3-pyridinones]. Bull. Chem. Soc. Japan 1997, 70, 1625–1630. [Google Scholar] [CrossRef]
- Piao, M.-Z.; Imafuku, K. Convenient Synthesis of Amino-substituted Pyranopyranones. Tetrahedron Lett. 1997, 38, 5301–5302. [Google Scholar] [CrossRef]
- Prepared according to the general procedure C in Organicum. 17. Auflage; VEB Deutscher Verlag der Wissenschaften: Berlin, 1988; pp. 460–461.
- Samples Availability: Samples are available from the authors and from MDPI.
© 2000 by MDPI (http://www.mdpi.org). Reproduction is permitted for noncommercial purposes.