Abstract
A practical synthesis of the title pheromone has been developed. The key feature of the synthesis was the fixation of the required olefin geometry via a cis-selective Wittig reaction and use of commercially available starting materials to prepare the required synthons.
Introduction
Sweet potato, primarily grown in the tropics, is one of the most important root crops in the world, surpassed only by potato. Its production and storage are strongly hampered [1] by the weevil, Cylas formicarius elegantulus which is a serious insect pest prevalent in India. The virgin female weevils secrete [2] (3Z)-dodecenyl (E)-2-butenoate (9) as the pheromone. Some other agriculturally important insects viz. the potato and sugar beet moths, Scrobipalpopsis solanivora [3] and Scrobipalpa ocetuatella [4] respectively secrete analogous compounds viz. the corresponding (3E)-acetate as their pheromone components. In addition, these C12-esters also constitute [5] synthetic attractants for the Reticulitermes termites. Our interest for the field control of the weevil has led to a novel preparation of 9, whose synthesis has already been described [2,6,7,8]. Amongst these, Heath et al. [2] have used the potential carcinogenic compounds like HMPA and ethylene oxide in their synthesis. The Wittig-basedsynthesis by a Chinese group [6] has been published with no technical detail. Another synthesis [8] on the other hand, employed expensive 3-butyn-1-ol as the starting material. Moreover, preparation of the alkynol in the laboratory often leads to poor yield in view of its high water solubility. In contrast, the present route does not involve any hazardous and /or expensive chemicals and furnishes the target pheromone in yield comparable with the earlier routes.
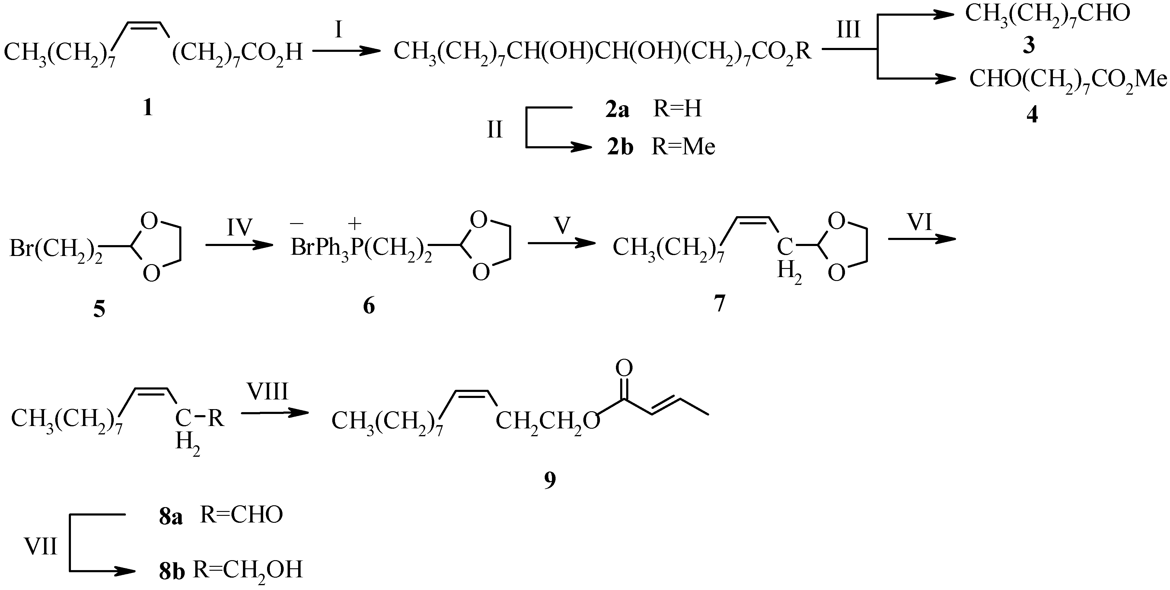
As discussed earlier, our main objective was to develop a multi-gram synthesis for the pheromone 9. To this end, we have already reported [7] two independent approaches via acetylenic route and Doebner condensation respectively. While the former led to a modest yield, the latter was primarily targeted to the corresponding (3E)-compound and its elaboration to 9 involved too many steps to be suitable for a practical synthesis. For the synthesis, a stereoselective Wittig route involving C9 + C3 combination seemed ideal, especially as the required C9-aldehyde moiety is amenable from many natu-ral fatty acids viz. oleic acid (1). The bifunctional C3-unit can also be easily prepared from acrolein, another commercially available material. (Scheme 1.). Thus, the acid 1 was first dihydroxylated [9] with HCO3H to the diol acid 2a. After esterification to 2b, the diol function was cleaved with NaIO4. The required aldehyde 3 was easily separated from the ester component 4 by distillation.
Scheme 1.
I) HCO3H; KOH, II) MeOH/ H+, III) NaIO4/ CH3CN-H2O, IV) Ph3P/ CH3CN/ , V) Dimsyl ion/ 3, VI) THF/ HOAc/ H2O, VII) NaBH4/ MeOH, VIII)Crotonyl chloride/ Py.
Scheme 1.
I) HCO3H; KOH, II) MeOH/ H+, III) NaIO4/ CH3CN-H2O, IV) Ph3P/ CH3CN/ , V) Dimsyl ion/ 3, VI) THF/ HOAc/ H2O, VII) NaBH4/ MeOH, VIII)Crotonyl chloride/ Py.

Conversion of the Wittig salt 6 of the bromoacetal 5 [10] to the corresponding ylide with dimsyl ion as the base [10], followed by reaction with 3 gave the olefinic acetal 7. Hydrolysis of 7 proved difficult. The best result was obtained by refluxing its solution in THF-HOAc-H2O. Upon reduction of the resultant aldehyde 8a with NaBH4, the known [5,6,11] alcohol 8b was obtained. Acylation with cro-tonyl chloride via a conventional procedure [7,8] gave the title pheromone 9 whose properties (IR, NMR, BP) were in agreement with those reported previously. [7,8,11].
Experimental
All the boiling points were uncorrected. The IR spectra were scanned with a Perkin-Elmer spectro-photometer model 837. The 1H- and 13C-NMR spectra were recorded in CDCl3 (unless specified other-wise) with a Bruker AC-200 (200 MHz) instrument. The GLC analyses were carried out using Shima- dzu GC-7A chromatograph fitted with stainless steel column (2 Mt. x 0.5 mm 3% OV-17 column) and flame ionization detector. The mass spectrum was recorded with a Shimadzu QP-1000 mass spectro- graph at 70 eV. Anhydrous reactions were carried out under Ar using freshly dried solvents. The organic extracts were dried over anhydrous Na2SO4.
Methyl 9,10-Dihydroxyoctadecanoate (2b)
Dihydroxylation of oleic acid 1 (25.0 g, 0.88 mol) was carried out by the slow addition of HCO3H [prepared from 40% H2O2 (20 mL) and HCO2H (125 mL) at 0 0C] followed by stirring for 8 h at 40 0C and at room temperature overnight. The mixture was distilled in vacuo (10 mm) and the residue was diluted with water and extracted with ether. The ethereal layer was washed with water, dried (MgSO4) and concentrated. The residue was hydrolyzed with 5% aqueous KOH (200 mL) on a steam bath for 1 h, cooled and poured into excess cold dil. HCl (1N) under vigorous stirring (maintaining the temperature ~20 0C). The product was isolated by extraction with ether followed by washing with water, dry-ing and concentration of the extract. The crude diol acid 2a was recrystallized from EtOAc. yield: 22.3 g (80%); mp 91 0C, (lit. [12] mp 95 0C); IR: 3600-3400, 3340, 2660, 1700 cm-1; 1H-NMR (DMSO): δ 0.9 (distorted t, 3H), 1.3 (br. s, 26H), 1.9-2.1 (m, 2H), 2.61 (br. s, D2O exchangeable, 2H), 3.6-3.9 (m, 2H), 8.1 (br. s, D2O exchangeable, 1H).
A solution of 2a (20.0 g, 0.063 mol) in MeOH (150 mL) containing para-toluenesulfonic acid (PTS) (0.2 g) was refluxed for 6 h. Most of the solvent was removed in vacuo. The residue was dissolved in ether and the ether layer was washed with water and brine and dried. Removal of solvent furnished the pure diol-ester 2b as a low melting solid. yield: 20.6 g (~ quantitative); IR: 3360, 1750 cm-1; 1H-NMR: δ 0.9 (distorted t, 3H), 1.33 (m, 26H), 2.1-2.5 (m, 2H), 2.7 (br. s, D2O exchangeable, 2H), 3.2-3.6 (m, 2H), 3.65 (s, 3H).
Nonanal (3)
To a stirred solution of the diol 2b (16.5 g, 0.05 mol) in CH3CN (50 mL)-CH2Cl2 (50 mL)-H2O (10 mL) at 25 0C was added NaIO4 (11.0 g, 0.05 mol) in portions. After stirring for 2 h, the reaction mix-ture was filtered, the filtrate concentrated in vacuo and the residue extracted with ether. The ethereal extract was washed successively with aqueous 10% Na2SO3, water, aqueous 10% Na2S2O3, water and brine. After drying, the organic extract was concentrated and the crude product mixture was fractionally distilled to afford the aldehyde 3 and the ester aldehyde 4.
3: yield: 5.7 g (79.2%); bp. 80-85 0C/10 mm; IR: 2930, 2860, 2710, 1730 cm-1; 1H-NMR: δ 0.9 (distorted t, 3H), 1.4-1.8 (m, 12H), 2.0-2.3 (m, 2H), 9.1 (t, J = 1.5 Hz, 1H).
4: yield: 5.85 g (63%); bp 70-75 0C/2.5 mm.
3-Bromopropanal Ethyleneglycol Acetal (5)
HBr gas [generated from Br2 (51.5 mL, 1.0 mol) to tetralin (37.5 mL, 0.275 mol)] was bubbled through a stirred and cooled (0 0C) solution of acrolein (67.5 mL, 1.0 mol) in CH2Cl2 (500 mL). Ethyl-ene glycol (66.6 mL, 1.2 mol) was then added to it and the mixture stirred at room temperature overnight. It was cooled to 0 0C, made basic with 10% aqueous NaHCO3 and extracted with ether. The or-ganic layer was washed with water, dried, concentrated and distilled to give 5 as a colourless liquid. yield: 94.3 g (52%); bp 68-70 0C/5 mm, (lit. [10] bp.68-70 0C/5 mm); IR: 1410, 1360, 1265, 1210, 1030, 880, 820 cm-1. 1H-NMR: δ 1.95-2.35 (m, 2H), 3.4 (t, J = 6 Hz, 2H), 3.7-4.0 (m, 4H), 4.93 (t, J = 4 Hz, 1H).
1,3-Dioxolan-2-yl-methyltriphenylphosphonium Bromide (6)
A solution of triphenylphosphine (28.4 g, 0.11 mol) and the bromide 5 (18.1 g, 0.1 mol) in CH3CN (200 mL) was refluxed for 24 h. After removing most of the solvent, the mixture was diluted with benzene (300 mL) and refluxed for 3 h. After cooling the upper solvent layer was decanted to give 6 as a yellow-brown thick mass which was used as such for the next step. yield: 27.2 g (61.4%).
(3Z)-Dodecenal (8a)
To a stirred solution of dimsyl anion [prepared by heating NaH (2.22 g, 0.042 mol, 50% dispersion in oil) in DMSO (75 mL) at 65 0C for 1 h] was added the phosphonium salt 6 (18.58 g, 0.042 mol) at room temperature. After stirring for 1 h, the aldehyde 3 (5.4 g, 0.038 mol) in DMSO (15 mL) was added to the resulting orange ylide solution. Stirring was continued for 16 h at the same temperature, the mixture poured in large excess ice-water and extracted with ether. The ethereal layer was washed with water and brine and dried. Removal of solvent gave a residue which was thoroughly extracted with hexane and the extract after concentration subjected to column chromatography (silicagel, 0-10% EtOAc/hexane) to furnish the acetal 7. yield: 4.17 g (48.5%); bp 100 0C (bath)/0.5 mm; IR: 3010, 1460, 1030 cm-1; 1H-NMR: δ 0.9 (distorted t, 3H), 1.2-1.7 (m, 12H), 2.0-2.1 (m, 4H), 3.8-4.0 (m, 4H), 4.8 (distorted t, 1H), 5.3-5.5 (m, 2H).
A solution of 7 (3.84 g, 0.017 mol) in THF (35 mL), HAc (8.5 mL) and H2O (8.5 mL) was heated on a water bath for 3 h. Most of the solvent was removed, water added and the residue extracted with ether. The ether layer was washed with water and brine and dried. Removal of solvent gave the aldehyde 8a. yield: 2.38 g (77.1%); IR: 2720, 1715 cm-1.
(3Z)-Dodecen-1-ol (8b)
To a cooled (0 0C) and stirred solution of compound 8a (2.3 g, 0.013 mol) in MeOH (20 mL) was added NaBH4 (0.5 g, 0.013 mol) in portions. After 1.5 h, when the reaction was complete (cf. TLC), it was quenched with NH4Cl (s), concentrated and extracted with ether. The ether layer was washed with water, brine and dried. After concentration, the residue was distilled to afford 8b. yield: 1.95 g (81.5%); bp 90-110 0C/0.1 mm, (lit.[11] bp 67-70 0C/0.05 mm; IR: 3350, 1460, 1050 cm-1; 1H-NMR: δ 0.9 (t, J = 6 Hz, 3H), 1.30 (br. s, 12H), 2.0-2.6 (m, 4H), 2.9 (s, 1H, D2O exchangeable), 3.63 (t, J = 7 Hz, 2H), 5.2-5.7 (m, 2H).
(3Z)-Dodec-3-enyl-(E)-2-butenoate (9)
A mixture of 8b (1.84 g, 0.01 mol), crotonyl chloride (2.09 g, 0.02 mol) and pyridine (4 mL) in CH2Cl2 (15 mL) was stirred at room temperature for 12 h. Water (20 mL) was added and the mixture was extracted with ether. The extract was washed with aqueous NaHCO3 (10%), water, aqueous HCl (2N), water and brine and finally dried. Usual isolation followed by column chromatography (silica gel, hexane) afforded pure 9. yield: 1.81 g (72%); bp 135-140 0C (bath)/2 mm, (lit. [11] bp105-109 0C/0.1 mm); GLC (temp. prog. 100-250 0C @ 8 0C/min): Rt = 14.21 (94.1%); IR: 3010, 1740, 1680 and 980 cm-1; 1H-NMR: δ 0.9 (t, 3H), 1.24 (br. s, 12H), 1.6-2.5 (m, 7H), 4.1 (t, J = 6 Hz, 2H), 5.3-5.9 (m, 3H), 6.8-7.1 (m, 1H); 13C NMR: δ 14.02, 17.82, 22.61, 25.9, 26.86, 27.27, 28.65, 29.59, 31.84, 32.18, 36.58, 39.01, 62.24, 64.23, 64.88, 122.8, 123.82, 124.28, 132.84, 136.33, 144.13, 166.53; MS (rel. int.): m/z 43 (49), 54 (87), 68 (100), 81 (59), 87 (43), 96 (41), 109 (15.7), 110 (14.9), 124 (10), 138 (11.6), 166 (24.3), 252 (M+, 2.1), 253 (4.3). Anal. Calcd. for C16H28O2: C 76.1%, H 11.2%; Found: C 76.3%, H 11.3%.
References and Notes
- Martin, F. W. Proc. Am. Soc. Horti. Sci. Trop. Sect. 1983, 27B, 61.
- Heath, R. R.; Coffelt, J. A.; Sonnet, P. E.; Proshold, F. I.; Dueben, B.; Tumlinson, J. H. J. Chem. Ecol. 1986, 12, 1489. [PubMed]
- Nesbitt, B. F.; Beevor, P. S.; Cork, A.; Hall, D. R.; Murillo, R. M.; Leal, H. R. Entomol. Exp. Appl. 1985, 38, 81.
- Wilemse, L. P. M.; Booji, C. J. H.; Voerman, S. J. Appl. Entomol. 1987, 103, 508.
- Carvalho, J. F.; Prestwich, G. D. J. Org. Chem. 1984, 49, 1251.
- Handong, L.; Yanneng, D.; Hansheng, X.; Li, T.; Huisheng, Q. Youji Huaxue 1988, 8, 167, Chem. Abstr. 1989, 110, 23584x..
- Pawar, A. S.; Chattopadhyay, S.; Mamdapur, V. R. Indian J. Chem. 1993, 32B, 463.
- Mani, N. S.; Nair, M. S. Indian J. Chem. 1993, 32B, 1151.
- Singh, A. N.; Mhaskar, V. V.; Sukhdev. Tetrahedron 1978, 34, 595.
- Buchi, G.; Wuest, H. J. Org. Chem. 1969, 34, 1122.
- Heath, R. R.; Coffelt, J. A.; Sonnet, P. E.; Proshold, F. I.; Dueben, B.; Tumlinson, J. H. J. Chem. Ecol. 1986, 12, 489.
- Doree, C.; Pepper, A. C. J. Chem. Soc. 1942, 477.
- Samples Availability: Available from the authors.
© 1999 by the authors. Reproduction of this article, by any means, is permitted for noncommercial purposes.